Isabelle build status for AFP macOS (macOS 14 Sonoma, Apple Silicon)
- status date:
- 25-May-2026 06:59:34 +0200
- build host:
- studio1-sonoma
- AutoCorres2_Test (0:53:49 elapsed time, 0:53:24 cpu time, factor 0.99)
- Crypto_Standards (0:52:35 elapsed time, 0:52:35 cpu time, factor 1.00)
- HOL-ODE-Numerics (0:41:20 elapsed time, 0:41:14 cpu time, factor 1.00)
- ResiduatedTransitionSystem2 (0:40:24 elapsed time, 0:40:30 cpu time, factor 1.00)
- CoSMeDis (0:38:15 elapsed time, 0:38:15 cpu time, factor 1.00)
- IMP_With_Speculation (0:37:33 elapsed time, 0:35:23 cpu time, factor 0.94)
- CZH_Universal_Constructions (0:36:08 elapsed time, 0:36:09 cpu time, factor 1.00)
- Two_Hermitian_Results (0:34:45 elapsed time, 0:34:54 cpu time, factor 1.00)
- Modular_arithmetic_LLL_and_HNF_algorithms (0:30:43 elapsed time, 0:30:40 cpu time, factor 1.00)
- AutoCorres2 (0:30:36 elapsed time, 0:30:27 cpu time, factor 1.00)
- MiniSail (0:29:44 elapsed time, 0:29:47 cpu time, factor 1.00)
- CoCon (0:28:55 elapsed time, 0:28:56 cpu time, factor 1.00)
- Frequency_Moments (0:28:08 elapsed time, 0:28:23 cpu time, factor 1.01)
- SC_DOM_Components (0:25:47 elapsed time, 0:25:41 cpu time, factor 1.00)
- Automated_Stateful_Protocol_Verification (0:19:59 elapsed time, 0:20:00 cpu time, factor 1.00)
- Shadow_SC_DOM (0:18:42 elapsed time, 0:18:36 cpu time, factor 0.99)
- Expander_Graphs (0:18:22 elapsed time, 0:18:31 cpu time, factor 1.01)
- CAVA_Setup (0:18:16 elapsed time, 0:18:06 cpu time, factor 0.99)
- CZH_Elementary_Categories (0:17:52 elapsed time, 0:17:56 cpu time, factor 1.00)
- Complex_Bounded_Operators (0:16:43 elapsed time, 0:16:43 cpu time, factor 1.00)
- JinjaDCI (0:16:24 elapsed time, 0:16:25 cpu time, factor 1.00)
- Solidity (0:15:40 elapsed time, 0:15:35 cpu time, factor 0.99)
- CVM_Distinct_Elements (0:15:31 elapsed time, 0:15:43 cpu time, factor 1.01)
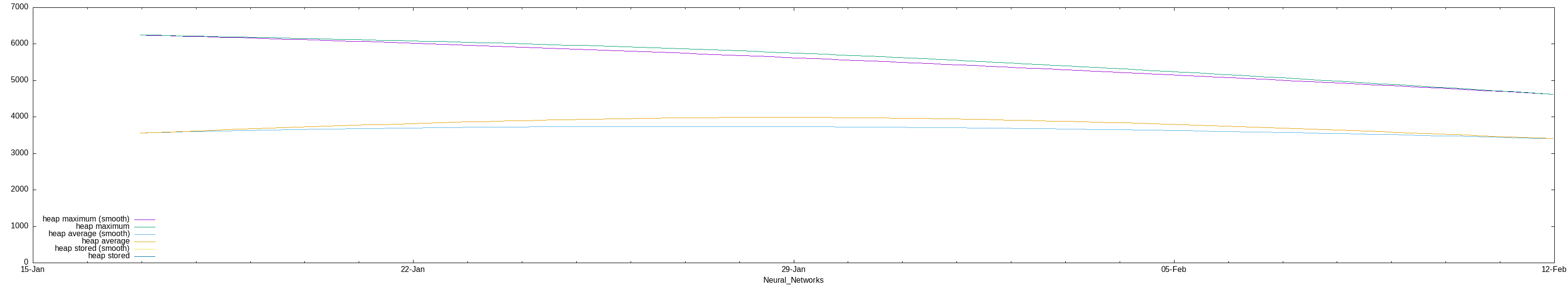
- Neural_Networks (0:15:27 elapsed time, 0:15:03 cpu time, factor 0.97)
- Category3 (0:15:10 elapsed time, 0:15:13 cpu time, factor 1.00)
- AutoCorres2_Main (0:14:57 elapsed time, 0:14:49 cpu time, factor 0.99)
- HOL-ODE-ARCH-COMP (0:14:34 elapsed time, 0:14:34 cpu time, factor 1.00)
- Broadcast_Psi (0:14:22 elapsed time, 0:14:27 cpu time, factor 1.01)
- Correctness_Algebras (0:14:21 elapsed time, 0:11:23 cpu time, factor 0.79)
- Jordan_Normal_Form (0:14:19 elapsed time, 0:14:24 cpu time, factor 1.01)
- Goedel_HFSet_Semanticless (0:14:05 elapsed time, 0:14:08 cpu time, factor 1.00)
- FO_Theory_Rewriting (0:14:00 elapsed time, 0:14:06 cpu time, factor 1.01)
- Universal_Hash_Families (0:13:20 elapsed time, 0:13:30 cpu time, factor 1.01)
- Quantifier_Elimination_Hybrid (0:13:10 elapsed time, 0:13:06 cpu time, factor 0.99)
- Shadow_DOM (0:13:03 elapsed time, 0:13:03 cpu time, factor 1.00)
- MSO_Regex_Equivalence (0:12:58 elapsed time, 0:12:57 cpu time, factor 1.00)
- Affine_Arithmetic (0:12:50 elapsed time, 0:12:54 cpu time, factor 1.01)
- FSM_Tests (0:12:45 elapsed time, 0:12:52 cpu time, factor 1.01)
- Smith_Normal_Form (0:12:43 elapsed time, 0:12:40 cpu time, factor 1.00)
- Slicing (0:12:26 elapsed time, 0:12:27 cpu time, factor 1.00)
- Typed_Ordered_Resolution (0:12:12 elapsed time, 0:12:16 cpu time, factor 1.01)
- SWF_Impossibility (0:12:02 elapsed time, 0:12:01 cpu time, factor 1.00)
- Three_Squares (0:12:00 elapsed time, 0:12:07 cpu time, factor 1.01)
- CakeML_Codegen (0:11:59 elapsed time, 0:11:11 cpu time, factor 0.93)
- Padic_Field (0:11:59 elapsed time, 0:11:48 cpu time, factor 0.98)
- Goedel_HFSet_Semantic (0:11:54 elapsed time, 0:11:57 cpu time, factor 1.00)
- Constructive_Cryptography_CM (0:11:33 elapsed time, 0:11:34 cpu time, factor 1.00)
- Incompleteness (0:11:32 elapsed time, 0:11:34 cpu time, factor 1.00)
- Iptables_Semantics_Examples (0:11:20 elapsed time, 0:11:20 cpu time, factor 1.00)
- Security_Protocol_Refinement (0:11:19 elapsed time, 0:11:19 cpu time, factor 1.00)
- Finite_Fields (0:11:18 elapsed time, 0:11:27 cpu time, factor 1.01)
- IsaGeoCoq (0:11:17 elapsed time, 0:11:23 cpu time, factor 1.01)
- Distributed_Distinct_Elements (0:11:14 elapsed time, 0:11:22 cpu time, factor 1.01)
- Stateful_Protocol_Composition_and_Typing (0:11:13 elapsed time, 0:11:17 cpu time, factor 1.01)
- Schoenhage_Strassen (0:11:04 elapsed time, 0:11:09 cpu time, factor 1.01)
- Perron_Frobenius (0:10:58 elapsed time, 0:11:02 cpu time, factor 1.01)
- HRB-Slicing (0:10:52 elapsed time, 0:10:56 cpu time, factor 1.01)
- No_FTL_observers_Gen_Rel (0:10:19 elapsed time, 0:10:18 cpu time, factor 1.00)
- Groebner_Bases (0:10:03 elapsed time, 0:10:09 cpu time, factor 1.01)
- X86_Semantics (0:09:57 elapsed time, 0:09:57 cpu time, factor 1.00)
- Complx (0:09:53 elapsed time, 0:09:51 cpu time, factor 1.00)
- Network_Security_Policy_Verification (0:09:52 elapsed time, 0:09:35 cpu time, factor 0.97)
- Auto2_Imperative_HOL (0:09:40 elapsed time, 0:09:40 cpu time, factor 1.00)
- Universal_Turing_Machine (0:09:35 elapsed time, 0:09:35 cpu time, factor 1.00)
- MFODL_Monitor_Optimized (0:09:31 elapsed time, 0:09:31 cpu time, factor 1.00)
- Van_Emde_Boas_Trees (0:09:30 elapsed time, 0:09:05 cpu time, factor 0.96)
- First_Order_Clause (0:09:25 elapsed time, 0:09:23 cpu time, factor 1.00)
- Negative_Association (0:09:25 elapsed time, 0:09:33 cpu time, factor 1.01)
- CakeML (0:09:22 elapsed time, 0:09:12 cpu time, factor 0.98)
- MDP-Algorithms (0:09:17 elapsed time, 0:09:20 cpu time, factor 1.01)
- Collections (0:09:06 elapsed time, 0:08:45 cpu time, factor 0.96)
- ResiduatedTransitionSystem (0:09:05 elapsed time, 0:09:06 cpu time, factor 1.00)
- Projective_Measurements (0:09:02 elapsed time, 0:09:05 cpu time, factor 1.01)
- Psi_Calculi (0:08:59 elapsed time, 0:09:03 cpu time, factor 1.01)
- Transition_Systems_and_Automata (0:08:56 elapsed time, 0:08:55 cpu time, factor 1.00)
- Linear_Recurrences_Solver (0:08:54 elapsed time, 0:08:55 cpu time, factor 1.00)
- DOM_Components (0:08:43 elapsed time, 0:08:42 cpu time, factor 1.00)
- Virtual_Substitution (0:08:32 elapsed time, 0:08:29 cpu time, factor 0.99)
- Core_DOM (0:08:27 elapsed time, 0:08:28 cpu time, factor 1.00)
- OmegaCatoidsQuantales (0:08:23 elapsed time, 0:08:20 cpu time, factor 0.99)
- Formal_SSA (0:08:22 elapsed time, 0:08:24 cpu time, factor 1.00)
- Computational_pAdics (0:08:09 elapsed time, 0:08:13 cpu time, factor 1.01)
- Executable_Randomized_Algorithms (0:08:05 elapsed time, 0:08:12 cpu time, factor 1.01)
- Jinja (0:08:02 elapsed time, 0:08:03 cpu time, factor 1.00)
- IP_Addresses (0:08:00 elapsed time, 0:07:57 cpu time, factor 0.99)
- Regular_Tree_Relations (0:07:56 elapsed time, 0:08:00 cpu time, factor 1.01)
- Cook_Levin (0:07:54 elapsed time, 0:07:51 cpu time, factor 0.99)
- Probabilistic_Prime_Tests (0:07:50 elapsed time, 0:07:56 cpu time, factor 1.01)
- Core_SC_DOM (0:07:49 elapsed time, 0:07:47 cpu time, factor 1.00)
- Syntax_Independent_Logic (0:07:37 elapsed time, 0:07:38 cpu time, factor 1.00)
- Key_Agreement_Strong_Adversaries (0:07:29 elapsed time, 0:07:30 cpu time, factor 1.00)
- MonoidalCategory (0:07:26 elapsed time, 0:07:27 cpu time, factor 1.00)
- Berlekamp_Zassenhaus (0:07:16 elapsed time, 0:07:20 cpu time, factor 1.01)
- Native_Word (0:07:05 elapsed time, 0:05:27 cpu time, factor 0.77)
- CoSMed (0:07:04 elapsed time, 0:07:04 cpu time, factor 1.00)
- Hybrid_Systems_VCs (0:06:53 elapsed time, 0:06:54 cpu time, factor 1.00)
- Probabilistic_Timed_Automata (0:06:46 elapsed time, 0:06:49 cpu time, factor 1.01)
- MFOTL_Checker (0:06:39 elapsed time, 0:06:39 cpu time, factor 1.00)
- Formula_Derivatives (0:06:35 elapsed time, 0:06:35 cpu time, factor 1.00)
- Monad_Memo_DP (0:06:34 elapsed time, 0:06:35 cpu time, factor 1.00)
- BTree (0:06:33 elapsed time, 0:06:34 cpu time, factor 1.00)
- Boustrophedon_Transform (0:06:33 elapsed time, 0:06:30 cpu time, factor 0.99)
- Elliptic_Functions (0:06:26 elapsed time, 0:06:32 cpu time, factor 1.02)
- SPARCv8 (0:06:25 elapsed time, 0:06:25 cpu time, factor 1.00)
- AI_Planning_Languages_Semantics (0:06:23 elapsed time, 0:06:26 cpu time, factor 1.01)
- Stochastic_Matrices (0:06:17 elapsed time, 0:06:21 cpu time, factor 1.01)
- SCL_Simulates_Ground_Resolution (0:06:15 elapsed time, 0:06:14 cpu time, factor 1.00)
- Wieferich_Kempner (0:06:14 elapsed time, 0:06:10 cpu time, factor 0.99)
- Polynomials (0:06:14 elapsed time, 0:06:15 cpu time, factor 1.00)
- Timed_Automata (0:06:09 elapsed time, 0:06:09 cpu time, factor 1.00)
- CZH_Foundations (0:06:08 elapsed time, 0:06:10 cpu time, factor 1.01)
- Transcendence_Series_Hancl_Rucki (0:06:06 elapsed time, 0:06:11 cpu time, factor 1.01)
- Quantales_Converse (0:06:00 elapsed time, 0:06:00 cpu time, factor 1.00)
- Polynomial_Factorization (0:05:53 elapsed time, 0:05:56 cpu time, factor 1.01)
- Go_Test_Slow (0:05:49 elapsed time, 0:05:30 cpu time, factor 0.95)
- Simple_Clause_Learning (0:05:49 elapsed time, 0:05:41 cpu time, factor 0.98)
- IsaNet (0:05:43 elapsed time, 0:05:43 cpu time, factor 1.00)
- Regression_Test_Selection (0:05:41 elapsed time, 0:05:41 cpu time, factor 1.00)
- Refine_Imperative_HOL (0:05:38 elapsed time, 0:05:22 cpu time, factor 0.95)
- Diagonal_Ramsey (0:05:35 elapsed time, 0:05:34 cpu time, factor 1.00)
- Coinductive (0:05:34 elapsed time, 0:05:28 cpu time, factor 0.98)
- CRYSTALS-Kyber_Security (0:05:29 elapsed time, 0:05:32 cpu time, factor 1.01)
- Pentagonal_Number_Theorem (0:05:25 elapsed time, 0:05:21 cpu time, factor 0.99)
- Ordinary_Differential_Equations (0:05:20 elapsed time, 0:05:23 cpu time, factor 1.01)
- DPRM_Theorem (0:05:15 elapsed time, 0:05:16 cpu time, factor 1.00)
- Algebraic_Numbers (0:05:14 elapsed time, 0:05:15 cpu time, factor 1.00)
- Dirichlet_Series (0:05:14 elapsed time, 0:05:18 cpu time, factor 1.01)
- Group-Ring-Module (0:05:14 elapsed time, 0:05:19 cpu time, factor 1.02)
- Lorenz_Approximation (0:05:11 elapsed time, 0:05:11 cpu time, factor 1.00)
- SM_Base (0:05:10 elapsed time, 0:05:06 cpu time, factor 0.99)
- Picks_Theorem (0:05:02 elapsed time, 0:04:36 cpu time, factor 0.91)
- Q0_Metatheory (0:05:01 elapsed time, 0:05:03 cpu time, factor 1.01)
- Differential_Dynamic_Logic (0:05:01 elapsed time, 0:05:02 cpu time, factor 1.00)
- Continued_Fractions (0:04:58 elapsed time, 0:04:58 cpu time, factor 1.00)
- DFS_Framework (0:04:56 elapsed time, 0:04:49 cpu time, factor 0.98)
- Posix-Lexing (0:04:54 elapsed time, 0:04:10 cpu time, factor 0.85)
- First_Order_Rewriting (0:04:53 elapsed time, 0:04:54 cpu time, factor 1.00)
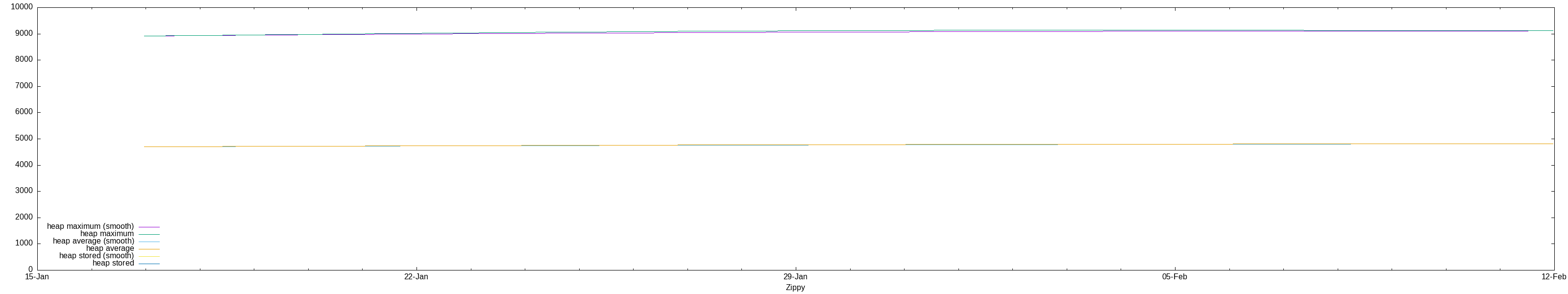
- Zippy (0:04:52 elapsed time, 0:04:52 cpu time, factor 1.00)
- Relative_Security (0:04:51 elapsed time, 0:04:52 cpu time, factor 1.00)
- Balog_Szemeredi_Gowers (0:04:49 elapsed time, 0:04:39 cpu time, factor 0.97)
- Hilbert_Basis (0:04:47 elapsed time, 0:04:43 cpu time, factor 0.99)
- MLSS_Decision_Proc (0:04:45 elapsed time, 0:04:48 cpu time, factor 1.01)
- Transport (0:04:44 elapsed time, 0:04:45 cpu time, factor 1.00)
- Isabelle_Marries_Dirac (0:04:42 elapsed time, 0:04:40 cpu time, factor 0.99)
- Deep_Learning (0:04:42 elapsed time, 0:04:46 cpu time, factor 1.01)
- LTL_to_GBA (0:04:42 elapsed time, 0:04:42 cpu time, factor 1.00)
- Containers-Benchmarks (0:04:39 elapsed time, 0:04:31 cpu time, factor 0.97)
- Multi_Party_Computation (0:04:38 elapsed time, 0:04:39 cpu time, factor 1.00)
- Pattern_Completeness (0:04:37 elapsed time, 0:04:39 cpu time, factor 1.01)
- Alpha_Beta_Pruning (0:04:36 elapsed time, 0:04:31 cpu time, factor 0.98)
- Worklist_Algorithms (0:04:34 elapsed time, 0:04:35 cpu time, factor 1.00)
- Echelon_Form (0:04:33 elapsed time, 0:04:33 cpu time, factor 1.00)
- Hoare_Time (0:04:30 elapsed time, 0:04:31 cpu time, factor 1.00)
- QR_Decomposition (0:04:28 elapsed time, 0:04:30 cpu time, factor 1.01)
- CAVA_LTL_Modelchecker (0:04:28 elapsed time, 0:04:20 cpu time, factor 0.97)
- CryptHOL (0:04:27 elapsed time, 0:04:23 cpu time, factor 0.99)
- Padic_Ints (0:04:24 elapsed time, 0:04:22 cpu time, factor 0.99)
- CHERI-C_Memory_Model (0:04:22 elapsed time, 0:04:19 cpu time, factor 0.99)
- LLL_Basis_Reduction (0:04:22 elapsed time, 0:04:23 cpu time, factor 1.00)
- Levy_Prokhorov_Metric (0:04:20 elapsed time, 0:04:22 cpu time, factor 1.01)
- WebAssembly (0:04:20 elapsed time, 0:04:22 cpu time, factor 1.01)
- Collections_Examples (0:04:19 elapsed time, 0:03:51 cpu time, factor 0.89)
- Gromov_Hyperbolicity (0:04:18 elapsed time, 0:04:21 cpu time, factor 1.01)
- Iptables_Semantics (0:04:13 elapsed time, 0:04:11 cpu time, factor 0.99)
- Interval_Analysis (0:04:11 elapsed time, 0:03:45 cpu time, factor 0.90)
- Schwartz_Zippel (0:04:09 elapsed time, 0:04:12 cpu time, factor 1.01)
- Sorted_Terms (0:04:08 elapsed time, 0:04:08 cpu time, factor 1.00)
- Datatype_Order_Generator (0:04:06 elapsed time, 0:04:04 cpu time, factor 0.99)
- Linear_Programming (0:04:06 elapsed time, 0:04:01 cpu time, factor 0.98)
- Store_Buffer_Reduction (0:04:05 elapsed time, 0:04:06 cpu time, factor 1.00)
- Query_Optimization (0:04:03 elapsed time, 0:04:05 cpu time, factor 1.01)
- EnrichedCategoryBasics (0:03:56 elapsed time, 0:03:56 cpu time, factor 1.00)
- Notes_On_Goedels_Ontological_Argument (0:03:51 elapsed time, 0:02:02 cpu time, factor 0.53)
- Progress_Tracking (0:03:51 elapsed time, 0:03:52 cpu time, factor 1.00)
- Flow_Networks (0:03:51 elapsed time, 0:03:45 cpu time, factor 0.97)
- DP_QBS (0:03:50 elapsed time, 0:03:53 cpu time, factor 1.01)
- Modal_Logics_for_NTS (0:03:47 elapsed time, 0:03:48 cpu time, factor 1.00)
- Functional_Ordered_Resolution_Prover (0:03:45 elapsed time, 0:03:46 cpu time, factor 1.00)
- HOL-CSP_PTick (0:03:45 elapsed time, 0:03:46 cpu time, factor 1.00)
- Paraconsistency (0:03:43 elapsed time, 0:03:41 cpu time, factor 0.99)
- Fishers_Inequality (0:03:43 elapsed time, 0:03:46 cpu time, factor 1.01)
- Abstract_Substitution (0:03:43 elapsed time, 0:03:43 cpu time, factor 1.00)
- Tree_Enumeration (0:03:39 elapsed time, 0:03:42 cpu time, factor 1.01)
- Planarity_Certificates (0:03:37 elapsed time, 0:03:40 cpu time, factor 1.01)
- Stable_Matching (0:03:37 elapsed time, 0:03:37 cpu time, factor 1.00)
- CoreC++ (0:03:35 elapsed time, 0:03:35 cpu time, factor 1.00)
- Interpreter_Optimizations (0:03:33 elapsed time, 0:03:33 cpu time, factor 1.00)
- Metalogic_ProofChecker (0:03:31 elapsed time, 0:03:30 cpu time, factor 1.00)
- Relational_Method (0:03:30 elapsed time, 0:03:30 cpu time, factor 1.00)
- Relational_Cardinality (0:03:30 elapsed time, 0:03:07 cpu time, factor 0.89)
- Bernoulli (0:03:29 elapsed time, 0:03:31 cpu time, factor 1.01)
- Lie_Groups (0:03:29 elapsed time, 0:03:29 cpu time, factor 1.00)
- Registers (0:03:27 elapsed time, 0:03:23 cpu time, factor 0.98)
- Dependent_SIFUM_Refinement (0:03:25 elapsed time, 0:03:26 cpu time, factor 1.00)
- Roth_Arithmetic_Progressions (0:03:23 elapsed time, 0:03:23 cpu time, factor 1.00)
- Flyspeck-Tame (0:03:23 elapsed time, 0:03:24 cpu time, factor 1.00)
- CVP_Hardness (0:03:22 elapsed time, 0:03:18 cpu time, factor 0.98)
- Grothendieck_Schemes (0:03:22 elapsed time, 0:03:22 cpu time, factor 1.00)
- Probabilistic_Noninterference (0:03:21 elapsed time, 0:03:19 cpu time, factor 0.99)
- InfPathElimination (0:03:20 elapsed time, 0:03:20 cpu time, factor 1.00)
- Constructive_Cryptography (0:03:19 elapsed time, 0:03:19 cpu time, factor 1.00)
- IMP_Noninterference_Extension (0:03:17 elapsed time, 0:03:18 cpu time, factor 1.01)
- Markov_Models (0:03:16 elapsed time, 0:03:14 cpu time, factor 0.99)
- Dirichlet_L (0:03:16 elapsed time, 0:03:18 cpu time, factor 1.01)
- KBPs (0:03:15 elapsed time, 0:03:16 cpu time, factor 1.01)
- Interval_Arithmetic_Word32 (0:03:14 elapsed time, 0:03:14 cpu time, factor 1.00)
- ConcurrentHOL (0:03:14 elapsed time, 0:03:15 cpu time, factor 1.01)
- E_Transcendental (0:03:13 elapsed time, 0:03:15 cpu time, factor 1.01)
- Rewrite_Properties_Reduction (0:03:12 elapsed time, 0:03:14 cpu time, factor 1.01)
- Safe_OCL (0:03:11 elapsed time, 0:03:10 cpu time, factor 0.99)
- HOL-CSP (0:03:10 elapsed time, 0:03:11 cpu time, factor 1.01)
- Symmetric_Polynomials (0:03:10 elapsed time, 0:03:09 cpu time, factor 0.99)
- Count_Complex_Roots (0:03:09 elapsed time, 0:03:10 cpu time, factor 1.01)
- Proof_Strategy_Language (0:03:09 elapsed time, 0:01:49 cpu time, factor 0.58)
- Riesz_Representation (0:03:09 elapsed time, 0:03:10 cpu time, factor 1.01)
- Hilbert_Space_Tensor_Product (0:03:08 elapsed time, 0:03:09 cpu time, factor 1.01)
- Orient_Rewrite_Rule_Undecidable (0:03:08 elapsed time, 0:03:11 cpu time, factor 1.02)
- Eval_FO (0:03:07 elapsed time, 0:03:04 cpu time, factor 0.98)
- Promela (0:03:04 elapsed time, 0:03:03 cpu time, factor 0.99)
- Safe_Distance (0:03:02 elapsed time, 0:02:57 cpu time, factor 0.97)
- Difference_Bound_Matrices (0:02:59 elapsed time, 0:02:59 cpu time, factor 1.00)
- Hermite_Lindemann (0:02:58 elapsed time, 0:03:01 cpu time, factor 1.02)
- Types_To_Sets_Extension (0:02:58 elapsed time, 0:03:00 cpu time, factor 1.01)
- LOFT (0:02:57 elapsed time, 0:02:56 cpu time, factor 0.99)
- LTL_to_DRA (0:02:56 elapsed time, 0:02:57 cpu time, factor 1.01)
- Verified_SAT_Based_AI_Planning (0:02:56 elapsed time, 0:02:57 cpu time, factor 1.01)
- LTL_Master_Theorem (0:02:56 elapsed time, 0:02:57 cpu time, factor 1.01)
- Hypergraph_Colourings (0:02:55 elapsed time, 0:02:56 cpu time, factor 1.01)
- Simpl (0:02:55 elapsed time, 0:02:57 cpu time, factor 1.01)
- VYDRA_MDL (0:02:54 elapsed time, 0:02:54 cpu time, factor 1.00)
- With_Type (0:02:53 elapsed time, 0:02:54 cpu time, factor 1.01)
- Akra_Bazzi (0:02:51 elapsed time, 0:02:53 cpu time, factor 1.01)
- Inductive_Inference (0:02:51 elapsed time, 0:02:51 cpu time, factor 1.00)
- SM (0:02:50 elapsed time, 0:02:47 cpu time, factor 0.98)
- Galois_Energy_Games (0:02:50 elapsed time, 0:02:48 cpu time, factor 0.99)
- Containers (0:02:49 elapsed time, 0:02:41 cpu time, factor 0.95)
- IMP2 (0:02:49 elapsed time, 0:02:49 cpu time, factor 1.00)
- Ordinal_Partitions (0:02:49 elapsed time, 0:02:50 cpu time, factor 1.01)
- Allen_Calculus (0:02:49 elapsed time, 0:02:49 cpu time, factor 1.00)
- Binding_Syntax_Theory (0:02:48 elapsed time, 0:02:48 cpu time, factor 1.00)
- Dependent_SIFUM_Type_Systems (0:02:47 elapsed time, 0:02:48 cpu time, factor 1.01)
- Chebyshev_Prime_Bounds (0:02:47 elapsed time, 0:02:48 cpu time, factor 1.01)
- MFOTL_Monitor (0:02:46 elapsed time, 0:02:46 cpu time, factor 1.00)
- Sets_Revisited (0:02:46 elapsed time, 0:02:47 cpu time, factor 1.01)
- Parity_Game (0:02:45 elapsed time, 0:02:44 cpu time, factor 0.99)
- Karatsuba (0:02:44 elapsed time, 0:02:46 cpu time, factor 1.01)
- Prpu_Maxflow (0:02:43 elapsed time, 0:02:30 cpu time, factor 0.92)
- Gale_Shapley (0:02:43 elapsed time, 0:02:41 cpu time, factor 0.99)
- Furstenberg_Topology (0:02:42 elapsed time, 0:02:44 cpu time, factor 1.01)
- LEM (0:02:40 elapsed time, 0:02:42 cpu time, factor 1.01)
- Chandy_Lamport (0:02:40 elapsed time, 0:02:41 cpu time, factor 1.01)
- Gabow_SCC (0:02:40 elapsed time, 0:02:38 cpu time, factor 0.99)
- Completeness_Decreasing_Diagrams_for_N1 (0:02:40 elapsed time, 0:02:42 cpu time, factor 1.01)
- Relational_Disjoint_Set_Forests (0:02:39 elapsed time, 0:02:28 cpu time, factor 0.93)
- Poincare_Bendixson (0:02:39 elapsed time, 0:02:36 cpu time, factor 0.98)
- List_Update (0:02:39 elapsed time, 0:02:40 cpu time, factor 1.01)
- Prime_Harmonic_Series (0:02:38 elapsed time, 0:02:40 cpu time, factor 1.01)
- Algebraic_VCs (0:02:38 elapsed time, 0:02:38 cpu time, factor 1.00)
- BenOr_Kozen_Reif (0:02:37 elapsed time, 0:02:36 cpu time, factor 0.99)
- Simplicial_complexes_and_boolean_functions (0:02:37 elapsed time, 0:02:38 cpu time, factor 1.01)
- Density_Compiler (0:02:36 elapsed time, 0:02:37 cpu time, factor 1.01)
- SuffixArray (0:02:35 elapsed time, 0:02:37 cpu time, factor 1.01)
- Free-Groups (0:02:35 elapsed time, 0:02:37 cpu time, factor 1.01)
- Real_Time_Deque (0:02:35 elapsed time, 0:02:34 cpu time, factor 0.99)
- Factor_Algebraic_Polynomial (0:02:33 elapsed time, 0:02:32 cpu time, factor 0.99)
- Safe_Range_RC (0:02:33 elapsed time, 0:02:33 cpu time, factor 1.00)
- Simplex (0:02:32 elapsed time, 0:02:29 cpu time, factor 0.98)
- Sigma_Commit_Crypto (0:02:31 elapsed time, 0:02:31 cpu time, factor 1.00)
- Propositional_Proof_Systems (0:02:30 elapsed time, 0:02:31 cpu time, factor 1.01)
- Category_Set (0:02:30 elapsed time, 0:02:12 cpu time, factor 0.88)
- Knot_Theory (0:02:28 elapsed time, 0:02:30 cpu time, factor 1.01)
- Weak_Spectroscopy (0:02:27 elapsed time, 0:02:24 cpu time, factor 0.98)
- Ergodic_Theory (0:02:27 elapsed time, 0:02:29 cpu time, factor 1.01)
- Word_Lib (0:02:25 elapsed time, 0:02:25 cpu time, factor 1.00)
- Independence_CH (0:02:25 elapsed time, 0:02:26 cpu time, factor 1.01)
- Multirelations_Heterogeneous (0:02:24 elapsed time, 0:02:12 cpu time, factor 0.92)
- Edwards_Elliptic_Curves_Group (0:02:23 elapsed time, 0:02:23 cpu time, factor 1.00)
- Taylor_Models (0:02:22 elapsed time, 0:02:22 cpu time, factor 1.00)
- Resolution_FOL (0:02:22 elapsed time, 0:02:24 cpu time, factor 1.01)
- Stone_Kleene_Relation_Algebras (0:02:20 elapsed time, 0:02:21 cpu time, factor 1.01)
- S_Finite_Measure_Monad (0:02:20 elapsed time, 0:02:21 cpu time, factor 1.01)
- Disintegration (0:02:19 elapsed time, 0:02:20 cpu time, factor 1.01)
- Turans_Graph_Theorem (0:02:18 elapsed time, 0:02:17 cpu time, factor 0.99)
- Matrices_for_ODEs (0:02:15 elapsed time, 0:02:16 cpu time, factor 1.01)
- Splitting_Framework (0:02:14 elapsed time, 0:02:06 cpu time, factor 0.94)
- Oneway2Hiding (0:02:14 elapsed time, 0:02:13 cpu time, factor 0.99)
- Zeta_Function (0:02:12 elapsed time, 0:02:14 cpu time, factor 1.02)
- Mersenne_Primes (0:02:12 elapsed time, 0:02:13 cpu time, factor 1.01)
- MFMC_Countable (0:02:12 elapsed time, 0:02:14 cpu time, factor 1.02)
- LL1_Parser (0:02:10 elapsed time, 0:02:07 cpu time, factor 0.98)
- Hyperdual (0:02:10 elapsed time, 0:02:10 cpu time, factor 1.00)
- Girth_Chromatic (0:02:10 elapsed time, 0:02:11 cpu time, factor 1.01)
- First_Order_Terms (0:02:10 elapsed time, 0:02:12 cpu time, factor 1.02)
- No_FTL_observers (0:02:09 elapsed time, 0:02:08 cpu time, factor 0.99)
- IMP_Noninterference (0:02:09 elapsed time, 0:02:09 cpu time, factor 1.00)
- HOL-CSPM (0:02:09 elapsed time, 0:02:09 cpu time, factor 1.00)
- Bertrands_Postulate (0:02:09 elapsed time, 0:02:10 cpu time, factor 1.01)
- Buildings (0:02:08 elapsed time, 0:02:09 cpu time, factor 1.01)
- PAPP_Impossibility (0:02:07 elapsed time, 0:02:06 cpu time, factor 0.99)
- AOT (0:02:07 elapsed time, 0:02:09 cpu time, factor 1.02)
- Isabelle_Meta_Model (0:02:07 elapsed time, 0:02:07 cpu time, factor 1.00)
- Farkas (0:02:06 elapsed time, 0:02:08 cpu time, factor 1.02)
- Region_Quadtrees (0:02:06 elapsed time, 0:02:06 cpu time, factor 1.00)
- Gauss_Jordan (0:02:05 elapsed time, 0:02:06 cpu time, factor 1.01)
- Randomized_Closest_Pair (0:02:05 elapsed time, 0:01:59 cpu time, factor 0.95)
- CommCSL (0:02:05 elapsed time, 0:02:05 cpu time, factor 1.00)
- Physical_Quantities (0:02:05 elapsed time, 0:02:05 cpu time, factor 1.00)
- Green (0:02:05 elapsed time, 0:02:04 cpu time, factor 0.99)
- Featherweight_OCL (0:02:02 elapsed time, 0:02:03 cpu time, factor 1.01)
- Design_Theory (0:02:02 elapsed time, 0:02:03 cpu time, factor 1.01)
- QHLProver (0:02:02 elapsed time, 0:02:00 cpu time, factor 0.98)
- HOL-CSP_Proc-Omata (0:02:02 elapsed time, 0:02:02 cpu time, factor 1.00)
- Amicable_Numbers (0:02:01 elapsed time, 0:02:01 cpu time, factor 1.00)
- FaithfulPMLinHOL (0:01:59 elapsed time, 0:01:50 cpu time, factor 0.92)
- Z_Toolkit (0:01:58 elapsed time, 0:01:59 cpu time, factor 1.01)
- Quantales (0:01:58 elapsed time, 0:01:58 cpu time, factor 1.00)
- Launchbury (0:01:57 elapsed time, 0:01:59 cpu time, factor 1.02)
- Morley_Theorem (0:01:57 elapsed time, 0:01:53 cpu time, factor 0.97)
- Closest_Pair_Points (0:01:56 elapsed time, 0:01:56 cpu time, factor 1.00)
- Higher_Order_Terms (0:01:55 elapsed time, 0:01:51 cpu time, factor 0.97)
- SATSolverVerification (0:01:55 elapsed time, 0:01:57 cpu time, factor 1.02)
- Irrationality_J_Hancl (0:01:55 elapsed time, 0:01:55 cpu time, factor 1.00)
- Regex_Equivalence (0:01:54 elapsed time, 0:01:54 cpu time, factor 1.00)
- Nested_Multisets_Ordinals (0:01:54 elapsed time, 0:01:56 cpu time, factor 1.02)
- Isabelle_DOF (0:01:54 elapsed time, 0:01:53 cpu time, factor 0.99)
- KnuthMorrisPratt (0:01:54 elapsed time, 0:01:54 cpu time, factor 1.00)
- ZFC_in_HOL (0:01:54 elapsed time, 0:01:55 cpu time, factor 1.01)
- DiscretePricing (0:01:53 elapsed time, 0:01:54 cpu time, factor 1.01)
- Amortized_Complexity (0:01:53 elapsed time, 0:01:52 cpu time, factor 0.99)
- Root_Balanced_Tree (0:01:53 elapsed time, 0:01:53 cpu time, factor 1.00)
- Twelvefold_Way (0:01:53 elapsed time, 0:01:54 cpu time, factor 1.01)
- CRYSTALS-Kyber (0:01:52 elapsed time, 0:01:51 cpu time, factor 0.99)
- Ordered_Resolution_Prover (0:01:51 elapsed time, 0:01:48 cpu time, factor 0.97)
- KAD (0:01:50 elapsed time, 0:01:50 cpu time, factor 1.00)
- Sepref_IICF (0:01:50 elapsed time, 0:01:50 cpu time, factor 1.00)
- Rep_Fin_Groups (0:01:50 elapsed time, 0:01:51 cpu time, factor 1.01)
- BirdKMP (0:01:49 elapsed time, 0:01:49 cpu time, factor 1.00)
- ProcessComposition_ILL (0:01:49 elapsed time, 0:01:50 cpu time, factor 1.01)
- Poincare_Disc (0:01:47 elapsed time, 0:01:46 cpu time, factor 0.99)
- GyrovectorSpaces (0:01:47 elapsed time, 0:01:35 cpu time, factor 0.89)
- Lambda_Free_KBOs (0:01:46 elapsed time, 0:01:47 cpu time, factor 1.01)
- Aggregation_Algebras (0:01:46 elapsed time, 0:01:46 cpu time, factor 1.00)
- Adaptive_State_Counting (0:01:45 elapsed time, 0:01:46 cpu time, factor 1.01)
- Derandomization_Conditional_Expectations (0:01:45 elapsed time, 0:01:45 cpu time, factor 1.00)
- Relational_Paths (0:01:45 elapsed time, 0:01:44 cpu time, factor 0.99)
- Separation_Logic_Imperative_HOL (0:01:44 elapsed time, 0:01:36 cpu time, factor 0.92)
- Kneser_Cauchy_Davenport (0:01:44 elapsed time, 0:01:42 cpu time, factor 0.98)
- Extended_Finite_State_Machine_Inference (0:01:44 elapsed time, 0:01:44 cpu time, factor 1.00)
- BytecodeLogicJmlTypes (0:01:44 elapsed time, 0:01:44 cpu time, factor 1.00)
- Complex_Geometry (0:01:44 elapsed time, 0:01:44 cpu time, factor 1.00)
- UPF_Firewall (0:01:44 elapsed time, 0:01:45 cpu time, factor 1.01)
- Pi_Calculus (0:01:42 elapsed time, 0:01:45 cpu time, factor 1.03)
- Signature_Groebner (0:01:42 elapsed time, 0:01:43 cpu time, factor 1.01)
- BD_Security_Compositional (0:01:42 elapsed time, 0:01:42 cpu time, factor 1.00)
- AWN (0:01:41 elapsed time, 0:01:42 cpu time, factor 1.01)
- Multirelations (0:01:39 elapsed time, 0:01:18 cpu time, factor 0.79)
- Projective_Geometry (0:01:39 elapsed time, 0:01:21 cpu time, factor 0.82)
- Graph_Theory (0:01:39 elapsed time, 0:01:40 cpu time, factor 1.01)
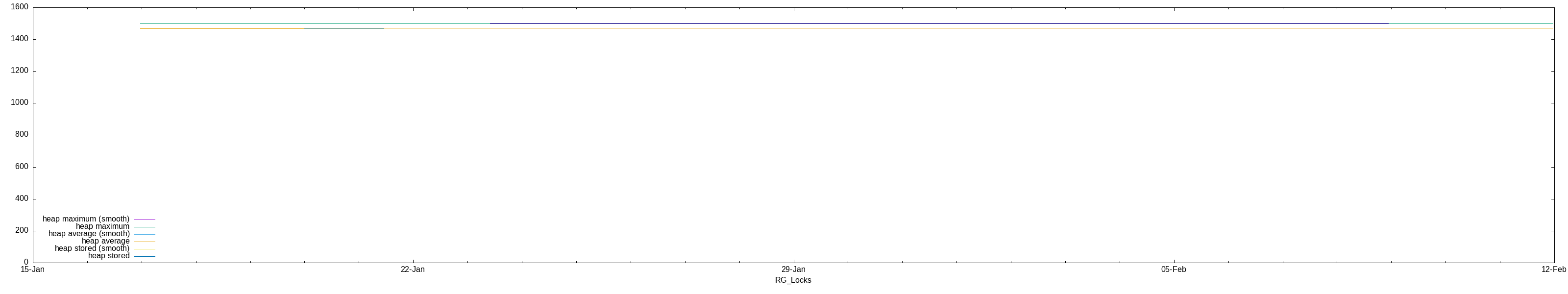
- RG_Locks (0:01:39 elapsed time, 0:01:40 cpu time, factor 1.01)
- Theta_Functions (0:01:38 elapsed time, 0:01:39 cpu time, factor 1.01)
- Linear_Diophantine_Preprocessor (0:01:38 elapsed time, 0:01:38 cpu time, factor 1.00)
- Polygonal_Number_Theorem (0:01:37 elapsed time, 0:01:34 cpu time, factor 0.97)
- Linear_Inequalities (0:01:37 elapsed time, 0:01:37 cpu time, factor 1.00)
- LTL (0:01:37 elapsed time, 0:01:37 cpu time, factor 1.00)
- Kleene_Algebra (0:01:37 elapsed time, 0:01:38 cpu time, factor 1.01)
- Groebner_Macaulay (0:01:37 elapsed time, 0:01:38 cpu time, factor 1.01)
- NREST (0:01:36 elapsed time, 0:01:38 cpu time, factor 1.02)
- Schutz_Spacetime (0:01:36 elapsed time, 0:01:35 cpu time, factor 0.99)
- Stone_Relation_Algebras (0:01:35 elapsed time, 0:01:35 cpu time, factor 1.00)
- Actuarial_Mathematics (0:01:35 elapsed time, 0:01:32 cpu time, factor 0.97)
- Vickrey_Clarke_Groves (0:01:34 elapsed time, 0:01:35 cpu time, factor 1.01)
- PseudoHoops (0:01:34 elapsed time, 0:01:34 cpu time, factor 1.00)
- Approximate_Model_Counting (0:01:34 elapsed time, 0:01:27 cpu time, factor 0.93)
- Real_Impl (0:01:34 elapsed time, 0:01:34 cpu time, factor 1.00)
- Lovasz_Local (0:01:33 elapsed time, 0:01:33 cpu time, factor 1.00)
- Partial_Order_Reduction (0:01:33 elapsed time, 0:01:30 cpu time, factor 0.97)
- Compressed_Oracles (0:01:33 elapsed time, 0:01:33 cpu time, factor 1.00)
- Earley_Parser (0:01:33 elapsed time, 0:01:33 cpu time, factor 1.00)
- Standard_Borel_Spaces (0:01:33 elapsed time, 0:01:34 cpu time, factor 1.01)
- Gauss_Sums (0:01:33 elapsed time, 0:01:34 cpu time, factor 1.01)
- Abs_Int_ITP2012 (0:01:32 elapsed time, 0:01:32 cpu time, factor 1.00)
- Refine_Monadic (0:01:32 elapsed time, 0:01:33 cpu time, factor 1.01)
- UTP-Toolkit (0:01:32 elapsed time, 0:01:33 cpu time, factor 1.01)
- BDD (0:01:32 elapsed time, 0:01:33 cpu time, factor 1.01)
- Transitive_Models (0:01:32 elapsed time, 0:01:33 cpu time, factor 1.01)
- Prim_Dijkstra_Simple (0:01:30 elapsed time, 0:01:23 cpu time, factor 0.92)
- Undirected_Graph_Theory (0:01:29 elapsed time, 0:01:29 cpu time, factor 1.00)
- Prime_Distribution_Elementary (0:01:29 elapsed time, 0:01:30 cpu time, factor 1.01)
- Deriving (0:01:29 elapsed time, 0:01:29 cpu time, factor 1.00)
- Generalized_Counting_Sort (0:01:29 elapsed time, 0:01:29 cpu time, factor 1.00)
- LLL_Factorization (0:01:28 elapsed time, 0:01:28 cpu time, factor 1.00)
- MLSSmf_to_MLSS (0:01:28 elapsed time, 0:01:27 cpu time, factor 0.99)
- HOLCF-Prelude (0:01:27 elapsed time, 0:01:28 cpu time, factor 1.01)
- Elliptic_Curves_Group_Law (0:01:27 elapsed time, 0:01:27 cpu time, factor 1.00)
- Smooth_Manifolds (0:01:26 elapsed time, 0:01:27 cpu time, factor 1.01)
- Call_Arity (0:01:26 elapsed time, 0:01:26 cpu time, factor 1.00)
- SequentInvertibility (0:01:25 elapsed time, 0:01:26 cpu time, factor 1.01)
- Regular_Algebras (0:01:25 elapsed time, 0:01:22 cpu time, factor 0.96)
- Winding_Number_Eval (0:01:25 elapsed time, 0:01:26 cpu time, factor 1.01)
- LambdaAuth (0:01:25 elapsed time, 0:01:21 cpu time, factor 0.95)
- Hybrid_Multi_Lane_Spatial_Logic (0:01:25 elapsed time, 0:01:25 cpu time, factor 1.00)
- Fourier (0:01:25 elapsed time, 0:01:26 cpu time, factor 1.01)
- Combinatorics_Words (0:01:24 elapsed time, 0:01:27 cpu time, factor 1.04)
- Linear_Recurrences (0:01:24 elapsed time, 0:01:24 cpu time, factor 1.00)
- ProcessComposition (0:01:24 elapsed time, 0:01:24 cpu time, factor 1.00)
- Q0_Soundness (0:01:24 elapsed time, 0:01:25 cpu time, factor 1.01)
- Subresultants (0:01:23 elapsed time, 0:01:24 cpu time, factor 1.01)
- Statecharts (0:01:23 elapsed time, 0:01:23 cpu time, factor 1.00)
- LinearQuantifierElim (0:01:23 elapsed time, 0:01:24 cpu time, factor 1.01)
- Nominal_Myhill_Nerode (0:01:22 elapsed time, 0:01:23 cpu time, factor 1.01)
- Graph_Algorithms (0:01:22 elapsed time, 0:01:23 cpu time, factor 1.01)
- Password_Authentication_Protocol (0:01:22 elapsed time, 0:01:23 cpu time, factor 1.01)
- Given_Clause_Loops (0:01:22 elapsed time, 0:01:22 cpu time, factor 1.00)
- Khovanskii_Theorem (0:01:21 elapsed time, 0:01:21 cpu time, factor 1.00)
- ComponentDependencies (0:01:20 elapsed time, 0:01:20 cpu time, factor 1.00)
- Context_Free_Grammar (0:01:20 elapsed time, 0:01:21 cpu time, factor 1.01)
- VerifyThis2018 (0:01:20 elapsed time, 0:01:19 cpu time, factor 0.99)
- Circus (0:01:18 elapsed time, 0:01:18 cpu time, factor 1.00)
- Encodability_Process_Calculi (0:01:18 elapsed time, 0:01:20 cpu time, factor 1.03)
- Sort_Encodings (0:01:18 elapsed time, 0:01:19 cpu time, factor 1.01)
- Differential_Privacy (0:01:18 elapsed time, 0:01:19 cpu time, factor 1.01)
- Decreasing-Diagrams-II (0:01:18 elapsed time, 0:01:19 cpu time, factor 1.01)
- Order_Lattice_Props (0:01:17 elapsed time, 0:01:16 cpu time, factor 0.99)
- FOL_Compactness (0:01:16 elapsed time, 0:01:16 cpu time, factor 1.00)
- LocalLexing (0:01:16 elapsed time, 0:01:17 cpu time, factor 1.01)
- HoareForDivergence (0:01:16 elapsed time, 0:01:13 cpu time, factor 0.96)
- Mission_Time_LTL_to_Regular_Expression (0:01:16 elapsed time, 0:01:14 cpu time, factor 0.97)
- Clean (0:01:16 elapsed time, 0:01:17 cpu time, factor 1.01)
- Game_Based_Crypto (0:01:16 elapsed time, 0:01:16 cpu time, factor 1.00)
- Hypergraph_Basics (0:01:14 elapsed time, 0:01:15 cpu time, factor 1.01)
- Zeta_3_Irrational (0:01:14 elapsed time, 0:01:14 cpu time, factor 1.00)
- FOL_Seq_Calc2 (0:01:14 elapsed time, 0:01:14 cpu time, factor 1.00)
- Show (0:01:14 elapsed time, 0:01:15 cpu time, factor 1.01)
- Generic_Deriving (0:01:13 elapsed time, 0:01:13 cpu time, factor 1.00)
- Robinson_Arithmetic (0:01:13 elapsed time, 0:01:14 cpu time, factor 1.01)
- Weighted_Path_Order (0:01:13 elapsed time, 0:01:13 cpu time, factor 1.00)
- CAVA_Automata (0:01:13 elapsed time, 0:01:13 cpu time, factor 1.00)
- Regular-Sets (0:01:12 elapsed time, 0:01:12 cpu time, factor 1.00)
- Probabilistic_While (0:01:12 elapsed time, 0:01:12 cpu time, factor 1.00)
- Quantum_Fourier_Transform (0:01:12 elapsed time, 0:01:10 cpu time, factor 0.97)
- Pluennecke_Ruzsa_Inequality (0:01:12 elapsed time, 0:01:11 cpu time, factor 0.99)
- Topological_Semantics (0:01:12 elapsed time, 0:00:42 cpu time, factor 0.58)
- Extended_Finite_State_Machines (0:01:12 elapsed time, 0:01:12 cpu time, factor 1.00)
- Sepref_Prereq (0:01:12 elapsed time, 0:01:03 cpu time, factor 0.88)
- Kruskal (0:01:11 elapsed time, 0:01:11 cpu time, factor 1.00)
- QBF_Solver_Verification (0:01:11 elapsed time, 0:01:11 cpu time, factor 1.00)
- Well_Quasi_Orders (0:01:11 elapsed time, 0:01:11 cpu time, factor 1.00)
- Power_Sum_Polynomials (0:01:11 elapsed time, 0:01:11 cpu time, factor 1.00)
- TsirelsonBound (0:01:10 elapsed time, 0:01:10 cpu time, factor 1.00)
- Relational_Minimum_Spanning_Trees (0:01:10 elapsed time, 0:01:09 cpu time, factor 0.99)
- AutoFocus-Stream (0:01:10 elapsed time, 0:01:11 cpu time, factor 1.01)
- IMP_Compiler_Reuse (0:01:10 elapsed time, 0:01:10 cpu time, factor 1.00)
- Quasi_Borel_Spaces (0:01:08 elapsed time, 0:01:09 cpu time, factor 1.01)
- HOL-CSP_OpSem (0:01:08 elapsed time, 0:01:08 cpu time, factor 1.00)
- Three_Circles (0:01:08 elapsed time, 0:01:09 cpu time, factor 1.01)
- Top_Down_Solver (0:01:08 elapsed time, 0:01:05 cpu time, factor 0.96)
- Coppersmith_Method (0:01:07 elapsed time, 0:01:05 cpu time, factor 0.97)
- Dijkstra_Shortest_Path (0:01:07 elapsed time, 0:00:53 cpu time, factor 0.79)
- UTP (0:01:07 elapsed time, 0:01:07 cpu time, factor 1.00)
- Stone_Algebras (0:01:07 elapsed time, 0:01:07 cpu time, factor 1.00)
- Probabilistic_System_Zoo (0:01:06 elapsed time, 0:01:07 cpu time, factor 1.02)
- Treaps (0:01:06 elapsed time, 0:01:07 cpu time, factor 1.02)
- Knights_Tour (0:01:06 elapsed time, 0:01:06 cpu time, factor 1.00)
- WOOT_Strong_Eventual_Consistency (0:01:06 elapsed time, 0:01:06 cpu time, factor 1.00)
- Prime_Number_Theorem (0:01:06 elapsed time, 0:01:06 cpu time, factor 1.00)
- Wetzels_Problem (0:01:06 elapsed time, 0:01:07 cpu time, factor 1.02)
- Multitape_To_Singletape_TM (0:01:06 elapsed time, 0:01:05 cpu time, factor 0.98)
- Hermite (0:01:06 elapsed time, 0:01:06 cpu time, factor 1.00)
- UpDown_Scheme (0:01:06 elapsed time, 0:01:07 cpu time, factor 1.02)
- Factored_Transition_System_Bounding (0:01:05 elapsed time, 0:01:03 cpu time, factor 0.97)
- Jacobson_Basic_Algebra (0:01:05 elapsed time, 0:01:05 cpu time, factor 1.00)
- Suppes_Theorem (0:01:05 elapsed time, 0:01:06 cpu time, factor 1.02)
- Concentrated_Liquidity_Market_Making_Operations (0:01:04 elapsed time, 0:01:04 cpu time, factor 1.00)
- EdmondsKarp_Maxflow (0:01:04 elapsed time, 0:00:59 cpu time, factor 0.92)
- Babai_Nearest_Plane (0:01:04 elapsed time, 0:01:04 cpu time, factor 1.00)
- Mission_Time_LTL_Language_Partition (0:01:04 elapsed time, 0:01:04 cpu time, factor 1.00)
- Differential_Game_Logic (0:01:04 elapsed time, 0:01:05 cpu time, factor 1.02)
- Automatic_Refinement (0:01:04 elapsed time, 0:01:04 cpu time, factor 1.00)
- Tarskis_Geometry (0:01:02 elapsed time, 0:01:00 cpu time, factor 0.97)
- Commuting_Hermitian (0:01:02 elapsed time, 0:01:02 cpu time, factor 1.00)
- ILL (0:01:02 elapsed time, 0:01:01 cpu time, factor 0.98)
- Directed_Sets (0:01:01 elapsed time, 0:01:02 cpu time, factor 1.02)
- Valuation (0:01:01 elapsed time, 0:01:02 cpu time, factor 1.02)
- Multiset_Ordering_NPC (0:01:01 elapsed time, 0:01:01 cpu time, factor 1.00)
- Gaussian_Integers (0:01:01 elapsed time, 0:01:02 cpu time, factor 1.02)
- Concurrent_Revisions (0:01:01 elapsed time, 0:01:01 cpu time, factor 1.00)
- Buchi_Complementation (0:01:01 elapsed time, 0:00:54 cpu time, factor 0.89)
- Koenigsberg_Friendship (0:01:01 elapsed time, 0:01:02 cpu time, factor 1.02)
- HyperHoareLogic (0:01:00 elapsed time, 0:01:01 cpu time, factor 1.02)
- Concentration_Inequalities (0:01:00 elapsed time, 0:01:00 cpu time, factor 1.00)
- SIFUM_Type_Systems (0:01:00 elapsed time, 0:01:00 cpu time, factor 1.00)
- Incredible_Proof_Machine (0:01:00 elapsed time, 0:01:00 cpu time, factor 1.00)
- Martingales (0:00:59 elapsed time, 0:01:00 cpu time, factor 1.02)
- LightweightJava (0:00:59 elapsed time, 0:00:59 cpu time, factor 1.00)
- Nominal2 (0:00:59 elapsed time, 0:01:00 cpu time, factor 1.02)
- Dominance_CHK (0:00:58 elapsed time, 0:00:58 cpu time, factor 1.00)
- Coupledsim_Contrasim (0:00:58 elapsed time, 0:00:59 cpu time, factor 1.02)
- SimplifiedOntologicalArgument (0:00:58 elapsed time, 0:00:49 cpu time, factor 0.84)
- Subset_Boolean_Algebras (0:00:57 elapsed time, 0:00:50 cpu time, factor 0.88)
- Dynamic_Pushdown_Networks (0:00:57 elapsed time, 0:00:57 cpu time, factor 1.00)
- SIFPL (0:00:57 elapsed time, 0:00:57 cpu time, factor 1.00)
- Applicative_Lifting (0:00:57 elapsed time, 0:00:57 cpu time, factor 1.00)
- Topological_Groups (0:00:57 elapsed time, 0:00:57 cpu time, factor 1.00)
- SuperCalc (0:00:57 elapsed time, 0:00:58 cpu time, factor 1.02)
- Pushdown_Systems (0:00:56 elapsed time, 0:00:56 cpu time, factor 1.00)
- Pell (0:00:55 elapsed time, 0:00:55 cpu time, factor 1.00)
- Kraus_Maps (0:00:55 elapsed time, 0:00:53 cpu time, factor 0.96)
- CubicalCategories (0:00:55 elapsed time, 0:00:52 cpu time, factor 0.95)
- XML (0:00:54 elapsed time, 0:00:54 cpu time, factor 1.00)
- Number_Theoretic_Transform (0:00:53 elapsed time, 0:00:52 cpu time, factor 0.98)
- Fishburn_Impossibility (0:00:53 elapsed time, 0:00:54 cpu time, factor 1.02)
- Separation_Algebra (0:00:53 elapsed time, 0:00:53 cpu time, factor 1.00)
- Sturm_Sequences (0:00:52 elapsed time, 0:00:53 cpu time, factor 1.02)
- PCF (0:00:52 elapsed time, 0:00:50 cpu time, factor 0.96)
- Matrix (0:00:52 elapsed time, 0:00:52 cpu time, factor 1.00)
- Consensus_Refined (0:00:51 elapsed time, 0:00:51 cpu time, factor 1.00)
- Chebyshev_Polynomials (0:00:51 elapsed time, 0:00:51 cpu time, factor 1.00)
- Relational_Forests (0:00:51 elapsed time, 0:00:49 cpu time, factor 0.96)
- Hood_Melville_Queue (0:00:50 elapsed time, 0:00:50 cpu time, factor 1.00)
- Foundation_of_geometry (0:00:50 elapsed time, 0:00:51 cpu time, factor 1.02)
- SDS_Impossibility (0:00:50 elapsed time, 0:00:50 cpu time, factor 1.00)
- Priority_Queue_Braun (0:00:49 elapsed time, 0:00:49 cpu time, factor 1.00)
- Clique_and_Monotone_Circuits (0:00:49 elapsed time, 0:00:50 cpu time, factor 1.02)
- Sigmoid_Universal_Approximation (0:00:49 elapsed time, 0:00:47 cpu time, factor 0.96)
- Min_Max_Least_Greatest (0:00:49 elapsed time, 0:00:49 cpu time, factor 1.00)
- Simple_Firewall (0:00:48 elapsed time, 0:00:48 cpu time, factor 1.00)
- Propositional_Logic_Class (0:00:48 elapsed time, 0:00:49 cpu time, factor 1.02)
- Probability_Inequality_Completeness (0:00:48 elapsed time, 0:00:48 cpu time, factor 1.00)
- Pi_Transcendental (0:00:48 elapsed time, 0:00:48 cpu time, factor 1.00)
- MDP-Rewards (0:00:48 elapsed time, 0:00:48 cpu time, factor 1.00)
- Decl_Sem_Fun_PL (0:00:47 elapsed time, 0:00:48 cpu time, factor 1.02)
- IMP_Compiler (0:00:47 elapsed time, 0:00:47 cpu time, factor 1.00)
- Stirling_Formula (0:00:47 elapsed time, 0:00:47 cpu time, factor 1.00)
- Isabelle_C (0:00:47 elapsed time, 0:00:47 cpu time, factor 1.00)
- LTL_Normal_Form (0:00:47 elapsed time, 0:00:47 cpu time, factor 1.00)
- Approximation_Algorithms (0:00:47 elapsed time, 0:00:47 cpu time, factor 1.00)
- DiskPaxos (0:00:47 elapsed time, 0:00:48 cpu time, factor 1.02)
- KAT_and_DRA (0:00:47 elapsed time, 0:00:45 cpu time, factor 0.96)
- Forcing (0:00:46 elapsed time, 0:00:47 cpu time, factor 1.02)
- Rankings (0:00:46 elapsed time, 0:00:47 cpu time, factor 1.02)
- Abortable_Linearizable_Modules (0:00:46 elapsed time, 0:00:46 cpu time, factor 1.00)
- UPF (0:00:46 elapsed time, 0:00:46 cpu time, factor 1.00)
- Nat-Interval-Logic (0:00:45 elapsed time, 0:00:45 cpu time, factor 1.00)
- IEEE_Floating_Point (0:00:45 elapsed time, 0:00:46 cpu time, factor 1.02)
- WHATandWHERE_Security (0:00:45 elapsed time, 0:00:45 cpu time, factor 1.00)
- pGCL (0:00:45 elapsed time, 0:00:46 cpu time, factor 1.02)
- Goedel_Incompleteness (0:00:45 elapsed time, 0:00:45 cpu time, factor 1.00)
- Hidden_Markov_Models (0:00:45 elapsed time, 0:00:45 cpu time, factor 1.00)
- Lambda_Free_EPO (0:00:45 elapsed time, 0:00:45 cpu time, factor 1.00)
- Tree-Automata (0:00:45 elapsed time, 0:00:45 cpu time, factor 1.00)
- Modular_Assembly_Kit_Security (0:00:44 elapsed time, 0:00:45 cpu time, factor 1.02)
- Randomised_Social_Choice (0:00:44 elapsed time, 0:00:44 cpu time, factor 1.00)
- Locally-Nameless-Sigma (0:00:44 elapsed time, 0:00:44 cpu time, factor 1.00)
- HOL-CSP_RS (0:00:44 elapsed time, 0:00:44 cpu time, factor 1.00)
- Polynomial_Crit_Geometry (0:00:44 elapsed time, 0:00:45 cpu time, factor 1.02)
- Lambda_Free_RPOs (0:00:44 elapsed time, 0:00:44 cpu time, factor 1.00)
- Kolmogorov_Chentsov (0:00:44 elapsed time, 0:00:43 cpu time, factor 0.98)
- Stratified_Datalog (0:00:43 elapsed time, 0:00:43 cpu time, factor 1.00)
- Nash_Williams (0:00:43 elapsed time, 0:00:43 cpu time, factor 1.00)
- Possibilistic_Noninterference (0:00:43 elapsed time, 0:00:44 cpu time, factor 1.02)
- Floyd_Warshall (0:00:43 elapsed time, 0:00:43 cpu time, factor 1.00)
- VectorSpace (0:00:43 elapsed time, 0:00:43 cpu time, factor 1.00)
- Synthetic_Completeness (0:00:43 elapsed time, 0:00:43 cpu time, factor 1.00)
- Lp (0:00:43 elapsed time, 0:00:43 cpu time, factor 1.00)
- Architectural_Design_Patterns (0:00:42 elapsed time, 0:00:42 cpu time, factor 1.00)
- Sophie_Germain (0:00:42 elapsed time, 0:00:42 cpu time, factor 1.00)
- Optics (0:00:42 elapsed time, 0:00:42 cpu time, factor 1.00)
- Myhill-Nerode (0:00:42 elapsed time, 0:00:42 cpu time, factor 1.00)
- Presburger-Automata (0:00:42 elapsed time, 0:00:42 cpu time, factor 1.00)
- Mission_Time_LTL_Formula_Progression (0:00:42 elapsed time, 0:00:32 cpu time, factor 0.76)
- Auto2_HOL (0:00:41 elapsed time, 0:00:42 cpu time, factor 1.02)
- Quick_Sort_Cost (0:00:41 elapsed time, 0:00:41 cpu time, factor 1.00)
- PNT_with_Remainder (0:00:41 elapsed time, 0:00:41 cpu time, factor 1.00)
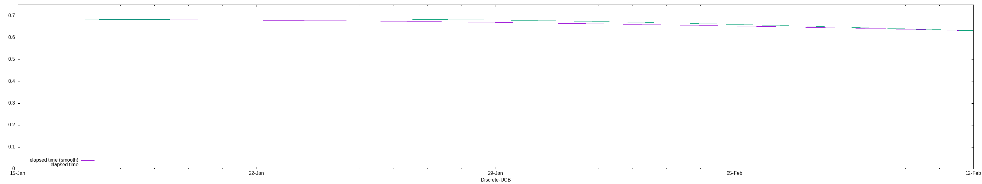
- Discrete-UCB (0:00:41 elapsed time, 0:00:41 cpu time, factor 1.00)
- Sepref_Basic (0:00:41 elapsed time, 0:00:41 cpu time, factor 1.00)
- Formula_Derivatives-Examples (0:00:41 elapsed time, 0:00:41 cpu time, factor 1.00)
- ConcurrentIMP (0:00:41 elapsed time, 0:00:41 cpu time, factor 1.00)
- POPLmark-deBruijn (0:00:41 elapsed time, 0:00:37 cpu time, factor 0.90)
- CRDT (0:00:41 elapsed time, 0:00:41 cpu time, factor 1.00)
- Heard_Of (0:00:41 elapsed time, 0:00:42 cpu time, factor 1.02)
- ROBDD (0:00:41 elapsed time, 0:00:41 cpu time, factor 1.00)
- Greibach_Normal_Form (0:00:40 elapsed time, 0:00:39 cpu time, factor 0.98)
- Monomorphic_Monad (0:00:40 elapsed time, 0:00:41 cpu time, factor 1.03)
- Logging_Independent_Anonymity (0:00:40 elapsed time, 0:00:40 cpu time, factor 1.00)
- Graph_Saturation (0:00:40 elapsed time, 0:00:41 cpu time, factor 1.03)
- RSAPSS (0:00:40 elapsed time, 0:00:40 cpu time, factor 1.00)
- Shivers-CFA (0:00:40 elapsed time, 0:00:40 cpu time, factor 1.00)
- Program-Conflict-Analysis (0:00:39 elapsed time, 0:00:39 cpu time, factor 1.00)
- Labeled_Transition_Systems (0:00:39 elapsed time, 0:00:39 cpu time, factor 1.00)
- Special_Function_Bounds (0:00:39 elapsed time, 0:00:39 cpu time, factor 1.00)
- PLM (0:00:38 elapsed time, 0:00:36 cpu time, factor 0.95)
- Restriction_Spaces-Examples (0:00:38 elapsed time, 0:00:38 cpu time, factor 1.00)
- Separation_Logic_Unbounded (0:00:37 elapsed time, 0:00:37 cpu time, factor 1.00)
- Decreasing-Diagrams (0:00:37 elapsed time, 0:00:38 cpu time, factor 1.03)
- Abstract-Rewriting (0:00:37 elapsed time, 0:00:38 cpu time, factor 1.03)
- Sturm_Tarski (0:00:37 elapsed time, 0:00:37 cpu time, factor 1.00)
- IFC_Tracking (0:00:37 elapsed time, 0:00:37 cpu time, factor 1.00)
- FOL-Fitting (0:00:37 elapsed time, 0:00:37 cpu time, factor 1.00)
- Generic_Join (0:00:37 elapsed time, 0:00:38 cpu time, factor 1.03)
- Irrational_Series_Erdos_Straus (0:00:37 elapsed time, 0:00:37 cpu time, factor 1.00)
- Prop_Compactness (0:00:36 elapsed time, 0:00:37 cpu time, factor 1.03)
- Dict_Construction (0:00:36 elapsed time, 0:00:36 cpu time, factor 1.00)
- Combinatorial_Enumeration_Algorithms (0:00:36 elapsed time, 0:00:36 cpu time, factor 1.00)
- ML_Unification (0:00:36 elapsed time, 0:00:36 cpu time, factor 1.00)
- List_Inversions (0:00:36 elapsed time, 0:00:36 cpu time, factor 1.00)
- TESL_Language (0:00:36 elapsed time, 0:00:36 cpu time, factor 1.00)
- Bisimulation_Logic (0:00:36 elapsed time, 0:00:34 cpu time, factor 0.94)
- AxiomaticCategoryTheory (0:00:36 elapsed time, 0:00:23 cpu time, factor 0.64)
- Knuth_Morris_Pratt (0:00:36 elapsed time, 0:00:36 cpu time, factor 1.00)
- PSemigroupsConvolution (0:00:36 elapsed time, 0:00:36 cpu time, factor 1.00)
- Saturation_Framework (0:00:36 elapsed time, 0:00:34 cpu time, factor 0.94)
- Stern_Brocot (0:00:35 elapsed time, 0:00:35 cpu time, factor 1.00)
- Derangements (0:00:35 elapsed time, 0:00:35 cpu time, factor 1.00)
- List-Infinite (0:00:35 elapsed time, 0:00:36 cpu time, factor 1.03)
- Secret_Directed_Unwinding (0:00:35 elapsed time, 0:00:35 cpu time, factor 1.00)
- Cardinality_Continuum (0:00:35 elapsed time, 0:00:35 cpu time, factor 1.00)
- CSP_RefTK (0:00:35 elapsed time, 0:00:34 cpu time, factor 0.97)
- Splay_Tree (0:00:35 elapsed time, 0:00:34 cpu time, factor 0.97)
- Diophantine_Eqns_Lin_Hom (0:00:34 elapsed time, 0:00:32 cpu time, factor 0.94)
- Functional-Automata (0:00:34 elapsed time, 0:00:34 cpu time, factor 1.00)
- Relational_Divisibility (0:00:34 elapsed time, 0:00:32 cpu time, factor 0.94)
- Saturation_Framework_Extensions (0:00:34 elapsed time, 0:00:33 cpu time, factor 0.97)
- Rewriting_Z (0:00:34 elapsed time, 0:00:34 cpu time, factor 1.00)
- Package_logic (0:00:34 elapsed time, 0:00:34 cpu time, factor 1.00)
- Efficient-Mergesort (0:00:33 elapsed time, 0:00:33 cpu time, factor 1.00)
- Chomsky_Schuetzenberger (0:00:33 elapsed time, 0:00:33 cpu time, factor 1.00)
- Ramsey_Bounds (0:00:33 elapsed time, 0:00:33 cpu time, factor 1.00)
- Rensets (0:00:33 elapsed time, 0:00:30 cpu time, factor 0.91)
- Ramsey-Infinite (0:00:33 elapsed time, 0:00:33 cpu time, factor 1.00)
- AVL-Trees (0:00:33 elapsed time, 0:00:33 cpu time, factor 1.00)
- Kummer_Congruence (0:00:32 elapsed time, 0:00:32 cpu time, factor 1.00)
- Noninterference_Sequential_Composition (0:00:32 elapsed time, 0:00:30 cpu time, factor 0.94)
- Hybrid_Logic (0:00:32 elapsed time, 0:00:32 cpu time, factor 1.00)
- Matrix_Tensor (0:00:32 elapsed time, 0:00:32 cpu time, factor 1.00)
- Catoids (0:00:32 elapsed time, 0:00:32 cpu time, factor 1.00)
- Kuratowski_Closure_Complement (0:00:32 elapsed time, 0:00:31 cpu time, factor 0.97)
- Completeness (0:00:31 elapsed time, 0:00:31 cpu time, factor 1.00)
- Finite_Automata_HF (0:00:31 elapsed time, 0:00:30 cpu time, factor 0.97)
- Farey_Sequences (0:00:31 elapsed time, 0:00:31 cpu time, factor 1.00)
- Complete_Non_Orders (0:00:31 elapsed time, 0:00:31 cpu time, factor 1.00)
- Budan_Fourier (0:00:31 elapsed time, 0:00:31 cpu time, factor 1.00)
- Coproduct_Measure (0:00:30 elapsed time, 0:00:30 cpu time, factor 1.00)
- Priority_Search_Trees (0:00:30 elapsed time, 0:00:29 cpu time, factor 0.97)
- NormByEval (0:00:30 elapsed time, 0:00:30 cpu time, factor 1.00)
- Catalan_Numbers (0:00:30 elapsed time, 0:00:30 cpu time, factor 1.00)
- FocusStreamsCaseStudies (0:00:30 elapsed time, 0:00:30 cpu time, factor 1.00)
- Path_Automation (0:00:30 elapsed time, 0:00:31 cpu time, factor 1.03)
- SCC_Bloemen_Sequential (0:00:30 elapsed time, 0:00:30 cpu time, factor 1.00)
- ADS_Functor (0:00:30 elapsed time, 0:00:30 cpu time, factor 1.00)
- Lambert_W (0:00:29 elapsed time, 0:00:29 cpu time, factor 1.00)
- Localization_Ring (0:00:29 elapsed time, 0:00:27 cpu time, factor 0.93)
- Relation_Algebra (0:00:29 elapsed time, 0:00:29 cpu time, factor 1.00)
- InformationFlowSlicing_Inter (0:00:29 elapsed time, 0:00:30 cpu time, factor 1.03)
- Finite-Map-Extras (0:00:29 elapsed time, 0:00:25 cpu time, factor 0.86)
- OpSets (0:00:29 elapsed time, 0:00:29 cpu time, factor 1.00)
- Fermat3_4 (0:00:28 elapsed time, 0:00:28 cpu time, factor 1.00)
- Dedekind_Sums (0:00:28 elapsed time, 0:00:28 cpu time, factor 1.00)
- Finitely_Generated_Abelian_Groups (0:00:28 elapsed time, 0:00:28 cpu time, factor 1.00)
- BNF_CC (0:00:28 elapsed time, 0:00:29 cpu time, factor 1.04)
- Parikh (0:00:28 elapsed time, 0:00:28 cpu time, factor 1.00)
- Residuated_Lattices (0:00:28 elapsed time, 0:00:28 cpu time, factor 1.00)
- Stream_Fusion_Code (0:00:28 elapsed time, 0:00:28 cpu time, factor 1.00)
- VerifyThis2019 (0:00:28 elapsed time, 0:00:21 cpu time, factor 0.75)
- Hahn_Jordan_Decomposition (0:00:28 elapsed time, 0:00:28 cpu time, factor 1.00)
- Optimal_BST (0:00:28 elapsed time, 0:00:28 cpu time, factor 1.00)
- Lambert_Series (0:00:28 elapsed time, 0:00:28 cpu time, factor 1.00)
- DynamicArchitectures (0:00:28 elapsed time, 0:00:28 cpu time, factor 1.00)
- Generalized_Cauchy_Davenport (0:00:28 elapsed time, 0:00:28 cpu time, factor 1.00)
- Minsky_Machines (0:00:27 elapsed time, 0:00:28 cpu time, factor 1.04)
- GraphMarkingIBP (0:00:27 elapsed time, 0:00:27 cpu time, factor 1.00)
- Coinductive_Languages (0:00:27 elapsed time, 0:00:27 cpu time, factor 1.00)
- Polynomial_Interpolation (0:00:27 elapsed time, 0:00:27 cpu time, factor 1.00)
- Swap_Distance (0:00:27 elapsed time, 0:00:27 cpu time, factor 1.00)
- Pushdown_Automata (0:00:27 elapsed time, 0:00:27 cpu time, factor 1.00)
- Isabelle_hoops (0:00:26 elapsed time, 0:00:26 cpu time, factor 1.00)
- Pre_Star_CFG (0:00:26 elapsed time, 0:00:26 cpu time, factor 1.00)
- Pratt_Certificate (0:00:26 elapsed time, 0:00:26 cpu time, factor 1.00)
- Octonions (0:00:26 elapsed time, 0:00:26 cpu time, factor 1.00)
- SenSocialChoice (0:00:26 elapsed time, 0:00:26 cpu time, factor 1.00)
- Interpolation_Polynomials_HOL_Algebra (0:00:26 elapsed time, 0:00:26 cpu time, factor 1.00)
- Sumcheck_Protocol (0:00:26 elapsed time, 0:00:26 cpu time, factor 1.00)
- Bounded_Deducibility_Security (0:00:26 elapsed time, 0:00:26 cpu time, factor 1.00)
- Restriction_Spaces-Ultrametric (0:00:26 elapsed time, 0:00:26 cpu time, factor 1.00)
- More_LazyLists (0:00:26 elapsed time, 0:00:26 cpu time, factor 1.00)
- Euler_MacLaurin (0:00:26 elapsed time, 0:00:26 cpu time, factor 1.00)
- Cubic_Quartic_Equations (0:00:26 elapsed time, 0:00:26 cpu time, factor 1.00)
- Binomial-Heaps (0:00:26 elapsed time, 0:00:26 cpu time, factor 1.00)
- Weight_Balanced_Trees (0:00:25 elapsed time, 0:00:25 cpu time, factor 1.00)
- Name_Carrying_Type_Inference (0:00:25 elapsed time, 0:00:26 cpu time, factor 1.04)
- Two_Generated_Word_Monoids_Intersection (0:00:25 elapsed time, 0:00:25 cpu time, factor 1.00)
- CISC-Kernel (0:00:25 elapsed time, 0:00:25 cpu time, factor 1.00)
- Elimination_Of_Repeated_Factors (0:00:25 elapsed time, 0:00:24 cpu time, factor 0.96)
- Sliding_Window_Algorithm (0:00:25 elapsed time, 0:00:25 cpu time, factor 1.00)
- CCS (0:00:25 elapsed time, 0:00:25 cpu time, factor 1.00)
- Hales_Jewett (0:00:25 elapsed time, 0:00:25 cpu time, factor 1.00)
- Go_Test_Quick (0:00:25 elapsed time, 0:00:25 cpu time, factor 1.00)
- Perfect_Fields (0:00:25 elapsed time, 0:00:24 cpu time, factor 0.96)
- KD_Tree (0:00:24 elapsed time, 0:00:24 cpu time, factor 1.00)
- Binary_Code_Imprimitive (0:00:24 elapsed time, 0:00:24 cpu time, factor 1.00)
- Median_Of_Medians_Selection (0:00:24 elapsed time, 0:00:24 cpu time, factor 1.00)
- Formal_Puiseux_Series (0:00:24 elapsed time, 0:00:25 cpu time, factor 1.04)
- Efficient_Weighted_Path_Order (0:00:24 elapsed time, 0:00:24 cpu time, factor 1.00)
- CAVA_Base (0:00:24 elapsed time, 0:00:24 cpu time, factor 1.00)
- Combinatorial_Q_Analogues (0:00:24 elapsed time, 0:00:24 cpu time, factor 1.00)
- IO_Language_Conformance (0:00:24 elapsed time, 0:00:24 cpu time, factor 1.00)
- Euler_Polyhedron_Formula (0:00:24 elapsed time, 0:00:24 cpu time, factor 1.00)
- Random_BSTs (0:00:23 elapsed time, 0:00:23 cpu time, factor 1.00)
- IMAP-CRDT (0:00:23 elapsed time, 0:00:23 cpu time, factor 1.00)
- Category2 (0:00:23 elapsed time, 0:00:24 cpu time, factor 1.04)
- Types_Tableaus_and_Goedels_God (0:00:23 elapsed time, 0:00:12 cpu time, factor 0.52)
- HereditarilyFinite (0:00:23 elapsed time, 0:00:23 cpu time, factor 1.00)
- Neumann_Morgenstern_Utility (0:00:23 elapsed time, 0:00:23 cpu time, factor 1.00)
- TLA (0:00:23 elapsed time, 0:00:23 cpu time, factor 1.00)
- IMP2_Binary_Heap (0:00:23 elapsed time, 0:00:22 cpu time, factor 0.96)
- FLP (0:00:23 elapsed time, 0:00:23 cpu time, factor 1.00)
- Routing (0:00:22 elapsed time, 0:00:22 cpu time, factor 1.00)
- Equivalence_Relation_Enumeration (0:00:22 elapsed time, 0:00:22 cpu time, factor 1.00)
- Euler_Partition (0:00:22 elapsed time, 0:00:22 cpu time, factor 1.00)
- Knuth_Bendix_Order (0:00:22 elapsed time, 0:00:22 cpu time, factor 1.00)
- Pi_Irrational (0:00:22 elapsed time, 0:00:22 cpu time, factor 1.00)
- FunWithTilings (0:00:22 elapsed time, 0:00:21 cpu time, factor 0.95)
- BNF_Operations (0:00:22 elapsed time, 0:00:22 cpu time, factor 1.00)
- ABY3_Protocols (0:00:22 elapsed time, 0:00:22 cpu time, factor 1.00)
- Skip_Lists (0:00:22 elapsed time, 0:00:22 cpu time, factor 1.00)
- Polylog (0:00:22 elapsed time, 0:00:22 cpu time, factor 1.00)
- Card_Partitions (0:00:21 elapsed time, 0:00:21 cpu time, factor 1.00)
- Abstract_Completeness (0:00:21 elapsed time, 0:00:21 cpu time, factor 1.00)
- Rank_Nullity_Theorem (0:00:21 elapsed time, 0:00:21 cpu time, factor 1.00)
- Mission_Time_LTL (0:00:20 elapsed time, 0:00:20 cpu time, factor 1.00)
- Two_Way_DFA_HF (0:00:20 elapsed time, 0:00:18 cpu time, factor 0.90)
- Combinatorics_Words_Lyndon (0:00:20 elapsed time, 0:00:20 cpu time, factor 1.00)
- Error_Function (0:00:20 elapsed time, 0:00:20 cpu time, factor 1.00)
- Unconstrained_Optimization (0:00:20 elapsed time, 0:00:20 cpu time, factor 1.00)
- GewirthPGCProof (0:00:20 elapsed time, 0:00:13 cpu time, factor 0.65)
- LTL3_Semantics (0:00:19 elapsed time, 0:00:19 cpu time, factor 1.00)
- Laplace_Transform (0:00:19 elapsed time, 0:00:19 cpu time, factor 1.00)
- Randomised_BSTs (0:00:19 elapsed time, 0:00:19 cpu time, factor 1.00)
- FOL_Harrison (0:00:19 elapsed time, 0:00:19 cpu time, factor 1.00)
- Lowe_Ontological_Argument (0:00:19 elapsed time, 0:00:08 cpu time, factor 0.42)
- Recursion-Theory-I (0:00:19 elapsed time, 0:00:20 cpu time, factor 1.05)
- Finger-Trees (0:00:19 elapsed time, 0:00:19 cpu time, factor 1.00)
- Sqrt_Babylonian (0:00:19 elapsed time, 0:00:19 cpu time, factor 1.00)
- Jordan_Hoelder (0:00:19 elapsed time, 0:00:19 cpu time, factor 1.00)
- Ordinal (0:00:18 elapsed time, 0:00:18 cpu time, factor 1.00)
- FOL_Seq_Calc3 (0:00:18 elapsed time, 0:00:18 cpu time, factor 1.00)
- Strong_Security (0:00:18 elapsed time, 0:00:18 cpu time, factor 1.00)
- CondNormReasHOL (0:00:18 elapsed time, 0:00:08 cpu time, factor 0.44)
- Inductive_Confidentiality (0:00:18 elapsed time, 0:00:18 cpu time, factor 1.00)
- Ribbon_Proofs (0:00:18 elapsed time, 0:00:18 cpu time, factor 1.00)
- Card_Multisets (0:00:17 elapsed time, 0:00:17 cpu time, factor 1.00)
- Digit_Expansions (0:00:17 elapsed time, 0:00:17 cpu time, factor 1.00)
- Transitive-Closure-II (0:00:17 elapsed time, 0:00:17 cpu time, factor 1.00)
- Transformer_Semantics (0:00:17 elapsed time, 0:00:17 cpu time, factor 1.00)
- Noninterference_Ipurge_Unwinding (0:00:17 elapsed time, 0:00:15 cpu time, factor 0.88)
- Separata (0:00:17 elapsed time, 0:00:17 cpu time, factor 1.00)
- Boolean_Expression_Checkers (0:00:17 elapsed time, 0:00:17 cpu time, factor 1.00)
- Combinable_Wands (0:00:17 elapsed time, 0:00:17 cpu time, factor 1.00)
- BurrowsWheeler (0:00:17 elapsed time, 0:00:17 cpu time, factor 1.00)
- Countable_Sums_and_Discrete_Distributions (0:00:17 elapsed time, 0:00:17 cpu time, factor 1.00)
- PropResPI (0:00:17 elapsed time, 0:00:17 cpu time, factor 1.00)
- Trie (0:00:16 elapsed time, 0:00:16 cpu time, factor 1.00)
- Abstract_Soundness (0:00:16 elapsed time, 0:00:16 cpu time, factor 1.00)
- Noninterference_Generic_Unwinding (0:00:16 elapsed time, 0:00:15 cpu time, factor 0.94)
- HyperCTL (0:00:16 elapsed time, 0:00:16 cpu time, factor 1.00)
- Random_Graph_Subgraph_Threshold (0:00:16 elapsed time, 0:00:16 cpu time, factor 1.00)
- Noninterference_Concurrent_Composition (0:00:16 elapsed time, 0:00:16 cpu time, factor 1.00)
- Stone_Cech (0:00:15 elapsed time, 0:00:15 cpu time, factor 1.00)
- First_Welfare_Theorem (0:00:15 elapsed time, 0:00:16 cpu time, factor 1.07)
- Delta_System_Lemma (0:00:15 elapsed time, 0:00:15 cpu time, factor 1.00)
- StrictOmegaCategories (0:00:15 elapsed time, 0:00:15 cpu time, factor 1.00)
- Quaternions (0:00:15 elapsed time, 0:00:15 cpu time, factor 1.00)
- Bell_Numbers_Spivey (0:00:15 elapsed time, 0:00:15 cpu time, factor 1.00)
- Elementary_Ultrametric_Spaces (0:00:15 elapsed time, 0:00:15 cpu time, factor 1.00)
- FeatherweightJava (0:00:15 elapsed time, 0:00:15 cpu time, factor 1.00)
- JiveDataStoreModel (0:00:15 elapsed time, 0:00:15 cpu time, factor 1.00)
- Landau_Symbols (0:00:15 elapsed time, 0:00:15 cpu time, factor 1.00)
- Eudoxus_Reals (0:00:15 elapsed time, 0:00:15 cpu time, factor 1.00)
- Abstract-Hoare-Logics (0:00:15 elapsed time, 0:00:15 cpu time, factor 1.00)
- Serializable (0:00:15 elapsed time, 0:00:15 cpu time, factor 1.00)
- Belief_Revision (0:00:15 elapsed time, 0:00:15 cpu time, factor 1.00)
- FOL_Axiomatic (0:00:14 elapsed time, 0:00:14 cpu time, factor 1.00)
- WorkerWrapper (0:00:14 elapsed time, 0:00:13 cpu time, factor 0.93)
- Restriction_Spaces-HOLCF (0:00:14 elapsed time, 0:00:14 cpu time, factor 1.00)
- Van_der_Waerden (0:00:14 elapsed time, 0:00:14 cpu time, factor 1.00)
- Dilworth (0:00:14 elapsed time, 0:00:11 cpu time, factor 0.79)
- Doob_Convergence (0:00:14 elapsed time, 0:00:14 cpu time, factor 1.00)
- MuchAdoAboutTwo (0:00:14 elapsed time, 0:00:15 cpu time, factor 1.07)
- Sum_Of_Squares_Count (0:00:14 elapsed time, 0:00:14 cpu time, factor 1.00)
- Impossible_Geometry (0:00:13 elapsed time, 0:00:10 cpu time, factor 0.77)
- Case_Labeling (0:00:13 elapsed time, 0:00:12 cpu time, factor 0.92)
- MiniML (0:00:13 elapsed time, 0:00:12 cpu time, factor 0.92)
- Nullstellensatz (0:00:13 elapsed time, 0:00:13 cpu time, factor 1.00)
- Parallel_Shear_Sort (0:00:13 elapsed time, 0:00:13 cpu time, factor 1.00)
- Selection_Heap_Sort (0:00:13 elapsed time, 0:00:12 cpu time, factor 0.92)
- Restriction_Spaces (0:00:13 elapsed time, 0:00:13 cpu time, factor 1.00)
- Huffman (0:00:13 elapsed time, 0:00:13 cpu time, factor 1.00)
- Lower_Semicontinuous (0:00:13 elapsed time, 0:00:13 cpu time, factor 1.00)
- InformationFlowSlicing (0:00:13 elapsed time, 0:00:13 cpu time, factor 1.00)
- Noninterference_Inductive_Unwinding (0:00:13 elapsed time, 0:00:13 cpu time, factor 1.00)
- Epistemic_Logic (0:00:13 elapsed time, 0:00:13 cpu time, factor 1.00)
- Noninterference_CSP (0:00:13 elapsed time, 0:00:13 cpu time, factor 1.00)
- FOL_Seq_Calc1 (0:00:13 elapsed time, 0:00:11 cpu time, factor 0.85)
- Birkhoff_Finite_Distributive_Lattices (0:00:13 elapsed time, 0:00:13 cpu time, factor 1.00)
- Attack_Trees (0:00:12 elapsed time, 0:00:12 cpu time, factor 1.00)
- Comparison_Sort_Lower_Bound (0:00:12 elapsed time, 0:00:12 cpu time, factor 1.00)
- Szpilrajn (0:00:12 elapsed time, 0:00:11 cpu time, factor 0.92)
- Median_Method (0:00:12 elapsed time, 0:00:12 cpu time, factor 1.00)
- Shallow_Expressions (0:00:12 elapsed time, 0:00:12 cpu time, factor 1.00)
- Minimal_SSA (0:00:12 elapsed time, 0:00:12 cpu time, factor 1.00)
- Arbitrage_Probability_Correspondence (0:00:12 elapsed time, 0:00:12 cpu time, factor 1.00)
- Menger (0:00:12 elapsed time, 0:00:12 cpu time, factor 1.00)
- Youngs_Inequality (0:00:12 elapsed time, 0:00:12 cpu time, factor 1.00)
- Cube_Dissection (0:00:12 elapsed time, 0:00:11 cpu time, factor 0.92)
- CryptoBasedCompositionalProperties (0:00:12 elapsed time, 0:00:12 cpu time, factor 1.00)
- Real_Power (0:00:12 elapsed time, 0:00:12 cpu time, factor 1.00)
- Tycon (0:00:12 elapsed time, 0:00:12 cpu time, factor 1.00)
- Integration (0:00:11 elapsed time, 0:00:11 cpu time, factor 1.00)
- Topology (0:00:11 elapsed time, 0:00:11 cpu time, factor 1.00)
- Lam-ml-Normalization (0:00:11 elapsed time, 0:00:11 cpu time, factor 1.00)
- RefinementReactive (0:00:11 elapsed time, 0:00:11 cpu time, factor 1.00)
- PAL (0:00:11 elapsed time, 0:00:10 cpu time, factor 0.91)
- SumSquares (0:00:11 elapsed time, 0:00:11 cpu time, factor 1.00)
- IMO2019 (0:00:11 elapsed time, 0:00:11 cpu time, factor 1.00)
- Szemeredi_Regularity (0:00:11 elapsed time, 0:00:10 cpu time, factor 0.91)
- ArrowImpossibilityGS (0:00:11 elapsed time, 0:00:11 cpu time, factor 1.00)
- Dynamic_Tables (0:00:11 elapsed time, 0:00:11 cpu time, factor 1.00)
- Dedekind_Real (0:00:11 elapsed time, 0:00:11 cpu time, factor 1.00)
- Substitutions_Lambda_Free (0:00:11 elapsed time, 0:00:11 cpu time, factor 1.00)
- Risk_Free_Lending (0:00:11 elapsed time, 0:00:11 cpu time, factor 1.00)
- MonoBoolTranAlgebra (0:00:11 elapsed time, 0:00:11 cpu time, factor 1.00)
- Implicational_Logic (0:00:11 elapsed time, 0:00:10 cpu time, factor 0.91)
- Latin_Square (0:00:11 elapsed time, 0:00:11 cpu time, factor 1.00)
- Verified-Prover (0:00:11 elapsed time, 0:00:11 cpu time, factor 1.00)
- Ceva (0:00:11 elapsed time, 0:00:11 cpu time, factor 1.00)
- HotelKeyCards (0:00:11 elapsed time, 0:00:09 cpu time, factor 0.82)
- Karatsuba_Sqrt (0:00:10 elapsed time, 0:00:10 cpu time, factor 1.00)
- Pop_Refinement (0:00:10 elapsed time, 0:00:10 cpu time, factor 1.00)
- Boolos_Curious_Inference_Automated (0:00:10 elapsed time, 0:00:09 cpu time, factor 0.90)
- Category (0:00:10 elapsed time, 0:00:10 cpu time, factor 1.00)
- FileRefinement (0:00:10 elapsed time, 0:00:10 cpu time, factor 1.00)
- Conditional_Transfer_Rule (0:00:10 elapsed time, 0:00:09 cpu time, factor 0.90)
- No_Free_Lunch_ML (0:00:10 elapsed time, 0:00:10 cpu time, factor 1.00)
- Concurrent_Ref_Alg (0:00:10 elapsed time, 0:00:10 cpu time, factor 1.00)
- Rogers_Ramanujan (0:00:10 elapsed time, 0:00:10 cpu time, factor 1.00)
- Buffons_Needle (0:00:10 elapsed time, 0:00:10 cpu time, factor 1.00)
- Banach_Steinhaus (0:00:10 elapsed time, 0:00:09 cpu time, factor 0.90)
- VolpanoSmith (0:00:10 elapsed time, 0:00:10 cpu time, factor 1.00)
- Zeckendorf (0:00:10 elapsed time, 0:00:09 cpu time, factor 0.90)
- Orbit_Stabiliser (0:00:10 elapsed time, 0:00:10 cpu time, factor 1.00)
- Robbins-Conjecture (0:00:10 elapsed time, 0:00:10 cpu time, factor 1.00)
- LambdaMu (0:00:10 elapsed time, 0:00:10 cpu time, factor 1.00)
- LP_Duality (0:00:09 elapsed time, 0:00:08 cpu time, factor 0.89)
- Sunflowers (0:00:09 elapsed time, 0:00:09 cpu time, factor 1.00)
- Tree_Decomposition (0:00:09 elapsed time, 0:00:09 cpu time, factor 1.00)
- Fixed_Length_Vector (0:00:09 elapsed time, 0:00:08 cpu time, factor 0.89)
- Old_Datatype_Show (0:00:09 elapsed time, 0:00:08 cpu time, factor 0.89)
- GPU_Kernel_PL (0:00:09 elapsed time, 0:00:08 cpu time, factor 0.89)
- Stellar_Quorums (0:00:09 elapsed time, 0:00:09 cpu time, factor 1.00)
- Binomial-Queues (0:00:09 elapsed time, 0:00:09 cpu time, factor 1.00)
- VeriComp (0:00:09 elapsed time, 0:00:09 cpu time, factor 1.00)
- Cauchy (0:00:09 elapsed time, 0:00:09 cpu time, factor 1.00)
- Public_Announcement_Logic (0:00:09 elapsed time, 0:00:09 cpu time, factor 1.00)
- Falling_Factorial_Sum (0:00:09 elapsed time, 0:00:09 cpu time, factor 1.00)
- Relational-Incorrectness-Logic (0:00:08 elapsed time, 0:00:08 cpu time, factor 1.00)
- Secondary_Sylow (0:00:08 elapsed time, 0:00:08 cpu time, factor 1.00)
- Source_Coding_Theorem (0:00:08 elapsed time, 0:00:08 cpu time, factor 1.00)
- Wooley_Elementary_Discrete_Inequality (0:00:08 elapsed time, 0:00:08 cpu time, factor 1.00)
- Imperative_Insertion_Sort (0:00:08 elapsed time, 0:00:08 cpu time, factor 1.00)
- Cayley_Hamilton (0:00:08 elapsed time, 0:00:08 cpu time, factor 1.00)
- BinarySearchTree (0:00:08 elapsed time, 0:00:08 cpu time, factor 1.00)
- Transitive_Union_Closed_Families (0:00:08 elapsed time, 0:00:08 cpu time, factor 1.00)
- Matroids (0:00:08 elapsed time, 0:00:08 cpu time, factor 1.00)
- GaleStewart_Games (0:00:08 elapsed time, 0:00:08 cpu time, factor 1.00)
- Stream-Fusion (0:00:08 elapsed time, 0:00:08 cpu time, factor 1.00)
- FinFun (0:00:08 elapsed time, 0:00:08 cpu time, factor 1.00)
- Certification_Monads (0:00:08 elapsed time, 0:00:08 cpu time, factor 1.00)
- Tail_Recursive_Functions (0:00:08 elapsed time, 0:00:08 cpu time, factor 1.00)
- TortoiseHare (0:00:08 elapsed time, 0:00:07 cpu time, factor 0.88)
- Chord_Segments (0:00:07 elapsed time, 0:00:07 cpu time, factor 1.00)
- Discrete_Summation (0:00:07 elapsed time, 0:00:07 cpu time, factor 1.00)
- Gray_Codes (0:00:07 elapsed time, 0:00:07 cpu time, factor 1.00)
- Mereology (0:00:07 elapsed time, 0:00:06 cpu time, factor 0.86)
- Card_Number_Partitions (0:00:07 elapsed time, 0:00:07 cpu time, factor 1.00)
- Arith_Prog_Rel_Primes (0:00:07 elapsed time, 0:00:07 cpu time, factor 1.00)
- ClockSynchInst (0:00:07 elapsed time, 0:00:06 cpu time, factor 0.86)
- CYK (0:00:07 elapsed time, 0:00:07 cpu time, factor 1.00)
- Pairing_Heap (0:00:07 elapsed time, 0:00:07 cpu time, factor 1.00)
- Prefix_Free_Code_Combinators (0:00:07 elapsed time, 0:00:07 cpu time, factor 1.00)
- Constructor_Funs (0:00:07 elapsed time, 0:00:05 cpu time, factor 0.71)
- Abel_Limit_Theorem (0:00:07 elapsed time, 0:00:07 cpu time, factor 1.00)
- GenClock (0:00:06 elapsed time, 0:00:06 cpu time, factor 1.00)
- Fresh_Identifiers (0:00:06 elapsed time, 0:00:06 cpu time, factor 1.00)
- Go (0:00:06 elapsed time, 0:00:05 cpu time, factor 0.83)
- DataRefinementIBP (0:00:06 elapsed time, 0:00:05 cpu time, factor 0.83)
- DigitsInBase (0:00:06 elapsed time, 0:00:05 cpu time, factor 0.83)
- Stewart_Apollonius (0:00:06 elapsed time, 0:00:06 cpu time, factor 1.00)
- LatticeProperties (0:00:06 elapsed time, 0:00:06 cpu time, factor 1.00)
- Partial_Function_MR (0:00:06 elapsed time, 0:00:06 cpu time, factor 1.00)
- ShortestPath (0:00:06 elapsed time, 0:00:05 cpu time, factor 0.83)
- Irrationals_From_THEBOOK (0:00:06 elapsed time, 0:00:06 cpu time, factor 1.00)
- Goodstein_Lambda (0:00:06 elapsed time, 0:00:06 cpu time, factor 1.00)
- Uncertainty_Principle (0:00:06 elapsed time, 0:00:06 cpu time, factor 1.00)
- Cotangent_PFD_Formula (0:00:06 elapsed time, 0:00:06 cpu time, factor 1.00)
- Stalnaker_Logic (0:00:06 elapsed time, 0:00:04 cpu time, factor 0.67)
- Fisher_Yates (0:00:06 elapsed time, 0:00:05 cpu time, factor 0.83)
- Transitive-Closure (0:00:06 elapsed time, 0:00:06 cpu time, factor 1.00)
- Descartes_Sign_Rule (0:00:06 elapsed time, 0:00:05 cpu time, factor 0.83)
- Stuttering_Equivalence (0:00:06 elapsed time, 0:00:06 cpu time, factor 1.00)
- Triangle (0:00:06 elapsed time, 0:00:06 cpu time, factor 1.00)
- Nano_JSON (0:00:05 elapsed time, 0:00:05 cpu time, factor 1.00)
- List-Index (0:00:05 elapsed time, 0:00:05 cpu time, factor 1.00)
- Maximum_Segment_Sum (0:00:05 elapsed time, 0:00:05 cpu time, factor 1.00)
- Cartan_FP (0:00:05 elapsed time, 0:00:05 cpu time, factor 1.00)
- Mason_Stothers (0:00:05 elapsed time, 0:00:05 cpu time, factor 1.00)
- Open_Induction (0:00:05 elapsed time, 0:00:05 cpu time, factor 1.00)
- List_Interleaving (0:00:05 elapsed time, 0:00:05 cpu time, factor 1.00)
- Sophomores_Dream (0:00:05 elapsed time, 0:00:04 cpu time, factor 0.80)
- Gauss-Jordan-Elim-Fun (0:00:05 elapsed time, 0:00:04 cpu time, factor 0.80)
- Compiling-Exceptions-Correctly (0:00:05 elapsed time, 0:00:04 cpu time, factor 0.80)
- Combinatorics_Words_Graph_Lemma (0:00:05 elapsed time, 0:00:05 cpu time, factor 1.00)
- DPT-SAT-Solver (0:00:05 elapsed time, 0:00:05 cpu time, factor 1.00)
- GoedelGod (0:00:05 elapsed time, 0:00:04 cpu time, factor 0.80)
- Liouville_Numbers (0:00:04 elapsed time, 0:00:04 cpu time, factor 1.00)
- Lazy-Lists-II (0:00:04 elapsed time, 0:00:04 cpu time, factor 1.00)
- Lucas_Theorem (0:00:04 elapsed time, 0:00:04 cpu time, factor 1.00)
- Perfect-Number-Thm (0:00:04 elapsed time, 0:00:04 cpu time, factor 1.00)
- Lifting_the_Exponent (0:00:04 elapsed time, 0:00:04 cpu time, factor 1.00)
- Lazy_Case (0:00:04 elapsed time, 0:00:04 cpu time, factor 1.00)
- C2KA_DistributedSystems (0:00:04 elapsed time, 0:00:04 cpu time, factor 1.00)
- Ptolemys_Theorem (0:00:04 elapsed time, 0:00:04 cpu time, factor 1.00)
- MHComputation (0:00:04 elapsed time, 0:00:04 cpu time, factor 1.00)
- Laws_of_Large_Numbers (0:00:04 elapsed time, 0:00:04 cpu time, factor 1.00)
- Involutions2Squares (0:00:04 elapsed time, 0:00:04 cpu time, factor 1.00)
- Wlog (0:00:04 elapsed time, 0:00:03 cpu time, factor 0.75)
- Marriage (0:00:04 elapsed time, 0:00:04 cpu time, factor 1.00)
- Minkowskis_Theorem (0:00:04 elapsed time, 0:00:04 cpu time, factor 1.00)
- Hello_World (0:00:04 elapsed time)
- Lifting_Definition_Option (0:00:03 elapsed time, 0:00:03 cpu time, factor 1.00)
- Sauer_Shelah_Lemma (0:00:03 elapsed time, 0:00:03 cpu time, factor 1.00)
- CofGroups (0:00:03 elapsed time, 0:00:03 cpu time, factor 1.00)
- Dyck_Language (0:00:03 elapsed time)
- AnselmGod (0:00:03 elapsed time, 0:00:03 cpu time, factor 1.00)
- Lehmer (0:00:03 elapsed time, 0:00:03 cpu time, factor 1.00)
- Max-Card-Matching (0:00:03 elapsed time, 0:00:03 cpu time, factor 1.00)
- FFT (0:00:03 elapsed time, 0:00:03 cpu time, factor 1.00)
- Ackermanns_not_PR (0:00:03 elapsed time, 0:00:03 cpu time, factor 1.00)
- Skew_Heap (0:00:03 elapsed time, 0:00:03 cpu time, factor 1.00)
- DCR-ExecutionEquivalence (0:00:03 elapsed time, 0:00:03 cpu time, factor 1.00)
- Surprise_Paradox (0:00:03 elapsed time, 0:00:03 cpu time, factor 1.00)
- Monad_Normalisation (0:00:03 elapsed time, 0:00:03 cpu time, factor 1.00)
- Free-Boolean-Algebra (0:00:02 elapsed time)
- Blue_Eyes (0:00:02 elapsed time)
- Weighted_Arithmetic_Geometric_Mean (0:00:02 elapsed time)
- Card_Equiv_Relations (0:00:02 elapsed time)
- FunWithFunctions (0:00:02 elapsed time)
- General-Triangle (0:00:02 elapsed time)
- Intro_Dest_Elim (0:00:02 elapsed time)
- Roy_Floyd_Warshall (0:00:02 elapsed time)
- RIPEMD-160-SPARK (0:00:02 elapsed time)
- Depth-First-Search (0:00:02 elapsed time)
- List_Power (0:00:02 elapsed time)
- Conditional_Simplification (0:00:02 elapsed time)
- Aristotles_Assertoric_Syllogistic (0:00:01 elapsed time)
- Recursion-Addition (0:00:01 elapsed time)
- Example-Submission (0:00:01 elapsed time)
- Boolos_Curious_Inference (0:00:01 elapsed time)
- Bondy (0:00:01 elapsed time)
- SpecCheck (0:00:01 elapsed time)
- Ordinals_and_Cardinals (0:00:01 elapsed time)
- Proof_Terms_Term_Rewriting (0:00:00 elapsed time)
- Superposition_Calculus (0:00:00 elapsed time)
- Diophantine_Universal_Pairs (0:00:00 elapsed time)
- Zip_Benchmarks (0:00:00 elapsed time)
- Munta_Base (0:00:00 elapsed time)
- Set_Reconciliation (0:00:00 elapsed time)
- PAC_Checker (0:00:00 elapsed time)
- Hidden_Number_Problem (0:00:00 elapsed time)
AutoCorres2_Test
- data:
- CSV
- timing:
- 0:53:49 elapsed time, 0:53:24 cpu time, factor 0.99
- ML timing:
- 3209.793s elapsed time, 3184.992s cpu time, 146.402s GC time, factor 0.99
- ML code maximum:
- 11.2 MiB
- ML code average:
- 7 MiB
- ML stack maximum:
- 6.5 MiB
- ML stack average:
- 6.3 MiB
- ML heap maximum:
- 11 GiB
- ML heap average:
- 5.8 GiB
- Isabelle version:
- 4b7fdf77af07
- AFP version:
- 2f539b3aa0b8




Crypto_Standards
- data:
- CSV
- timing:
- 0:52:35 elapsed time, 0:52:35 cpu time, factor 1.00
- ML timing:
- 3151.396s elapsed time, 3151.415s cpu time, 177.832s GC time, factor 1.00
- ML code maximum:
- 25.3 MiB
- ML code average:
- 22.1 MiB
- ML stack maximum:
- 65 MiB
- ML stack average:
- 46.6 MiB
- ML heap maximum:
- 4.3 GiB
- ML heap average:
- 2.5 GiB
- Isabelle version:
- 4b7fdf77af07
- AFP version:
- 2f539b3aa0b8




HOL-ODE-Numerics
- data:
- CSV
- timing:
- 0:41:20 elapsed time, 0:41:14 cpu time, factor 1.00
- ML timing:
- 2394.718s elapsed time, 2389.172s cpu time, 139.923s GC time, factor 1.00
- ML code maximum:
- 8.2 MiB
- ML code average:
- 4.4 MiB
- ML stack maximum:
- 33 MiB
- ML stack average:
- 14 MiB
- ML heap maximum:
- 9.2 GiB
- ML heap average:
- 6.9 GiB
- ML heap stored:
- 206.8 MiB
- Isabelle version:
- 4b7fdf77af07
- AFP version:
- 2f539b3aa0b8




ResiduatedTransitionSystem2
- data:
- CSV
- timing:
- 0:40:24 elapsed time, 0:40:30 cpu time, factor 1.00
- ML timing:
- 2410.359s elapsed time, 2417.403s cpu time, 231.216s GC time, factor 1.00
- ML stack maximum:
- 17 MiB
- ML stack average:
- 17 MiB
- ML heap maximum:
- 15.6 GiB
- ML heap average:
- 8.5 GiB
- Isabelle version:
- 4b7fdf77af07
- AFP version:
- 2f539b3aa0b8




CoSMeDis
- data:
- CSV
- timing:
- 0:38:15 elapsed time, 0:38:15 cpu time, factor 1.00
- ML timing:
- 2292.131s elapsed time, 2292.192s cpu time, 51.825s GC time, factor 1.00
- ML stack maximum:
- 5 MiB
- ML stack average:
- 4.8 MiB
- ML heap maximum:
- 5.7 GiB
- ML heap average:
- 2.3 GiB
- Isabelle version:
- 4b7fdf77af07
- AFP version:
- 2f539b3aa0b8




IMP_With_Speculation
- data:
- CSV
- timing:
- 0:37:33 elapsed time, 0:35:23 cpu time, factor 0.94
- ML timing:
- 2249.914s elapsed time, 2120.179s cpu time, 45.618s GC time, factor 0.94
- ML stack maximum:
- 5 MiB
- ML stack average:
- 4.9 MiB
- ML heap maximum:
- 2.2 GiB
- ML heap average:
- 1.9 GiB
- Isabelle version:
- 4b7fdf77af07
- AFP version:
- 2f539b3aa0b8




CZH_Universal_Constructions
- data:
- CSV
- timing:
- 0:36:08 elapsed time, 0:36:09 cpu time, factor 1.00
- ML timing:
- 2163.945s elapsed time, 2165.752s cpu time, 166.768s GC time, factor 1.00
- ML stack maximum:
- 9 MiB
- ML stack average:
- 8.8 MiB
- ML heap maximum:
- 15.8 GiB
- ML heap average:
- 12 GiB
- Isabelle version:
- 4b7fdf77af07
- AFP version:
- 2f539b3aa0b8




Two_Hermitian_Results
- data:
- CSV
- timing:
- 0:34:45 elapsed time, 0:34:54 cpu time, factor 1.00
- ML timing:
- 2072.543s elapsed time, 2081.850s cpu time, 95.602s GC time, factor 1.00
- ML code maximum:
- 3.7 MiB
- ML code average:
- 3.1 MiB
- ML stack maximum:
- 17 MiB
- ML stack average:
- 13 MiB
- ML heap maximum:
- 9.6 GiB
- ML heap average:
- 5.4 GiB
- Isabelle version:
- 4b7fdf77af07
- AFP version:
- 2f539b3aa0b8




Modular_arithmetic_LLL_and_HNF_algorithms
- data:
- CSV
- timing:
- 0:30:43 elapsed time, 0:30:40 cpu time, factor 1.00
- ML timing:
- 1833.244s elapsed time, 1829.990s cpu time, 101.186s GC time, factor 1.00
- ML stack maximum:
- 33 MiB
- ML stack average:
- 20.3 MiB
- ML heap maximum:
- 11.9 GiB
- ML heap average:
- 7.2 GiB
- Isabelle version:
- 4b7fdf77af07
- AFP version:
- 2f539b3aa0b8




AutoCorres2
- data:
- CSV
- timing:
- 0:30:36 elapsed time, 0:30:27 cpu time, factor 1.00
- ML timing:
- 1826.413s elapsed time, 1817.491s cpu time, 95.209s GC time, factor 1.00
- ML code maximum:
- 20.6 MiB
- ML code average:
- 13.1 MiB
- ML stack maximum:
- 34.1 MiB
- ML stack average:
- 27.2 MiB
- ML heap maximum:
- 5.6 GiB
- ML heap average:
- 4.5 GiB
- Isabelle version:
- 4b7fdf77af07
- AFP version:
- 2f539b3aa0b8




MiniSail
- data:
- CSV
- timing:
- 0:29:44 elapsed time, 0:29:47 cpu time, factor 1.00
- ML timing:
- 1776.923s elapsed time, 1780.856s cpu time, 197.042s GC time, factor 1.00
- ML code maximum:
- 3.3 MiB
- ML code average:
- 3.3 MiB
- ML stack maximum:
- 9 MiB
- ML stack average:
- 8.2 MiB
- ML heap maximum:
- 15.7 GiB
- ML heap average:
- 9.8 GiB
- Isabelle version:
- 4b7fdf77af07
- AFP version:
- 2f539b3aa0b8




CoCon
- data:
- CSV
- timing:
- 0:28:55 elapsed time, 0:28:56 cpu time, factor 1.00
- ML timing:
- 1732.948s elapsed time, 1734.174s cpu time, 21.297s GC time, factor 1.00
- ML stack maximum:
- 3 MiB
- ML stack average:
- 3 MiB
- ML heap maximum:
- 1.8 GiB
- ML heap average:
- 1.5 GiB
- Isabelle version:
- 4b7fdf77af07
- AFP version:
- 2f539b3aa0b8




Frequency_Moments
- data:
- CSV
- timing:
- 0:28:08 elapsed time, 0:28:23 cpu time, factor 1.01
- ML timing:
- 1675.928s elapsed time, 1692.075s cpu time, 154.278s GC time, factor 1.01
- ML code maximum:
- 1.4 MiB
- ML code average:
- 1.2 MiB
- ML stack maximum:
- 17 MiB
- ML stack average:
- 13.4 MiB
- ML heap maximum:
- 15.5 GiB
- ML heap average:
- 9.9 GiB
- Isabelle version:
- 4b7fdf77af07
- AFP version:
- 2f539b3aa0b8




SC_DOM_Components
- data:
- CSV
- timing:
- 0:25:47 elapsed time, 0:25:41 cpu time, factor 1.00
- ML timing:
- 1541.731s elapsed time, 1536.097s cpu time, 41.763s GC time, factor 1.00
- ML stack maximum:
- 9 MiB
- ML stack average:
- 9 MiB
- ML heap maximum:
- 5.9 GiB
- ML heap average:
- 3.2 GiB
- Isabelle version:
- 4b7fdf77af07
- AFP version:
- 2f539b3aa0b8




Automated_Stateful_Protocol_Verification
- data:
- CSV
- timing:
- 0:19:59 elapsed time, 0:20:00 cpu time, factor 1.00
- ML timing:
- 1182.552s elapsed time, 1184.500s cpu time, 200.675s GC time, factor 1.00
- ML code maximum:
- 9.7 MiB
- ML code average:
- 3.4 MiB
- ML stack maximum:
- 33 MiB
- ML stack average:
- 29 MiB
- ML heap maximum:
- 15.7 GiB
- ML heap average:
- 9.9 GiB
- Isabelle version:
- 4b7fdf77af07
- AFP version:
- 2f539b3aa0b8




Shadow_SC_DOM
- data:
- CSV
- timing:
- 0:18:42 elapsed time, 0:18:36 cpu time, factor 0.99
- ML timing:
- 1028.624s elapsed time, 1022.736s cpu time, 49.234s GC time, factor 0.99
- ML code maximum:
- 15.1 MiB
- ML code average:
- 2.5 MiB
- ML stack maximum:
- 33 MiB
- ML stack average:
- 30.5 MiB
- ML heap maximum:
- 7.7 GiB
- ML heap average:
- 3.6 GiB
- ML heap stored:
- 28.3 MiB
- Isabelle version:
- 4b7fdf77af07
- AFP version:
- 2f539b3aa0b8




Expander_Graphs
- data:
- CSV
- timing:
- 0:18:22 elapsed time, 0:18:31 cpu time, factor 1.01
- ML timing:
- 1035.810s elapsed time, 1045.005s cpu time, 102.137s GC time, factor 1.01
- ML code maximum:
- 1.3 MiB
- ML code average:
- 1.1 MiB
- ML stack maximum:
- 17 MiB
- ML stack average:
- 11.9 MiB
- ML heap maximum:
- 8.1 GiB
- ML heap average:
- 6.2 GiB
- ML heap stored:
- 190.8 MiB
- Isabelle version:
- 4b7fdf77af07
- AFP version:
- 2f539b3aa0b8




CAVA_Setup
- data:
- CSV
- timing:
- 0:18:16 elapsed time, 0:18:06 cpu time, factor 0.99
- ML timing:
- 1029.247s elapsed time, 1019.272s cpu time, 55.461s GC time, factor 0.99
- ML stack maximum:
- 9 MiB
- ML stack average:
- 8.5 MiB
- ML heap maximum:
- 4.8 GiB
- ML heap average:
- 3.1 GiB
- ML heap stored:
- 215.4 MiB
- Isabelle version:
- 4b7fdf77af07
- AFP version:
- 2f539b3aa0b8




CZH_Elementary_Categories
- data:
- CSV
- timing:
- 0:17:52 elapsed time, 0:17:56 cpu time, factor 1.00
- ML timing:
- 1061.506s elapsed time, 1065.494s cpu time, 103.555s GC time, factor 1.00
- ML stack maximum:
- 9 MiB
- ML stack average:
- 8.3 MiB
- ML heap maximum:
- 10 GiB
- ML heap average:
- 7.7 GiB
- ML heap stored:
- 24.6 MiB
- Isabelle version:
- 4b7fdf77af07
- AFP version:
- 2f539b3aa0b8




Complex_Bounded_Operators
- data:
- CSV
- timing:
- 0:16:43 elapsed time, 0:16:43 cpu time, factor 1.00
- ML timing:
- 937.028s elapsed time, 936.578s cpu time, 63.033s GC time, factor 1.00
- ML code maximum:
- 8.3 MiB
- ML code average:
- 1.6 MiB
- ML stack maximum:
- 9 MiB
- ML stack average:
- 8 MiB
- ML heap maximum:
- 8.8 GiB
- ML heap average:
- 5.6 GiB
- ML heap stored:
- 171.8 MiB
- Isabelle version:
- 4b7fdf77af07
- AFP version:
- 2f539b3aa0b8




JinjaDCI
- data:
- CSV
- timing:
- 0:16:24 elapsed time, 0:16:25 cpu time, factor 1.00
- ML timing:
- 980.882s elapsed time, 982.198s cpu time, 16.174s GC time, factor 1.00
- ML stack maximum:
- 9 MiB
- ML stack average:
- 7.1 MiB
- ML heap maximum:
- 2.9 GiB
- ML heap average:
- 2.6 GiB
- Isabelle version:
- 4b7fdf77af07
- AFP version:
- 2f539b3aa0b8




Solidity
- data:
- CSV
- timing:
- 0:15:40 elapsed time, 0:15:35 cpu time, factor 0.99
- ML timing:
- 936.731s elapsed time, 931.631s cpu time, 23.429s GC time, factor 0.99
- ML code maximum:
- 9.1 MiB
- ML code average:
- 3.6 MiB
- ML stack maximum:
- 9 MiB
- ML stack average:
- 8.8 MiB
- ML heap maximum:
- 2.6 GiB
- ML heap average:
- 1.8 GiB
- Isabelle version:
- 4b7fdf77af07
- AFP version:
- 2f539b3aa0b8




CVM_Distinct_Elements
- data:
- CSV
- timing:
- 0:15:31 elapsed time, 0:15:43 cpu time, factor 1.01
- ML timing:
- 923.303s elapsed time, 935.939s cpu time, 75.946s GC time, factor 1.01
- ML code maximum:
- 1.3 MiB
- ML code average:
- 1.1 MiB
- ML stack maximum:
- 17 MiB
- ML stack average:
- 10.5 MiB
- ML heap maximum:
- 7.9 GiB
- ML heap average:
- 5.7 GiB
- Isabelle version:
- 4b7fdf77af07
- AFP version:
- 2f539b3aa0b8




Neural_Networks
- data:
- CSV
- timing:
- 0:15:27 elapsed time, 0:15:03 cpu time, factor 0.97
- ML timing:
- 920.835s elapsed time, 897.151s cpu time, 54.491s GC time, factor 0.97
- ML code maximum:
- 12.3 MiB
- ML code average:
- 6.6 MiB
- ML stack maximum:
- 17 MiB
- ML stack average:
- 16 MiB
- ML heap maximum:
- 5.6 GiB
- ML heap average:
- 3.8 GiB
- Isabelle version:
- 4b7fdf77af07
- AFP version:
- 2f539b3aa0b8




Category3
- data:
- CSV
- timing:
- 0:15:10 elapsed time, 0:15:13 cpu time, factor 1.00
- ML timing:
- 873.446s elapsed time, 877.132s cpu time, 58.058s GC time, factor 1.00
- ML stack maximum:
- 17 MiB
- ML stack average:
- 12.9 MiB
- ML heap maximum:
- 9.3 GiB
- ML heap average:
- 5.2 GiB
- ML heap stored:
- 42.7 MiB
- Isabelle version:
- 4b7fdf77af07
- AFP version:
- 2f539b3aa0b8




AutoCorres2_Main
- data:
- CSV
- timing:
- 0:14:57 elapsed time, 0:14:49 cpu time, factor 0.99
- ML timing:
- 837.591s elapsed time, 830.068s cpu time, 33.757s GC time, factor 0.99
- ML code maximum:
- 13.7 MiB
- ML code average:
- 7.3 MiB
- ML stack maximum:
- 33 MiB
- ML stack average:
- 18.5 MiB
- ML heap maximum:
- 5.2 GiB
- ML heap average:
- 3.5 GiB
- ML heap stored:
- 175.1 MiB
- Isabelle version:
- 4b7fdf77af07
- AFP version:
- 2f539b3aa0b8




HOL-ODE-ARCH-COMP
- data:
- CSV
- timing:
- 0:14:34 elapsed time, 0:14:34 cpu time, factor 1.00
- ML timing:
- 870.363s elapsed time, 870.691s cpu time, 16.498s GC time, factor 1.00
- ML stack maximum:
- 3 MiB
- ML stack average:
- 2 MiB
- ML heap maximum:
- 2.9 GiB
- ML heap average:
- 2.3 GiB
- Isabelle version:
- 4b7fdf77af07
- AFP version:
- 2f539b3aa0b8




Broadcast_Psi
- data:
- CSV
- timing:
- 0:14:22 elapsed time, 0:14:27 cpu time, factor 1.01
- ML timing:
- 858.793s elapsed time, 864.331s cpu time, 21.692s GC time, factor 1.01
- ML stack maximum:
- 33 MiB
- ML stack average:
- 31.7 MiB
- ML heap maximum:
- 3 GiB
- ML heap average:
- 2.2 GiB
- Isabelle version:
- 4b7fdf77af07
- AFP version:
- 2f539b3aa0b8




Correctness_Algebras
- data:
- CSV
- timing:
- 0:14:21 elapsed time, 0:11:23 cpu time, factor 0.79
- ML timing:
- 856.310s elapsed time, 679.162s cpu time, 52.962s GC time, factor 0.79
- ML stack maximum:
- 5 MiB
- ML stack average:
- 5 MiB
- ML heap maximum:
- 6.2 GiB
- ML heap average:
- 2.8 GiB
- Isabelle version:
- 4b7fdf77af07
- AFP version:
- 2f539b3aa0b8




- data:
- CSV
- timing:
- 0:14:19 elapsed time, 0:14:24 cpu time, factor 1.01
- ML timing:
- 807.959s elapsed time, 813.564s cpu time, 51.670s GC time, factor 1.01
- ML stack maximum:
- 9 MiB
- ML stack average:
- 8.4 MiB
- ML heap maximum:
- 5.8 GiB
- ML heap average:
- 3.9 GiB
- ML heap stored:
- 137.4 MiB
- Isabelle version:
- 4b7fdf77af07
- AFP version:
- 2f539b3aa0b8




Goedel_HFSet_Semanticless
- data:
- CSV
- timing:
- 0:14:05 elapsed time, 0:14:08 cpu time, factor 1.00
- ML timing:
- 842.768s elapsed time, 846.196s cpu time, 20.482s GC time, factor 1.00
- ML code maximum:
- 3.3 MiB
- ML code average:
- 3.1 MiB
- ML stack maximum:
- 9 MiB
- ML stack average:
- 9 MiB
- ML heap maximum:
- 1.8 GiB
- ML heap average:
- 1.6 GiB
- Isabelle version:
- 4b7fdf77af07
- AFP version:
- 2f539b3aa0b8




FO_Theory_Rewriting
- data:
- CSV
- timing:
- 0:14:00 elapsed time, 0:14:06 cpu time, factor 1.01
- ML timing:
- 831.215s elapsed time, 837.044s cpu time, 55.567s GC time, factor 1.01
- ML stack maximum:
- 9 MiB
- ML stack average:
- 8 MiB
- ML heap maximum:
- 9 GiB
- ML heap average:
- 3.5 GiB
- Isabelle version:
- 4b7fdf77af07
- AFP version:
- 2f539b3aa0b8




Universal_Hash_Families
- data:
- CSV
- timing:
- 0:13:20 elapsed time, 0:13:30 cpu time, factor 1.01
- ML timing:
- 755.648s elapsed time, 766.015s cpu time, 69.998s GC time, factor 1.01
- ML stack maximum:
- 9 MiB
- ML stack average:
- 6.6 MiB
- ML heap maximum:
- 7.7 GiB
- ML heap average:
- 5.3 GiB
- ML heap stored:
- 114.4 MiB
- Isabelle version:
- 4b7fdf77af07
- AFP version:
- 2f539b3aa0b8




Quantifier_Elimination_Hybrid
- data:
- CSV
- timing:
- 0:13:10 elapsed time, 0:13:06 cpu time, factor 0.99
- ML timing:
- 784.523s elapsed time, 781.374s cpu time, 22.640s GC time, factor 1.00
- ML code maximum:
- 11.9 MiB
- ML code average:
- 5 MiB
- ML stack maximum:
- 17 MiB
- ML stack average:
- 12.4 MiB
- ML heap maximum:
- 3.7 GiB
- ML heap average:
- 2.9 GiB
- Isabelle version:
- 4b7fdf77af07
- AFP version:
- 2f539b3aa0b8




Shadow_DOM
- data:
- CSV
- timing:
- 0:13:03 elapsed time, 0:13:03 cpu time, factor 1.00
- ML timing:
- 707.360s elapsed time, 707.583s cpu time, 39.549s GC time, factor 1.00
- ML code maximum:
- 9 MiB
- ML code average:
- 2.1 MiB
- ML stack maximum:
- 33 MiB
- ML stack average:
- 30.2 MiB
- ML heap maximum:
- 7.1 GiB
- ML heap average:
- 3.2 GiB
- ML heap stored:
- 25.4 MiB
- Isabelle version:
- 4b7fdf77af07
- AFP version:
- 2f539b3aa0b8




MSO_Regex_Equivalence
- data:
- CSV
- timing:
- 0:12:58 elapsed time, 0:12:57 cpu time, factor 1.00
- ML timing:
- 774.346s elapsed time, 774.541s cpu time, 25.266s GC time, factor 1.00
- ML code maximum:
- 4.7 MiB
- ML stack maximum:
- 9 MiB
- ML stack average:
- 9 MiB
- ML heap maximum:
- 3.7 GiB
- ML heap average:
- 3.3 GiB
- Isabelle version:
- 4b7fdf77af07
- AFP version:
- 2f539b3aa0b8




Affine_Arithmetic
- data:
- CSV
- timing:
- 0:12:50 elapsed time, 0:12:54 cpu time, factor 1.01
- ML timing:
- 730.422s elapsed time, 734.089s cpu time, 60.345s GC time, factor 1.01
- ML code maximum:
- 4.1 MiB
- ML code average:
- 1.3 MiB
- ML stack maximum:
- 17 MiB
- ML stack average:
- 12.7 MiB
- ML heap maximum:
- 7.7 GiB
- ML heap average:
- 3 GiB
- ML heap stored:
- 114.8 MiB
- Isabelle version:
- 4b7fdf77af07
- AFP version:
- 2f539b3aa0b8




FSM_Tests
- data:
- CSV
- timing:
- 0:12:45 elapsed time, 0:12:52 cpu time, factor 1.01
- ML timing:
- 757.508s elapsed time, 765.212s cpu time, 48.607s GC time, factor 1.01
- ML code maximum:
- 1 MiB
- ML stack maximum:
- 17 MiB
- ML stack average:
- 11.8 MiB
- ML heap maximum:
- 5.7 GiB
- ML heap average:
- 3.5 GiB
- Isabelle version:
- 4b7fdf77af07
- AFP version:
- 2f539b3aa0b8




- data:
- CSV
- timing:
- 0:12:43 elapsed time, 0:12:40 cpu time, factor 1.00
- ML timing:
- 712.241s elapsed time, 709.527s cpu time, 55.207s GC time, factor 1.00
- ML code maximum:
- 1.3 MiB
- ML stack maximum:
- 9 MiB
- ML stack average:
- 6.5 MiB
- ML heap maximum:
- 4.2 GiB
- ML heap average:
- 3.5 GiB
- ML heap stored:
- 107.6 MiB
- Isabelle version:
- 4b7fdf77af07
- AFP version:
- 2f539b3aa0b8




Slicing
- data:
- CSV
- timing:
- 0:12:26 elapsed time, 0:12:27 cpu time, factor 1.00
- ML timing:
- 728.305s elapsed time, 730.125s cpu time, 9.641s GC time, factor 1.00
- ML stack maximum:
- 5 MiB
- ML stack average:
- 4.9 MiB
- ML heap maximum:
- 1.5 GiB
- ML heap average:
- 1.4 GiB
- ML heap stored:
- 41.1 MiB
- Isabelle version:
- 4b7fdf77af07
- AFP version:
- 2f539b3aa0b8




Typed_Ordered_Resolution
- data:
- CSV
- timing:
- 0:12:12 elapsed time, 0:12:16 cpu time, factor 1.01
- ML timing:
- 724.161s elapsed time, 728.099s cpu time, 53.890s GC time, factor 1.01
- ML stack maximum:
- 5 MiB
- ML stack average:
- 5 MiB
- ML heap maximum:
- 6.5 GiB
- ML heap average:
- 4.3 GiB
- Isabelle version:
- 4b7fdf77af07
- AFP version:
- 2f539b3aa0b8




SWF_Impossibility
- data:
- CSV
- timing:
- 0:12:02 elapsed time, 0:12:01 cpu time, factor 1.00
- ML timing:
- 720.427s elapsed time, 720.174s cpu time, 28.803s GC time, factor 1.00
- ML stack maximum:
- 33 MiB
- ML stack average:
- 27.3 MiB
- ML heap maximum:
- 3.6 GiB
- ML heap average:
- 2.3 GiB
- Isabelle version:
- 4b7fdf77af07
- AFP version:
- 2f539b3aa0b8




Three_Squares
- data:
- CSV
- timing:
- 0:12:00 elapsed time, 0:12:07 cpu time, factor 1.01
- ML timing:
- 681.672s elapsed time, 688.326s cpu time, 44.614s GC time, factor 1.01
- ML stack maximum:
- 9 MiB
- ML stack average:
- 6.7 MiB
- ML heap maximum:
- 5.9 GiB
- ML heap average:
- 3.6 GiB
- ML heap stored:
- 110.1 MiB
- Isabelle version:
- 4b7fdf77af07
- AFP version:
- 2f539b3aa0b8




CakeML_Codegen
- data:
- CSV
- timing:
- 0:11:59 elapsed time, 0:11:11 cpu time, factor 0.93
- ML timing:
- 714.502s elapsed time, 667.199s cpu time, 14.993s GC time, factor 0.93
- ML code maximum:
- 3 MiB
- ML code average:
- 1.7 MiB
- ML stack maximum:
- 5.1 MiB
- ML stack average:
- 5 MiB
- ML heap maximum:
- 2.8 GiB
- ML heap average:
- 2.6 GiB
- Isabelle version:
- 4b7fdf77af07
- AFP version:
- 2f539b3aa0b8




Padic_Field
- data:
- CSV
- timing:
- 0:11:59 elapsed time, 0:11:48 cpu time, factor 0.98
- ML timing:
- 713.103s elapsed time, 702.357s cpu time, 104.024s GC time, factor 0.98
- ML stack maximum:
- 17 MiB
- ML stack average:
- 17 MiB
- ML heap maximum:
- 15.7 GiB
- ML heap average:
- 7.2 GiB
- Isabelle version:
- 4b7fdf77af07
- AFP version:
- 2f539b3aa0b8




Goedel_HFSet_Semantic
- data:
- CSV
- timing:
- 0:11:54 elapsed time, 0:11:57 cpu time, factor 1.00
- ML timing:
- 712.270s elapsed time, 715.214s cpu time, 20.243s GC time, factor 1.00
- ML code maximum:
- 3.3 MiB
- ML code average:
- 3 MiB
- ML stack maximum:
- 9 MiB
- ML stack average:
- 9 MiB
- ML heap maximum:
- 1.5 GiB
- ML heap average:
- 1.5 GiB
- Isabelle version:
- 4b7fdf77af07
- AFP version:
- 2f539b3aa0b8




Constructive_Cryptography_CM
- data:
- CSV
- timing:
- 0:11:33 elapsed time, 0:11:34 cpu time, factor 1.00
- ML timing:
- 688.487s elapsed time, 689.035s cpu time, 41.461s GC time, factor 1.00
- ML stack maximum:
- 9 MiB
- ML stack average:
- 8.5 MiB
- ML heap maximum:
- 3 GiB
- ML heap average:
- 1.8 GiB
- Isabelle version:
- 4b7fdf77af07
- AFP version:
- 2f539b3aa0b8




Incompleteness
- data:
- CSV
- timing:
- 0:11:32 elapsed time, 0:11:34 cpu time, factor 1.00
- ML timing:
- 678.673s elapsed time, 681.267s cpu time, 10.129s GC time, factor 1.00
- ML code maximum:
- 3 MiB
- ML code average:
- 2.9 MiB
- ML stack maximum:
- 9 MiB
- ML stack average:
- 8.9 MiB
- ML heap maximum:
- 1.9 GiB
- ML heap average:
- 1.8 GiB
- ML heap stored:
- 55.4 MiB
- Isabelle version:
- 4b7fdf77af07
- AFP version:
- 2f539b3aa0b8




Iptables_Semantics_Examples
- data:
- CSV
- timing:
- 0:11:20 elapsed time, 0:11:20 cpu time, factor 1.00
- ML timing:
- 677.438s elapsed time, 677.837s cpu time, 28.040s GC time, factor 1.00
- ML code maximum:
- 33.6 MiB
- ML code average:
- 10.3 MiB
- ML stack maximum:
- 5 MiB
- ML stack average:
- 4.9 MiB
- ML heap maximum:
- 5 GiB
- ML heap average:
- 3.9 GiB
- Isabelle version:
- 4b7fdf77af07
- AFP version:
- 2f539b3aa0b8




Security_Protocol_Refinement
- data:
- CSV
- timing:
- 0:11:19 elapsed time, 0:11:19 cpu time, factor 1.00
- ML timing:
- 677.190s elapsed time, 678.014s cpu time, 7.041s GC time, factor 1.00
- ML stack maximum:
- 3 MiB
- ML stack average:
- 2.9 MiB
- ML heap maximum:
- 1.5 GiB
- ML heap average:
- 1.5 GiB
- Isabelle version:
- 4b7fdf77af07
- AFP version:
- 2f539b3aa0b8




Finite_Fields
- data:
- CSV
- timing:
- 0:11:18 elapsed time, 0:11:27 cpu time, factor 1.01
- ML timing:
- 671.213s elapsed time, 680.552s cpu time, 63.487s GC time, factor 1.01
- ML stack maximum:
- 9 MiB
- ML stack average:
- 6.8 MiB
- ML heap maximum:
- 7.7 GiB
- ML heap average:
- 5.4 GiB
- Isabelle version:
- 4b7fdf77af07
- AFP version:
- 2f539b3aa0b8




IsaGeoCoq
- data:
- CSV
- timing:
- 0:11:17 elapsed time, 0:11:23 cpu time, factor 1.01
- ML timing:
- 672.357s elapsed time, 678.556s cpu time, 44.303s GC time, factor 1.01
- ML stack maximum:
- 65 MiB
- ML stack average:
- 65 MiB
- ML heap maximum:
- 3.9 GiB
- ML heap average:
- 2.7 GiB
- Isabelle version:
- 4b7fdf77af07
- AFP version:
- 2f539b3aa0b8




Distributed_Distinct_Elements
- data:
- CSV
- timing:
- 0:11:14 elapsed time, 0:11:22 cpu time, factor 1.01
- ML timing:
- 632.637s elapsed time, 641.455s cpu time, 50.431s GC time, factor 1.01
- ML stack maximum:
- 9 MiB
- ML stack average:
- 7.5 MiB
- ML heap maximum:
- 4.9 GiB
- ML heap average:
- 3 GiB
- ML heap stored:
- 110 MiB
- Isabelle version:
- 4b7fdf77af07
- AFP version:
- 2f539b3aa0b8




Stateful_Protocol_Composition_and_Typing
- data:
- CSV
- timing:
- 0:11:13 elapsed time, 0:11:17 cpu time, factor 1.01
- ML timing:
- 633.819s elapsed time, 637.324s cpu time, 22.034s GC time, factor 1.01
- ML stack maximum:
- 17 MiB
- ML stack average:
- 14.7 MiB
- ML heap maximum:
- 3.7 GiB
- ML heap average:
- 2.5 GiB
- ML heap stored:
- 65.2 MiB
- Isabelle version:
- 4b7fdf77af07
- AFP version:
- 2f539b3aa0b8




Schoenhage_Strassen
- data:
- CSV
- timing:
- 0:11:04 elapsed time, 0:11:09 cpu time, factor 1.01
- ML timing:
- 657.751s elapsed time, 663.340s cpu time, 56.425s GC time, factor 1.01
- ML stack maximum:
- 9 MiB
- ML stack average:
- 8.2 MiB
- ML heap maximum:
- 8.2 GiB
- ML heap average:
- 5.8 GiB
- Isabelle version:
- 4b7fdf77af07
- AFP version:
- 2f539b3aa0b8




Perron_Frobenius
- data:
- CSV
- timing:
- 0:10:58 elapsed time, 0:11:02 cpu time, factor 1.01
- ML timing:
- 652.475s elapsed time, 657.203s cpu time, 29.916s GC time, factor 1.01
- ML code maximum:
- 4.6 MiB
- ML code average:
- 1.5 MiB
- ML stack maximum:
- 9 MiB
- ML stack average:
- 9 MiB
- ML heap maximum:
- 4.3 GiB
- ML heap average:
- 2.7 GiB
- Isabelle version:
- 4b7fdf77af07
- AFP version:
- 2f539b3aa0b8




HRB-Slicing
- data:
- CSV
- timing:
- 0:10:52 elapsed time, 0:10:56 cpu time, factor 1.01
- ML timing:
- 625.049s elapsed time, 628.858s cpu time, 17.055s GC time, factor 1.01
- ML stack maximum:
- 9 MiB
- ML stack average:
- 8.7 MiB
- ML heap maximum:
- 2.2 GiB
- ML heap average:
- 1.9 GiB
- ML heap stored:
- 51.3 MiB
- Isabelle version:
- 4b7fdf77af07
- AFP version:
- 2f539b3aa0b8




No_FTL_observers_Gen_Rel
- data:
- CSV
- timing:
- 0:10:19 elapsed time, 0:10:18 cpu time, factor 1.00
- ML timing:
- 615.821s elapsed time, 615.661s cpu time, 22.394s GC time, factor 1.00
- ML stack maximum:
- 33 MiB
- ML stack average:
- 15.9 MiB
- ML heap maximum:
- 3 GiB
- ML heap average:
- 2.1 GiB
- Isabelle version:
- 4b7fdf77af07
- AFP version:
- 2f539b3aa0b8




Groebner_Bases
- data:
- CSV
- timing:
- 0:10:03 elapsed time, 0:10:09 cpu time, factor 1.01
- ML timing:
- 524.522s elapsed time, 530.530s cpu time, 61.524s GC time, factor 1.01
- ML code maximum:
- 23.1 MiB
- ML code average:
- 6.7 MiB
- ML stack maximum:
- 9 MiB
- ML stack average:
- 8.1 MiB
- ML heap maximum:
- 13 GiB
- ML heap average:
- 6.1 GiB
- ML heap stored:
- 133.1 MiB
- Isabelle version:
- 4b7fdf77af07
- AFP version:
- 2f539b3aa0b8




X86_Semantics
- data:
- CSV
- timing:
- 0:09:57 elapsed time, 0:09:57 cpu time, factor 1.00
- ML timing:
- 595.760s elapsed time, 595.928s cpu time, 14.572s GC time, factor 1.00
- ML stack maximum:
- 9 MiB
- ML stack average:
- 9 MiB
- ML heap maximum:
- 2.1 GiB
- ML heap average:
- 1.6 GiB
- Isabelle version:
- 4b7fdf77af07
- AFP version:
- 2f539b3aa0b8




Complx
- data:
- CSV
- timing:
- 0:09:53 elapsed time, 0:09:51 cpu time, factor 1.00
- ML timing:
- 589.985s elapsed time, 588.690s cpu time, 8.169s GC time, factor 1.00
- ML stack maximum:
- 5 MiB
- ML stack average:
- 3 MiB
- ML heap maximum:
- 3.4 GiB
- ML heap average:
- 2.9 GiB
- Isabelle version:
- 4b7fdf77af07
- AFP version:
- 2f539b3aa0b8




Network_Security_Policy_Verification
- data:
- CSV
- timing:
- 0:09:52 elapsed time, 0:09:35 cpu time, factor 0.97
- ML timing:
- 588.079s elapsed time, 572.132s cpu time, 41.201s GC time, factor 0.97
- ML code maximum:
- 15 MiB
- ML code average:
- 5.7 MiB
- ML stack maximum:
- 9 MiB
- ML stack average:
- 9 MiB
- ML heap maximum:
- 4.4 GiB
- ML heap average:
- 2.6 GiB
- Isabelle version:
- 4b7fdf77af07
- AFP version:
- 2f539b3aa0b8




Auto2_Imperative_HOL
- data:
- CSV
- timing:
- 0:09:40 elapsed time, 0:09:40 cpu time, factor 1.00
- ML timing:
- 577.526s elapsed time, 578.582s cpu time, 4.500s GC time, factor 1.00
- ML code maximum:
- 1 MiB
- ML stack maximum:
- 2 MiB
- ML stack average:
- 1.7 MiB
- ML heap maximum:
- 1.5 GiB
- ML heap average:
- 1.5 GiB
- Isabelle version:
- 4b7fdf77af07
- AFP version:
- 2f539b3aa0b8




Universal_Turing_Machine
- data:
- CSV
- timing:
- 0:09:35 elapsed time, 0:09:35 cpu time, factor 1.00
- ML timing:
- 573.466s elapsed time, 573.142s cpu time, 18.275s GC time, factor 1.00
- ML stack maximum:
- 17 MiB
- ML stack average:
- 8.8 MiB
- ML heap maximum:
- 1.5 GiB
- ML heap average:
- 1.5 GiB
- Isabelle version:
- 4b7fdf77af07
- AFP version:
- 2f539b3aa0b8




MFODL_Monitor_Optimized
- data:
- CSV
- timing:
- 0:09:31 elapsed time, 0:09:31 cpu time, factor 1.00
- ML timing:
- 567.313s elapsed time, 568.181s cpu time, 23.611s GC time, factor 1.00
- ML stack maximum:
- 17 MiB
- ML stack average:
- 13 MiB
- ML heap maximum:
- 3.3 GiB
- ML heap average:
- 1.8 GiB
- Isabelle version:
- 4b7fdf77af07
- AFP version:
- 2f539b3aa0b8




Van_Emde_Boas_Trees
- data:
- CSV
- timing:
- 0:09:30 elapsed time, 0:09:05 cpu time, factor 0.96
- ML timing:
- 566.701s elapsed time, 541.470s cpu time, 28.994s GC time, factor 0.96
- ML code maximum:
- 1.2 MiB
- ML code average:
- 1.1 MiB
- ML stack maximum:
- 9 MiB
- ML stack average:
- 9 MiB
- ML heap maximum:
- 3.4 GiB
- ML heap average:
- 2.5 GiB
- Isabelle version:
- 4b7fdf77af07
- AFP version:
- 2f539b3aa0b8




First_Order_Clause
- data:
- CSV
- timing:
- 0:09:25 elapsed time, 0:09:23 cpu time, factor 1.00
- ML timing:
- 558.002s elapsed time, 556.839s cpu time, 48.466s GC time, factor 1.00
- ML code maximum:
- 1.7 MiB
- ML code average:
- 1.6 MiB
- ML stack maximum:
- 9 MiB
- ML stack average:
- 8.7 MiB
- ML heap maximum:
- 9.9 GiB
- ML heap average:
- 4.2 GiB
- Isabelle version:
- 4b7fdf77af07
- AFP version:
- 2f539b3aa0b8




Negative_Association
- data:
- CSV
- timing:
- 0:09:25 elapsed time, 0:09:33 cpu time, factor 1.01
- ML timing:
- 560.691s elapsed time, 569.313s cpu time, 43.079s GC time, factor 1.02
- ML stack maximum:
- 9 MiB
- ML stack average:
- 7.7 MiB
- ML heap maximum:
- 5 GiB
- ML heap average:
- 3.2 GiB
- Isabelle version:
- 4b7fdf77af07
- AFP version:
- 2f539b3aa0b8




CakeML
- data:
- CSV
- timing:
- 0:09:22 elapsed time, 0:09:12 cpu time, factor 0.98
- ML timing:
- 525.474s elapsed time, 515.943s cpu time, 40.148s GC time, factor 0.98
- ML code maximum:
- 1.8 MiB
- ML code average:
- 1.4 MiB
- ML stack maximum:
- 9 MiB
- ML stack average:
- 8.2 MiB
- ML heap maximum:
- 7.7 GiB
- ML heap average:
- 4.1 GiB
- ML heap stored:
- 153.6 MiB
- Isabelle version:
- 4b7fdf77af07
- AFP version:
- 2f539b3aa0b8




MDP-Algorithms
- data:
- CSV
- timing:
- 0:09:17 elapsed time, 0:09:20 cpu time, factor 1.01
- ML timing:
- 551.173s elapsed time, 554.077s cpu time, 30.100s GC time, factor 1.01
- ML stack maximum:
- 9 MiB
- ML stack average:
- 5.8 MiB
- ML heap maximum:
- 4.5 GiB
- ML heap average:
- 3.1 GiB
- Isabelle version:
- 4b7fdf77af07
- AFP version:
- 2f539b3aa0b8




Collections
- data:
- CSV
- timing:
- 0:09:06 elapsed time, 0:08:45 cpu time, factor 0.96
- ML timing:
- 479.245s elapsed time, 457.919s cpu time, 41.893s GC time, factor 0.96
- ML stack maximum:
- 10 MiB
- ML stack average:
- 8.6 MiB
- ML heap maximum:
- 8.9 GiB
- ML heap average:
- 3.9 GiB
- ML heap stored:
- 180.5 MiB
- Isabelle version:
- 4b7fdf77af07
- AFP version:
- 2f539b3aa0b8




ResiduatedTransitionSystem
- data:
- CSV
- timing:
- 0:09:05 elapsed time, 0:09:06 cpu time, factor 1.00
- ML timing:
- 514.251s elapsed time, 516.207s cpu time, 35.617s GC time, factor 1.00
- ML stack maximum:
- 33 MiB
- ML stack average:
- 31.4 MiB
- ML heap maximum:
- 4.8 GiB
- ML heap average:
- 3.2 GiB
- ML heap stored:
- 43.3 MiB
- Isabelle version:
- 4b7fdf77af07
- AFP version:
- 2f539b3aa0b8




Projective_Measurements
- data:
- CSV
- timing:
- 0:09:02 elapsed time, 0:09:05 cpu time, factor 1.01
- ML timing:
- 502.095s elapsed time, 505.465s cpu time, 28.921s GC time, factor 1.01
- ML stack maximum:
- 9 MiB
- ML stack average:
- 7.2 MiB
- ML heap maximum:
- 3.1 GiB
- ML heap average:
- 2.4 GiB
- ML heap stored:
- 93 MiB
- Isabelle version:
- 4b7fdf77af07
- AFP version:
- 2f539b3aa0b8




Psi_Calculi
- data:
- CSV
- timing:
- 0:08:59 elapsed time, 0:09:03 cpu time, factor 1.01
- ML timing:
- 536.444s elapsed time, 540.859s cpu time, 14.868s GC time, factor 1.01
- ML stack maximum:
- 17 MiB
- ML stack average:
- 16.2 MiB
- ML heap maximum:
- 2.9 GiB
- ML heap average:
- 2.2 GiB
- Isabelle version:
- 4b7fdf77af07
- AFP version:
- 2f539b3aa0b8




Transition_Systems_and_Automata
- data:
- CSV
- timing:
- 0:08:56 elapsed time, 0:08:55 cpu time, factor 1.00
- ML timing:
- 491.208s elapsed time, 490.775s cpu time, 35.735s GC time, factor 1.00
- ML stack maximum:
- 9 MiB
- ML stack average:
- 5.7 MiB
- ML heap maximum:
- 3.4 GiB
- ML heap average:
- 2.4 GiB
- ML heap stored:
- 112.3 MiB
- Isabelle version:
- 4b7fdf77af07
- AFP version:
- 2f539b3aa0b8




Linear_Recurrences_Solver
- data:
- CSV
- timing:
- 0:08:54 elapsed time, 0:08:55 cpu time, factor 1.00
- ML timing:
- 529.758s elapsed time, 531.303s cpu time, 37.017s GC time, factor 1.00
- ML code maximum:
- 5.8 MiB
- ML code average:
- 3.4 MiB
- ML stack maximum:
- 9 MiB
- ML stack average:
- 9 MiB
- ML heap maximum:
- 3.5 GiB
- ML heap average:
- 2.4 GiB
- Isabelle version:
- 4b7fdf77af07
- AFP version:
- 2f539b3aa0b8




DOM_Components
- data:
- CSV
- timing:
- 0:08:43 elapsed time, 0:08:42 cpu time, factor 1.00
- ML timing:
- 519.883s elapsed time, 519.566s cpu time, 16.541s GC time, factor 1.00
- ML stack maximum:
- 5 MiB
- ML stack average:
- 5 MiB
- ML heap maximum:
- 2.1 GiB
- ML heap average:
- 1.5 GiB
- Isabelle version:
- 4b7fdf77af07
- AFP version:
- 2f539b3aa0b8




Virtual_Substitution
- data:
- CSV
- timing:
- 0:08:32 elapsed time, 0:08:29 cpu time, factor 0.99
- ML timing:
- 507.965s elapsed time, 505.236s cpu time, 24.917s GC time, factor 0.99
- ML code maximum:
- 6.6 MiB
- ML code average:
- 3.9 MiB
- ML stack maximum:
- 17 MiB
- ML stack average:
- 10.3 MiB
- ML heap maximum:
- 2.9 GiB
- ML heap average:
- 2.4 GiB
- Isabelle version:
- 4b7fdf77af07
- AFP version:
- 2f539b3aa0b8




Core_DOM
- data:
- CSV
- timing:
- 0:08:27 elapsed time, 0:08:28 cpu time, factor 1.00
- ML timing:
- 440.034s elapsed time, 441.279s cpu time, 27.783s GC time, factor 1.00
- ML code maximum:
- 4 MiB
- ML stack maximum:
- 17 MiB
- ML stack average:
- 15.1 MiB
- ML heap maximum:
- 5 GiB
- ML heap average:
- 2.7 GiB
- ML heap stored:
- 45.6 MiB
- Isabelle version:
- 4b7fdf77af07
- AFP version:
- 2f539b3aa0b8




OmegaCatoidsQuantales
- data:
- CSV
- timing:
- 0:08:23 elapsed time, 0:08:20 cpu time, factor 0.99
- ML timing:
- 500.324s elapsed time, 497.067s cpu time, 25.995s GC time, factor 0.99
- ML stack maximum:
- 3 MiB
- ML stack average:
- 2.9 MiB
- ML heap maximum:
- 2.9 GiB
- ML heap average:
- 2.5 GiB
- Isabelle version:
- 4b7fdf77af07
- AFP version:
- 2f539b3aa0b8




- data:
- CSV
- timing:
- 0:08:22 elapsed time, 0:08:24 cpu time, factor 1.00
- ML timing:
- 473.533s elapsed time, 476.007s cpu time, 16.671s GC time, factor 1.01
- ML stack maximum:
- 5 MiB
- ML stack average:
- 4.7 MiB
- ML heap maximum:
- 2.9 GiB
- ML heap average:
- 1.5 GiB
- ML heap stored:
- 53.3 MiB
- Isabelle version:
- 4b7fdf77af07
- AFP version:
- 2f539b3aa0b8




Computational_pAdics
- data:
- CSV
- timing:
- 0:08:09 elapsed time, 0:08:13 cpu time, factor 1.01
- ML timing:
- 485.678s elapsed time, 490.750s cpu time, 20.692s GC time, factor 1.01
- ML stack maximum:
- 9 MiB
- ML stack average:
- 8.9 MiB
- ML heap maximum:
- 2.9 GiB
- ML heap average:
- 2.5 GiB
- Isabelle version:
- 4b7fdf77af07
- AFP version:
- 2f539b3aa0b8




Executable_Randomized_Algorithms
- data:
- CSV
- timing:
- 0:08:05 elapsed time, 0:08:12 cpu time, factor 1.01
- ML timing:
- 480.575s elapsed time, 488.227s cpu time, 36.969s GC time, factor 1.02
- ML stack maximum:
- 9 MiB
- ML stack average:
- 7.9 MiB
- ML heap maximum:
- 3.3 GiB
- ML heap average:
- 2.8 GiB
- Isabelle version:
- 4b7fdf77af07
- AFP version:
- 2f539b3aa0b8




Jinja
- data:
- CSV
- timing:
- 0:08:02 elapsed time, 0:08:03 cpu time, factor 1.00
- ML timing:
- 463.828s elapsed time, 464.566s cpu time, 10.773s GC time, factor 1.00
- ML code maximum:
- 1.5 MiB
- ML code average:
- 1.2 MiB
- ML stack maximum:
- 5 MiB
- ML stack average:
- 4.5 MiB
- ML heap maximum:
- 2.9 GiB
- ML heap average:
- 1.8 GiB
- ML heap stored:
- 45.4 MiB
- Isabelle version:
- 4b7fdf77af07
- AFP version:
- 2f539b3aa0b8




IP_Addresses
- data:
- CSV
- timing:
- 0:08:00 elapsed time, 0:07:57 cpu time, factor 0.99
- ML timing:
- 466.983s elapsed time, 464.807s cpu time, 17.648s GC time, factor 1.00
- ML code maximum:
- 3 MiB
- ML stack maximum:
- 17 MiB
- ML stack average:
- 12.1 MiB
- ML heap maximum:
- 2.9 GiB
- ML heap average:
- 2.1 GiB
- ML heap stored:
- 41.8 MiB
- Isabelle version:
- 4b7fdf77af07
- AFP version:
- 2f539b3aa0b8




Regular_Tree_Relations
- data:
- CSV
- timing:
- 0:07:56 elapsed time, 0:08:00 cpu time, factor 1.01
- ML timing:
- 471.776s elapsed time, 475.319s cpu time, 21.940s GC time, factor 1.01
- ML stack maximum:
- 5 MiB
- ML stack average:
- 5 MiB
- ML heap maximum:
- 3.7 GiB
- ML heap average:
- 2.6 GiB
- Isabelle version:
- 4b7fdf77af07
- AFP version:
- 2f539b3aa0b8




Cook_Levin
- data:
- CSV
- timing:
- 0:07:54 elapsed time, 0:07:51 cpu time, factor 0.99
- ML timing:
- 470.332s elapsed time, 467.707s cpu time, 13.252s GC time, factor 0.99
- ML stack maximum:
- 17 MiB
- ML stack average:
- 12.8 MiB
- ML heap maximum:
- 2.5 GiB
- ML heap average:
- 2 GiB
- Isabelle version:
- 4b7fdf77af07
- AFP version:
- 2f539b3aa0b8




Probabilistic_Prime_Tests
- data:
- CSV
- timing:
- 0:07:50 elapsed time, 0:07:56 cpu time, factor 1.01
- ML timing:
- 464.783s elapsed time, 470.437s cpu time, 55.426s GC time, factor 1.01
- ML stack maximum:
- 5 MiB
- ML stack average:
- 4.8 MiB
- ML heap maximum:
- 7.8 GiB
- ML heap average:
- 4 GiB
- Isabelle version:
- 4b7fdf77af07
- AFP version:
- 2f539b3aa0b8




Core_SC_DOM
- data:
- CSV
- timing:
- 0:07:49 elapsed time, 0:07:47 cpu time, factor 1.00
- ML timing:
- 408.500s elapsed time, 406.724s cpu time, 34.890s GC time, factor 1.00
- ML code maximum:
- 4.1 MiB
- ML stack maximum:
- 17 MiB
- ML stack average:
- 15.1 MiB
- ML heap maximum:
- 4.8 GiB
- ML heap average:
- 2.2 GiB
- ML heap stored:
- 53.4 MiB
- Isabelle version:
- 4b7fdf77af07
- AFP version:
- 2f539b3aa0b8




Syntax_Independent_Logic
- data:
- CSV
- timing:
- 0:07:37 elapsed time, 0:07:38 cpu time, factor 1.00
- ML timing:
- 447.511s elapsed time, 448.540s cpu time, 3.189s GC time, factor 1.00
- ML stack maximum:
- 5 MiB
- ML stack average:
- 4.9 MiB
- ML heap maximum:
- 1.5 GiB
- ML heap average:
- 1.4 GiB
- ML heap stored:
- 11.4 MiB
- Isabelle version:
- 4b7fdf77af07
- AFP version:
- 2f539b3aa0b8




Key_Agreement_Strong_Adversaries
- data:
- CSV
- timing:
- 0:07:29 elapsed time, 0:07:30 cpu time, factor 1.00
- ML timing:
- 447.729s elapsed time, 448.945s cpu time, 5.499s GC time, factor 1.00
- ML stack maximum:
- 3 MiB
- ML stack average:
- 2.8 MiB
- ML heap maximum:
- 1.5 GiB
- ML heap average:
- 1.5 GiB
- Isabelle version:
- 4b7fdf77af07
- AFP version:
- 2f539b3aa0b8




MonoidalCategory
- data:
- CSV
- timing:
- 0:07:26 elapsed time, 0:07:27 cpu time, factor 1.00
- ML timing:
- 426.261s elapsed time, 426.896s cpu time, 28.781s GC time, factor 1.00
- ML stack maximum:
- 9 MiB
- ML stack average:
- 8.7 MiB
- ML heap maximum:
- 7.1 GiB
- ML heap average:
- 3.5 GiB
- ML heap stored:
- 21.3 MiB
- Isabelle version:
- 4b7fdf77af07
- AFP version:
- 2f539b3aa0b8




Berlekamp_Zassenhaus
- data:
- CSV
- timing:
- 0:07:16 elapsed time, 0:07:20 cpu time, factor 1.01
- ML timing:
- 403.231s elapsed time, 407.503s cpu time, 28.688s GC time, factor 1.01
- ML stack maximum:
- 9 MiB
- ML stack average:
- 8.1 MiB
- ML heap maximum:
- 2.9 GiB
- ML heap average:
- 2 GiB
- ML heap stored:
- 98 MiB
- Isabelle version:
- 4b7fdf77af07
- AFP version:
- 2f539b3aa0b8




Native_Word
- data:
- CSV
- timing:
- 0:07:05 elapsed time, 0:05:27 cpu time, factor 0.77
- ML timing:
- 423.605s elapsed time, 326.375s cpu time, 3.918s GC time, factor 0.77
- ML code maximum:
- 9.6 MiB
- ML code average:
- 5.6 MiB
- ML stack maximum:
- 6 MiB
- ML stack average:
- 4.2 MiB
- ML heap maximum:
- 1.5 GiB
- ML heap average:
- 1.5 GiB
- Isabelle version:
- 4b7fdf77af07
- AFP version:
- 2f539b3aa0b8




CoSMed
- data:
- CSV
- timing:
- 0:07:04 elapsed time, 0:07:04 cpu time, factor 1.00
- ML timing:
- 422.666s elapsed time, 423.463s cpu time, 3.733s GC time, factor 1.00
- ML stack maximum:
- 5 MiB
- ML stack average:
- 3.5 MiB
- ML heap maximum:
- 1.5 GiB
- ML heap average:
- 1.5 GiB
- Isabelle version:
- 4b7fdf77af07
- AFP version:
- 2f539b3aa0b8




Hybrid_Systems_VCs
- data:
- CSV
- timing:
- 0:06:53 elapsed time, 0:06:54 cpu time, factor 1.00
- ML timing:
- 409.079s elapsed time, 410.888s cpu time, 14.353s GC time, factor 1.00
- ML stack maximum:
- 5 MiB
- ML stack average:
- 5 MiB
- ML heap maximum:
- 2.9 GiB
- ML heap average:
- 2.7 GiB
- Isabelle version:
- 4b7fdf77af07
- AFP version:
- 2f539b3aa0b8




Probabilistic_Timed_Automata
- data:
- CSV
- timing:
- 0:06:46 elapsed time, 0:06:49 cpu time, factor 1.01
- ML timing:
- 402.185s elapsed time, 405.556s cpu time, 15.255s GC time, factor 1.01
- ML stack maximum:
- 9 MiB
- ML stack average:
- 7 MiB
- ML heap maximum:
- 3.6 GiB
- ML heap average:
- 1.7 GiB
- Isabelle version:
- 4b7fdf77af07
- AFP version:
- 2f539b3aa0b8




MFOTL_Checker
- data:
- CSV
- timing:
- 0:06:39 elapsed time, 0:06:39 cpu time, factor 1.00
- ML timing:
- 394.675s elapsed time, 394.778s cpu time, 21.111s GC time, factor 1.00
- ML code maximum:
- 1.5 MiB
- ML stack maximum:
- 9 MiB
- ML stack average:
- 5.9 MiB
- ML heap maximum:
- 2.9 GiB
- ML heap average:
- 2.3 GiB
- Isabelle version:
- 4b7fdf77af07
- AFP version:
- 2f539b3aa0b8




- data:
- CSV
- timing:
- 0:06:35 elapsed time, 0:06:35 cpu time, factor 1.00
- ML timing:
- 365.411s elapsed time, 366.073s cpu time, 70.169s GC time, factor 1.00
- ML code maximum:
- 1.7 MiB
- ML stack maximum:
- 17 MiB
- ML stack average:
- 4.7 MiB
- ML heap maximum:
- 7.8 GiB
- ML heap average:
- 4 GiB
- ML heap stored:
- 67.5 MiB
- Isabelle version:
- 4b7fdf77af07
- AFP version:
- 2f539b3aa0b8




Monad_Memo_DP
- data:
- CSV
- timing:
- 0:06:34 elapsed time, 0:06:35 cpu time, factor 1.00
- ML timing:
- 367.194s elapsed time, 368.713s cpu time, 18.351s GC time, factor 1.00
- ML code maximum:
- 2.2 MiB
- ML stack maximum:
- 9 MiB
- ML stack average:
- 8.2 MiB
- ML heap maximum:
- 2.3 GiB
- ML heap average:
- 1.8 GiB
- ML heap stored:
- 82.9 MiB
- Isabelle version:
- 4b7fdf77af07
- AFP version:
- 2f539b3aa0b8




BTree
- data:
- CSV
- timing:
- 0:06:33 elapsed time, 0:06:34 cpu time, factor 1.00
- ML timing:
- 390.235s elapsed time, 391.176s cpu time, 8.886s GC time, factor 1.00
- ML stack maximum:
- 9 MiB
- ML stack average:
- 7 MiB
- ML heap maximum:
- 1.6 GiB
- ML heap average:
- 1.5 GiB
- Isabelle version:
- 4b7fdf77af07
- AFP version:
- 2f539b3aa0b8




- data:
- CSV
- timing:
- 0:06:33 elapsed time, 0:06:30 cpu time, factor 0.99
- ML timing:
- 387.801s elapsed time, 385.156s cpu time, 27.312s GC time, factor 0.99
- ML code maximum:
- 4 MiB
- ML code average:
- 2.9 MiB
- ML stack maximum:
- 9 MiB
- ML stack average:
- 8.8 MiB
- ML heap maximum:
- 3.8 GiB
- ML heap average:
- 2.6 GiB
- Isabelle version:
- 4b7fdf77af07
- AFP version:
- 2f539b3aa0b8




Elliptic_Functions
- data:
- CSV
- timing:
- 0:06:26 elapsed time, 0:06:32 cpu time, factor 1.02
- ML timing:
- 382.569s elapsed time, 388.762s cpu time, 25.421s GC time, factor 1.02
- ML stack maximum:
- 5 MiB
- ML stack average:
- 5 MiB
- ML heap maximum:
- 3.7 GiB
- ML heap average:
- 1.9 GiB
- Isabelle version:
- 4b7fdf77af07
- AFP version:
- 2f539b3aa0b8




SPARCv8
- data:
- CSV
- timing:
- 0:06:25 elapsed time, 0:06:25 cpu time, factor 1.00
- ML timing:
- 382.361s elapsed time, 383.144s cpu time, 13.992s GC time, factor 1.00
- ML stack maximum:
- 33 MiB
- ML stack average:
- 27.5 MiB
- ML heap maximum:
- 2.9 GiB
- ML heap average:
- 1.8 GiB
- Isabelle version:
- 4b7fdf77af07
- AFP version:
- 2f539b3aa0b8




AI_Planning_Languages_Semantics
- data:
- CSV
- timing:
- 0:06:23 elapsed time, 0:06:26 cpu time, factor 1.01
- ML timing:
- 379.268s elapsed time, 382.372s cpu time, 20.610s GC time, factor 1.01
- ML code maximum:
- 1.6 MiB
- ML stack maximum:
- 9 MiB
- ML stack average:
- 8.3 MiB
- ML heap maximum:
- 2.9 GiB
- ML heap average:
- 2.3 GiB
- Isabelle version:
- 4b7fdf77af07
- AFP version:
- 2f539b3aa0b8




Stochastic_Matrices
- data:
- CSV
- timing:
- 0:06:17 elapsed time, 0:06:21 cpu time, factor 1.01
- ML timing:
- 372.240s elapsed time, 376.526s cpu time, 23.405s GC time, factor 1.01
- ML stack maximum:
- 9 MiB
- ML stack average:
- 6.2 MiB
- ML heap maximum:
- 5.8 GiB
- ML heap average:
- 3.5 GiB
- Isabelle version:
- 4b7fdf77af07
- AFP version:
- 2f539b3aa0b8




SCL_Simulates_Ground_Resolution
- data:
- CSV
- timing:
- 0:06:15 elapsed time, 0:06:14 cpu time, factor 1.00
- ML timing:
- 368.866s elapsed time, 367.914s cpu time, 33.142s GC time, factor 1.00
- ML stack maximum:
- 17 MiB
- ML stack average:
- 8.2 MiB
- ML heap maximum:
- 7 GiB
- ML heap average:
- 3 GiB
- Isabelle version:
- 4b7fdf77af07
- AFP version:
- 2f539b3aa0b8




Wieferich_Kempner
- data:
- CSV
- timing:
- 0:06:14 elapsed time, 0:06:10 cpu time, factor 0.99
- ML timing:
- 372.429s elapsed time, 368.290s cpu time, 4.269s GC time, factor 0.99
- ML stack maximum:
- 3 MiB
- ML stack average:
- 3 MiB
- ML heap maximum:
- 1.5 GiB
- ML heap average:
- 1.5 GiB
- Isabelle version:
- 4b7fdf77af07
- AFP version:
- 2f539b3aa0b8




Polynomials
- data:
- CSV
- timing:
- 0:06:14 elapsed time, 0:06:15 cpu time, factor 1.00
- ML timing:
- 342.325s elapsed time, 344.402s cpu time, 23.587s GC time, factor 1.01
- ML code maximum:
- 11.3 MiB
- ML code average:
- 2.2 MiB
- ML stack maximum:
- 9 MiB
- ML stack average:
- 8.3 MiB
- ML heap maximum:
- 5.1 GiB
- ML heap average:
- 3.2 GiB
- ML heap stored:
- 99.2 MiB
- Isabelle version:
- 4b7fdf77af07
- AFP version:
- 2f539b3aa0b8




Timed_Automata
- data:
- CSV
- timing:
- 0:06:09 elapsed time, 0:06:09 cpu time, factor 1.00
- ML timing:
- 343.331s elapsed time, 343.503s cpu time, 10.528s GC time, factor 1.00
- ML stack maximum:
- 9 MiB
- ML stack average:
- 6.3 MiB
- ML heap maximum:
- 2.9 GiB
- ML heap average:
- 2.1 GiB
- ML heap stored:
- 41 MiB
- Isabelle version:
- 4b7fdf77af07
- AFP version:
- 2f539b3aa0b8




CZH_Foundations
- data:
- CSV
- timing:
- 0:06:08 elapsed time, 0:06:10 cpu time, factor 1.01
- ML timing:
- 358.104s elapsed time, 361.091s cpu time, 48.846s GC time, factor 1.01
- ML stack maximum:
- 5 MiB
- ML stack average:
- 4.9 MiB
- ML heap maximum:
- 5.6 GiB
- ML heap average:
- 3.1 GiB
- ML heap stored:
- 32 MiB
- Isabelle version:
- 4b7fdf77af07
- AFP version:
- 2f539b3aa0b8




Transcendence_Series_Hancl_Rucki
- data:
- CSV
- timing:
- 0:06:06 elapsed time, 0:06:11 cpu time, factor 1.01
- ML timing:
- 362.903s elapsed time, 368.249s cpu time, 23.231s GC time, factor 1.01
- ML stack maximum:
- 9 MiB
- ML stack average:
- 6.4 MiB
- ML heap maximum:
- 4.3 GiB
- ML heap average:
- 3.4 GiB
- Isabelle version:
- 4b7fdf77af07
- AFP version:
- 2f539b3aa0b8




Quantales_Converse
- data:
- CSV
- timing:
- 0:06:00 elapsed time, 0:06:00 cpu time, factor 1.00
- ML timing:
- 341.801s elapsed time, 341.934s cpu time, 13.456s GC time, factor 1.00
- ML stack maximum:
- 3 MiB
- ML stack average:
- 2.8 MiB
- ML heap maximum:
- 2.7 GiB
- ML heap average:
- 2.1 GiB
- ML heap stored:
- 70.2 MiB
- Isabelle version:
- 4b7fdf77af07
- AFP version:
- 2f539b3aa0b8




Polynomial_Factorization
- data:
- CSV
- timing:
- 0:05:53 elapsed time, 0:05:56 cpu time, factor 1.01
- ML timing:
- 349.457s elapsed time, 352.228s cpu time, 21.596s GC time, factor 1.01
- ML stack maximum:
- 9 MiB
- ML stack average:
- 8.4 MiB
- ML heap maximum:
- 4.4 GiB
- ML heap average:
- 2.4 GiB
- Isabelle version:
- 4b7fdf77af07
- AFP version:
- 2f539b3aa0b8




Go_Test_Slow
- data:
- CSV
- timing:
- 0:05:49 elapsed time, 0:05:30 cpu time, factor 0.95
- ML timing:
- 345.922s elapsed time, 326.667s cpu time, 29.376s GC time, factor 0.94
- ML stack maximum:
- 9 MiB
- ML stack average:
- 7.6 MiB
- ML heap maximum:
- 2.7 GiB
- ML heap average:
- 1.8 GiB
- Isabelle version:
- 4b7fdf77af07
- AFP version:
- 2f539b3aa0b8




Simple_Clause_Learning
- data:
- CSV
- timing:
- 0:05:49 elapsed time, 0:05:41 cpu time, factor 0.98
- ML timing:
- 308.549s elapsed time, 300.970s cpu time, 19.936s GC time, factor 0.98
- ML code maximum:
- 2.6 MiB
- ML code average:
- 2.6 MiB
- ML stack maximum:
- 17 MiB
- ML stack average:
- 10.4 MiB
- ML heap maximum:
- 3.1 GiB
- ML heap average:
- 2 GiB
- ML heap stored:
- 90.6 MiB
- Isabelle version:
- 4b7fdf77af07
- AFP version:
- 2f539b3aa0b8




IsaNet
- data:
- CSV
- timing:
- 0:05:43 elapsed time, 0:05:43 cpu time, factor 1.00
- ML timing:
- 340.872s elapsed time, 341.665s cpu time, 21.483s GC time, factor 1.00
- ML stack maximum:
- 5 MiB
- ML stack average:
- 5 MiB
- ML heap maximum:
- 2.1 GiB
- ML heap average:
- 1.6 GiB
- Isabelle version:
- 4b7fdf77af07
- AFP version:
- 2f539b3aa0b8




Regression_Test_Selection
- data:
- CSV
- timing:
- 0:05:41 elapsed time, 0:05:41 cpu time, factor 1.00
- ML timing:
- 338.903s elapsed time, 339.693s cpu time, 3.618s GC time, factor 1.00
- ML stack maximum:
- 5 MiB
- ML stack average:
- 3.9 MiB
- ML heap maximum:
- 1.5 GiB
- ML heap average:
- 1.5 GiB
- Isabelle version:
- 4b7fdf77af07
- AFP version:
- 2f539b3aa0b8




Refine_Imperative_HOL
- data:
- CSV
- timing:
- 0:05:38 elapsed time, 0:05:22 cpu time, factor 0.95
- ML timing:
- 309.936s elapsed time, 294.467s cpu time, 14.200s GC time, factor 0.95
- ML code maximum:
- 1.9 MiB
- ML code average:
- 1.7 MiB
- ML stack maximum:
- 3 MiB
- ML stack average:
- 2.8 MiB
- ML heap maximum:
- 2.9 GiB
- ML heap average:
- 1.9 GiB
- ML heap stored:
- 71.3 MiB
- Isabelle version:
- 4b7fdf77af07
- AFP version:
- 2f539b3aa0b8




Diagonal_Ramsey
- data:
- CSV
- timing:
- 0:05:35 elapsed time, 0:05:34 cpu time, factor 1.00
- ML timing:
- 332.256s elapsed time, 330.940s cpu time, 13.600s GC time, factor 1.00
- ML stack maximum:
- 17 MiB
- ML stack average:
- 12.8 MiB
- ML heap maximum:
- 2.5 GiB
- ML heap average:
- 1.7 GiB
- Isabelle version:
- 4b7fdf77af07
- AFP version:
- 2f539b3aa0b8




Coinductive
- data:
- CSV
- timing:
- 0:05:34 elapsed time, 0:05:28 cpu time, factor 0.98
- ML timing:
- 309.311s elapsed time, 304.331s cpu time, 19.822s GC time, factor 0.98
- ML code maximum:
- 1.6 MiB
- ML stack maximum:
- 9 MiB
- ML stack average:
- 8 MiB
- ML heap maximum:
- 2.5 GiB
- ML heap average:
- 1.8 GiB
- ML heap stored:
- 78.6 MiB
- Isabelle version:
- 4b7fdf77af07
- AFP version:
- 2f539b3aa0b8




CRYSTALS-Kyber_Security
- data:
- CSV
- timing:
- 0:05:29 elapsed time, 0:05:32 cpu time, factor 1.01
- ML timing:
- 324.295s elapsed time, 327.845s cpu time, 32.005s GC time, factor 1.01
- ML stack maximum:
- 9 MiB
- ML stack average:
- 7.9 MiB
- ML heap maximum:
- 4.7 GiB
- ML heap average:
- 3.4 GiB
- Isabelle version:
- 4b7fdf77af07
- AFP version:
- 2f539b3aa0b8




Pentagonal_Number_Theorem
- data:
- CSV
- timing:
- 0:05:25 elapsed time, 0:05:21 cpu time, factor 0.99
- ML timing:
- 320.851s elapsed time, 316.867s cpu time, 25.301s GC time, factor 0.99
- ML code maximum:
- 3.6 MiB
- ML code average:
- 2.7 MiB
- ML stack maximum:
- 9 MiB
- ML stack average:
- 8.8 MiB
- ML heap maximum:
- 3.8 GiB
- ML heap average:
- 1.9 GiB
- Isabelle version:
- 4b7fdf77af07
- AFP version:
- 2f539b3aa0b8




Ordinary_Differential_Equations
- data:
- CSV
- timing:
- 0:05:20 elapsed time, 0:05:23 cpu time, factor 1.01
- ML timing:
- 298.091s elapsed time, 300.700s cpu time, 7.528s GC time, factor 1.01
- ML stack maximum:
- 17 MiB
- ML stack average:
- 12 MiB
- ML heap maximum:
- 2.1 GiB
- ML heap average:
- 1.7 GiB
- ML heap stored:
- 50.9 MiB
- Isabelle version:
- 4b7fdf77af07
- AFP version:
- 2f539b3aa0b8




DPRM_Theorem
- data:
- CSV
- timing:
- 0:05:15 elapsed time, 0:05:16 cpu time, factor 1.00
- ML timing:
- 312.152s elapsed time, 312.841s cpu time, 14.220s GC time, factor 1.00
- ML stack maximum:
- 17 MiB
- ML stack average:
- 8.9 MiB
- ML heap maximum:
- 3.5 GiB
- ML heap average:
- 1.7 GiB
- Isabelle version:
- 4b7fdf77af07
- AFP version:
- 2f539b3aa0b8




Algebraic_Numbers
- data:
- CSV
- timing:
- 0:05:14 elapsed time, 0:05:15 cpu time, factor 1.00
- ML timing:
- 294.153s elapsed time, 295.884s cpu time, 12.385s GC time, factor 1.01
- ML code maximum:
- 4.2 MiB
- ML code average:
- 1.6 MiB
- ML stack maximum:
- 9 MiB
- ML stack average:
- 8.6 MiB
- ML heap maximum:
- 2.2 GiB
- ML heap average:
- 1.4 GiB
- ML heap stored:
- 44.5 MiB
- Isabelle version:
- 4b7fdf77af07
- AFP version:
- 2f539b3aa0b8




Dirichlet_Series
- data:
- CSV
- timing:
- 0:05:14 elapsed time, 0:05:18 cpu time, factor 1.01
- ML timing:
- 286.242s elapsed time, 290.742s cpu time, 18.274s GC time, factor 1.02
- ML stack maximum:
- 9 MiB
- ML stack average:
- 5.5 MiB
- ML heap maximum:
- 3.9 GiB
- ML heap average:
- 2.8 GiB
- ML heap stored:
- 61.3 MiB
- Isabelle version:
- 4b7fdf77af07
- AFP version:
- 2f539b3aa0b8




Group-Ring-Module
- data:
- CSV
- timing:
- 0:05:14 elapsed time, 0:05:19 cpu time, factor 1.02
- ML timing:
- 299.090s elapsed time, 304.738s cpu time, 21.240s GC time, factor 1.02
- ML stack maximum:
- 17 MiB
- ML stack average:
- 16.4 MiB
- ML heap maximum:
- 4.3 GiB
- ML heap average:
- 2.7 GiB
- ML heap stored:
- 26.5 MiB
- Isabelle version:
- 4b7fdf77af07
- AFP version:
- 2f539b3aa0b8




Lorenz_Approximation
- data:
- CSV
- timing:
- 0:05:11 elapsed time, 0:05:11 cpu time, factor 1.00
- ML timing:
- 308.434s elapsed time, 308.015s cpu time, 15.444s GC time, factor 1.00
- ML code maximum:
- 3.2 MiB
- ML code average:
- 1.3 MiB
- ML stack maximum:
- 65 MiB
- ML stack average:
- 21.6 MiB
- ML heap maximum:
- 2.9 GiB
- ML heap average:
- 1.7 GiB
- Isabelle version:
- 4b7fdf77af07
- AFP version:
- 2f539b3aa0b8




SM_Base
- data:
- CSV
- timing:
- 0:05:10 elapsed time, 0:05:06 cpu time, factor 0.99
- ML timing:
- 279.025s elapsed time, 275.677s cpu time, 16.366s GC time, factor 0.99
- ML stack maximum:
- 9 MiB
- ML stack average:
- 7.9 MiB
- ML heap maximum:
- 3.8 GiB
- ML heap average:
- 2.3 GiB
- ML heap stored:
- 67.7 MiB
- Isabelle version:
- 4b7fdf77af07
- AFP version:
- 2f539b3aa0b8




Picks_Theorem
- data:
- CSV
- timing:
- 0:05:02 elapsed time, 0:04:36 cpu time, factor 0.91
- ML timing:
- 298.734s elapsed time, 272.822s cpu time, 9.126s GC time, factor 0.91
- ML stack maximum:
- 17 MiB
- ML stack average:
- 12.8 MiB
- ML heap maximum:
- 1.8 GiB
- ML heap average:
- 1.5 GiB
- Isabelle version:
- 4b7fdf77af07
- AFP version:
- 2f539b3aa0b8




- data:
- CSV
- timing:
- 0:05:01 elapsed time, 0:05:03 cpu time, factor 1.01
- ML timing:
- 299.574s elapsed time, 301.961s cpu time, 8.114s GC time, factor 1.01
- ML stack maximum:
- 9 MiB
- ML stack average:
- 8.1 MiB
- ML heap maximum:
- 1.5 GiB
- ML heap average:
- 1.4 GiB
- Isabelle version:
- 4b7fdf77af07
- AFP version:
- 2f539b3aa0b8




Differential_Dynamic_Logic
- data:
- CSV
- timing:
- 0:05:01 elapsed time, 0:05:02 cpu time, factor 1.00
- ML timing:
- 297.730s elapsed time, 299.022s cpu time, 13.050s GC time, factor 1.00
- ML stack maximum:
- 9 MiB
- ML stack average:
- 6.4 MiB
- ML heap maximum:
- 4.1 GiB
- ML heap average:
- 2.4 GiB
- Isabelle version:
- 4b7fdf77af07
- AFP version:
- 2f539b3aa0b8




Continued_Fractions
- data:
- CSV
- timing:
- 0:04:58 elapsed time, 0:04:58 cpu time, factor 1.00
- ML timing:
- 294.990s elapsed time, 294.950s cpu time, 11.241s GC time, factor 1.00
- ML code maximum:
- 1.6 MiB
- ML stack maximum:
- 17 MiB
- ML stack average:
- 12.6 MiB
- ML heap maximum:
- 3 GiB
- ML heap average:
- 2 GiB
- Isabelle version:
- 4b7fdf77af07
- AFP version:
- 2f539b3aa0b8




DFS_Framework
- data:
- CSV
- timing:
- 0:04:56 elapsed time, 0:04:49 cpu time, factor 0.98
- ML timing:
- 292.391s elapsed time, 286.276s cpu time, 14.360s GC time, factor 0.98
- ML stack maximum:
- 9 MiB
- ML stack average:
- 7.7 MiB
- ML heap maximum:
- 2.8 GiB
- ML heap average:
- 2.1 GiB
- Isabelle version:
- 4b7fdf77af07
- AFP version:
- 2f539b3aa0b8




Posix-Lexing
- data:
- CSV
- timing:
- 0:04:54 elapsed time, 0:04:10 cpu time, factor 0.85
- ML timing:
- 289.836s elapsed time, 246.279s cpu time, 27.277s GC time, factor 0.85
- ML stack maximum:
- 3 MiB
- ML stack average:
- 3 MiB
- ML heap maximum:
- 4.3 GiB
- ML heap average:
- 3.5 GiB
- Isabelle version:
- 4b7fdf77af07
- AFP version:
- 2f539b3aa0b8




First_Order_Rewriting
- data:
- CSV
- timing:
- 0:04:53 elapsed time, 0:04:54 cpu time, factor 1.00
- ML timing:
- 265.640s elapsed time, 267.155s cpu time, 15.468s GC time, factor 1.01
- ML stack maximum:
- 10 MiB
- ML stack average:
- 9.3 MiB
- ML heap maximum:
- 4 GiB
- ML heap average:
- 2.4 GiB
- ML heap stored:
- 48.3 MiB
- Isabelle version:
- 4b7fdf77af07
- AFP version:
- 2f539b3aa0b8




Zippy
- data:
- CSV
- timing:
- 0:04:52 elapsed time, 0:04:52 cpu time, factor 1.00
- ML timing:
- 288.243s elapsed time, 289.238s cpu time, 32.064s GC time, factor 1.00
- ML code maximum:
- 20.6 MiB
- ML code average:
- 15.4 MiB
- ML stack maximum:
- 5 MiB
- ML stack average:
- 4.8 MiB
- ML heap maximum:
- 8.9 GiB
- ML heap average:
- 4.7 GiB
- Isabelle version:
- 4b7fdf77af07
- AFP version:
- 2f539b3aa0b8




Relative_Security
- data:
- CSV
- timing:
- 0:04:51 elapsed time, 0:04:52 cpu time, factor 1.00
- ML timing:
- 269.429s elapsed time, 270.416s cpu time, 10.760s GC time, factor 1.00
- ML stack maximum:
- 17 MiB
- ML stack average:
- 14.5 MiB
- ML heap maximum:
- 1.9 GiB
- ML heap average:
- 1.5 GiB
- ML heap stored:
- 29.2 MiB
- Isabelle version:
- 4b7fdf77af07
- AFP version:
- 2f539b3aa0b8




Balog_Szemeredi_Gowers
- data:
- CSV
- timing:
- 0:04:49 elapsed time, 0:04:39 cpu time, factor 0.97
- ML timing:
- 286.174s elapsed time, 275.450s cpu time, 16.054s GC time, factor 0.96
- ML stack maximum:
- 17 MiB
- ML stack average:
- 10 MiB
- ML heap maximum:
- 2.9 GiB
- ML heap average:
- 2.2 GiB
- Isabelle version:
- 4b7fdf77af07
- AFP version:
- 2f539b3aa0b8




Hilbert_Basis
- data:
- CSV
- timing:
- 0:04:47 elapsed time, 0:04:43 cpu time, factor 0.99
- ML timing:
- 283.482s elapsed time, 279.320s cpu time, 32.088s GC time, factor 0.99
- ML stack maximum:
- 17 MiB
- ML stack average:
- 15.8 MiB
- ML heap maximum:
- 4.4 GiB
- ML heap average:
- 3.5 GiB
- Isabelle version:
- 4b7fdf77af07
- AFP version:
- 2f539b3aa0b8




MLSS_Decision_Proc
- data:
- CSV
- timing:
- 0:04:45 elapsed time, 0:04:48 cpu time, factor 1.01
- ML timing:
- 262.547s elapsed time, 266.238s cpu time, 16.504s GC time, factor 1.01
- ML stack maximum:
- 9 MiB
- ML stack average:
- 8.4 MiB
- ML heap maximum:
- 2.9 GiB
- ML heap average:
- 2.1 GiB
- ML heap stored:
- 66.6 MiB
- Isabelle version:
- 4b7fdf77af07
- AFP version:
- 2f539b3aa0b8




Transport
- data:
- CSV
- timing:
- 0:04:44 elapsed time, 0:04:45 cpu time, factor 1.00
- ML timing:
- 281.394s elapsed time, 283.488s cpu time, 16.394s GC time, factor 1.01
- ML code maximum:
- 3.9 MiB
- ML code average:
- 3.7 MiB
- ML stack maximum:
- 5 MiB
- ML stack average:
- 4.8 MiB
- ML heap maximum:
- 2.9 GiB
- ML heap average:
- 2 GiB
- Isabelle version:
- 4b7fdf77af07
- AFP version:
- 2f539b3aa0b8




Isabelle_Marries_Dirac
- data:
- CSV
- timing:
- 0:04:42 elapsed time, 0:04:40 cpu time, factor 0.99
- ML timing:
- 264.256s elapsed time, 262.919s cpu time, 5.075s GC time, factor 0.99
- ML stack maximum:
- 9 MiB
- ML stack average:
- 8.4 MiB
- ML heap maximum:
- 2.9 GiB
- ML heap average:
- 2.6 GiB
- ML heap stored:
- 21.1 MiB
- Isabelle version:
- 4b7fdf77af07
- AFP version:
- 2f539b3aa0b8




Deep_Learning
- data:
- CSV
- timing:
- 0:04:42 elapsed time, 0:04:46 cpu time, factor 1.01
- ML timing:
- 278.366s elapsed time, 282.045s cpu time, 20.778s GC time, factor 1.01
- ML stack maximum:
- 5 MiB
- ML stack average:
- 4.6 MiB
- ML heap maximum:
- 5.2 GiB
- ML heap average:
- 2.4 GiB
- Isabelle version:
- 4b7fdf77af07
- AFP version:
- 2f539b3aa0b8




LTL_to_GBA
- data:
- CSV
- timing:
- 0:04:42 elapsed time, 0:04:42 cpu time, factor 1.00
- ML timing:
- 279.083s elapsed time, 278.963s cpu time, 8.428s GC time, factor 1.00
- ML stack maximum:
- 5 MiB
- ML stack average:
- 4.9 MiB
- ML heap maximum:
- 3.9 GiB
- ML heap average:
- 3.3 GiB
- Isabelle version:
- 4b7fdf77af07
- AFP version:
- 2f539b3aa0b8




Containers-Benchmarks
- data:
- CSV
- timing:
- 0:04:39 elapsed time, 0:04:31 cpu time, factor 0.97
- ML timing:
- 272.389s elapsed time, 265.358s cpu time, 31.468s GC time, factor 0.97
- ML code maximum:
- 2.6 MiB
- ML code average:
- 2 MiB
- ML stack maximum:
- 9 MiB
- ML stack average:
- 8.3 MiB
- ML heap maximum:
- 6.3 GiB
- ML heap average:
- 3.4 GiB
- Isabelle version:
- 4b7fdf77af07
- AFP version:
- 2f539b3aa0b8




Multi_Party_Computation
- data:
- CSV
- timing:
- 0:04:38 elapsed time, 0:04:39 cpu time, factor 1.00
- ML timing:
- 274.269s elapsed time, 275.338s cpu time, 15.169s GC time, factor 1.00
- ML stack maximum:
- 5 MiB
- ML stack average:
- 4.3 MiB
- ML heap maximum:
- 5 GiB
- ML heap average:
- 3.8 GiB
- Isabelle version:
- 4b7fdf77af07
- AFP version:
- 2f539b3aa0b8




Pattern_Completeness
- data:
- CSV
- timing:
- 0:04:37 elapsed time, 0:04:39 cpu time, factor 1.01
- ML timing:
- 273.940s elapsed time, 276.318s cpu time, 12.631s GC time, factor 1.01
- ML code maximum:
- 3.4 MiB
- ML stack maximum:
- 9 MiB
- ML stack average:
- 6.8 MiB
- ML heap maximum:
- 2.9 GiB
- ML heap average:
- 1.9 GiB
- Isabelle version:
- 4b7fdf77af07
- AFP version:
- 2f539b3aa0b8




Alpha_Beta_Pruning
- data:
- CSV
- timing:
- 0:04:36 elapsed time, 0:04:31 cpu time, factor 0.98
- ML timing:
- 272.684s elapsed time, 268.196s cpu time, 35.890s GC time, factor 0.98
- ML code maximum:
- 2.3 MiB
- ML code average:
- 1.8 MiB
- ML stack maximum:
- 5 MiB
- ML stack average:
- 4.8 MiB
- ML heap maximum:
- 4.7 GiB
- ML heap average:
- 2.4 GiB
- Isabelle version:
- 4b7fdf77af07
- AFP version:
- 2f539b3aa0b8




Worklist_Algorithms
- data:
- CSV
- timing:
- 0:04:34 elapsed time, 0:04:35 cpu time, factor 1.00
- ML timing:
- 271.387s elapsed time, 272.643s cpu time, 16.190s GC time, factor 1.00
- ML stack maximum:
- 3 MiB
- ML stack average:
- 3 MiB
- ML heap maximum:
- 3.2 GiB
- ML heap average:
- 1.9 GiB
- Isabelle version:
- 4b7fdf77af07
- AFP version:
- 2f539b3aa0b8




- data:
- CSV
- timing:
- 0:04:33 elapsed time, 0:04:33 cpu time, factor 1.00
- ML timing:
- 256.893s elapsed time, 257.737s cpu time, 9.717s GC time, factor 1.00
- ML stack maximum:
- 9 MiB
- ML stack average:
- 7.8 MiB
- ML heap maximum:
- 1.5 GiB
- ML heap average:
- 1.4 GiB
- ML heap stored:
- 16.3 MiB
- Isabelle version:
- 4b7fdf77af07
- AFP version:
- 2f539b3aa0b8




Hoare_Time
- data:
- CSV
- timing:
- 0:04:30 elapsed time, 0:04:31 cpu time, factor 1.00
- ML timing:
- 267.656s elapsed time, 268.482s cpu time, 18.150s GC time, factor 1.00
- ML stack maximum:
- 3 MiB
- ML stack average:
- 2.9 MiB
- ML heap maximum:
- 5.3 GiB
- ML heap average:
- 3.5 GiB
- Isabelle version:
- 4b7fdf77af07
- AFP version:
- 2f539b3aa0b8




QR_Decomposition
- data:
- CSV
- timing:
- 0:04:28 elapsed time, 0:04:30 cpu time, factor 1.01
- ML timing:
- 265.306s elapsed time, 267.541s cpu time, 12.021s GC time, factor 1.01
- ML code maximum:
- 7.4 MiB
- ML code average:
- 2.8 MiB
- ML stack maximum:
- 17 MiB
- ML stack average:
- 13 MiB
- ML heap maximum:
- 2.9 GiB
- ML heap average:
- 2.3 GiB
- Isabelle version:
- 4b7fdf77af07
- AFP version:
- 2f539b3aa0b8




CAVA_LTL_Modelchecker
- data:
- CSV
- timing:
- 0:04:28 elapsed time, 0:04:20 cpu time, factor 0.97
- ML timing:
- 265.232s elapsed time, 256.671s cpu time, 11.543s GC time, factor 0.97
- ML stack maximum:
- 3 MiB
- ML stack average:
- 3 MiB
- ML heap maximum:
- 2.5 GiB
- ML heap average:
- 1.7 GiB
- Isabelle version:
- 4b7fdf77af07
- AFP version:
- 2f539b3aa0b8




CryptHOL
- data:
- CSV
- timing:
- 0:04:27 elapsed time, 0:04:23 cpu time, factor 0.99
- ML timing:
- 236.037s elapsed time, 232.104s cpu time, 21.019s GC time, factor 0.98
- ML code maximum:
- 1.1 MiB
- ML code average:
- 1.1 MiB
- ML stack maximum:
- 17 MiB
- ML stack average:
- 10.8 MiB
- ML heap maximum:
- 2.1 GiB
- ML heap average:
- 1.4 GiB
- ML heap stored:
- 70.9 MiB
- Isabelle version:
- 4b7fdf77af07
- AFP version:
- 2f539b3aa0b8




Padic_Ints
- data:
- CSV
- timing:
- 0:04:24 elapsed time, 0:04:22 cpu time, factor 0.99
- ML timing:
- 243.709s elapsed time, 242.602s cpu time, 32.079s GC time, factor 1.00
- ML stack maximum:
- 17 MiB
- ML stack average:
- 15.1 MiB
- ML heap maximum:
- 6.3 GiB
- ML heap average:
- 4.1 GiB
- ML heap stored:
- 24 MiB
- Isabelle version:
- 4b7fdf77af07
- AFP version:
- 2f539b3aa0b8




CHERI-C_Memory_Model
- data:
- CSV
- timing:
- 0:04:22 elapsed time, 0:04:19 cpu time, factor 0.99
- ML timing:
- 259.051s elapsed time, 256.741s cpu time, 9.419s GC time, factor 0.99
- ML stack maximum:
- 9 MiB
- ML stack average:
- 7.4 MiB
- ML heap maximum:
- 2.1 GiB
- ML heap average:
- 1.7 GiB
- Isabelle version:
- 4b7fdf77af07
- AFP version:
- 2f539b3aa0b8




LLL_Basis_Reduction
- data:
- CSV
- timing:
- 0:04:22 elapsed time, 0:04:23 cpu time, factor 1.00
- ML timing:
- 241.353s elapsed time, 242.843s cpu time, 16.970s GC time, factor 1.01
- ML stack maximum:
- 5 MiB
- ML stack average:
- 4.7 MiB
- ML heap maximum:
- 4.2 GiB
- ML heap average:
- 2.1 GiB
- ML heap stored:
- 34.8 MiB
- Isabelle version:
- 4b7fdf77af07
- AFP version:
- 2f539b3aa0b8




Levy_Prokhorov_Metric
- data:
- CSV
- timing:
- 0:04:20 elapsed time, 0:04:22 cpu time, factor 1.01
- ML timing:
- 257.579s elapsed time, 260.010s cpu time, 10.812s GC time, factor 1.01
- ML stack maximum:
- 65 MiB
- ML stack average:
- 30.3 MiB
- ML heap maximum:
- 2.6 GiB
- ML heap average:
- 1.5 GiB
- Isabelle version:
- 4b7fdf77af07
- AFP version:
- 2f539b3aa0b8




WebAssembly
- data:
- CSV
- timing:
- 0:04:20 elapsed time, 0:04:22 cpu time, factor 1.01
- ML timing:
- 257.999s elapsed time, 260.088s cpu time, 12.246s GC time, factor 1.01
- ML stack maximum:
- 9 MiB
- ML stack average:
- 8.9 MiB
- ML heap maximum:
- 2 GiB
- ML heap average:
- 1.7 GiB
- Isabelle version:
- 4b7fdf77af07
- AFP version:
- 2f539b3aa0b8




Collections_Examples
- data:
- CSV
- timing:
- 0:04:19 elapsed time, 0:03:51 cpu time, factor 0.89
- ML timing:
- 255.640s elapsed time, 228.200s cpu time, 14.995s GC time, factor 0.89
- ML code maximum:
- 1.3 MiB
- ML stack maximum:
- 5 MiB
- ML stack average:
- 4.8 MiB
- ML heap maximum:
- 2.9 GiB
- ML heap average:
- 2.2 GiB
- Isabelle version:
- 4b7fdf77af07
- AFP version:
- 2f539b3aa0b8




Gromov_Hyperbolicity
- data:
- CSV
- timing:
- 0:04:18 elapsed time, 0:04:21 cpu time, factor 1.01
- ML timing:
- 255.397s elapsed time, 258.404s cpu time, 7.774s GC time, factor 1.01
- ML stack maximum:
- 17 MiB
- ML stack average:
- 11.6 MiB
- ML heap maximum:
- 2.4 GiB
- ML heap average:
- 1.9 GiB
- Isabelle version:
- 4b7fdf77af07
- AFP version:
- 2f539b3aa0b8




Iptables_Semantics
- data:
- CSV
- timing:
- 0:04:13 elapsed time, 0:04:11 cpu time, factor 0.99
- ML timing:
- 225.919s elapsed time, 224.726s cpu time, 16.009s GC time, factor 0.99
- ML code maximum:
- 4.8 MiB
- ML code average:
- 1.6 MiB
- ML stack maximum:
- 5 MiB
- ML stack average:
- 3.4 MiB
- ML heap maximum:
- 5.4 GiB
- ML heap average:
- 2.6 GiB
- ML heap stored:
- 89.5 MiB
- Isabelle version:
- 4b7fdf77af07
- AFP version:
- 2f539b3aa0b8




Interval_Analysis
- data:
- CSV
- timing:
- 0:04:11 elapsed time, 0:03:45 cpu time, factor 0.90
- ML timing:
- 230.969s elapsed time, 204.649s cpu time, 5.213s GC time, factor 0.89
- ML stack maximum:
- 5 MiB
- ML stack average:
- 4.7 MiB
- ML heap maximum:
- 1.5 GiB
- ML heap average:
- 1.4 GiB
- ML heap stored:
- 29 MiB
- Isabelle version:
- 4b7fdf77af07
- AFP version:
- 2f539b3aa0b8




Schwartz_Zippel
- data:
- CSV
- timing:
- 0:04:09 elapsed time, 0:04:12 cpu time, factor 1.01
- ML timing:
- 246.092s elapsed time, 248.434s cpu time, 20.023s GC time, factor 1.01
- ML stack maximum:
- 9 MiB
- ML stack average:
- 7.2 MiB
- ML heap maximum:
- 1.9 GiB
- ML heap average:
- 1.6 GiB
- Isabelle version:
- 4b7fdf77af07
- AFP version:
- 2f539b3aa0b8




Sorted_Terms
- data:
- CSV
- timing:
- 0:04:08 elapsed time, 0:04:08 cpu time, factor 1.00
- ML timing:
- 227.884s elapsed time, 228.792s cpu time, 17.422s GC time, factor 1.00
- ML stack maximum:
- 9 MiB
- ML stack average:
- 8.1 MiB
- ML heap maximum:
- 2.6 GiB
- ML heap average:
- 1.4 GiB
- ML heap stored:
- 40.1 MiB
- Isabelle version:
- 4b7fdf77af07
- AFP version:
- 2f539b3aa0b8




Datatype_Order_Generator
- data:
- CSV
- timing:
- 0:04:06 elapsed time, 0:04:04 cpu time, factor 0.99
- ML timing:
- 209.666s elapsed time, 207.801s cpu time, 15.345s GC time, factor 0.99
- ML stack maximum:
- 5 MiB
- ML stack average:
- 4.4 MiB
- ML heap maximum:
- 3.5 GiB
- ML heap average:
- 1.7 GiB
- ML heap stored:
- 60.2 MiB
- Isabelle version:
- 4b7fdf77af07
- AFP version:
- 2f539b3aa0b8




Linear_Programming
- data:
- CSV
- timing:
- 0:04:06 elapsed time, 0:04:01 cpu time, factor 0.98
- ML timing:
- 243.402s elapsed time, 238.633s cpu time, 9.718s GC time, factor 0.98
- ML stack maximum:
- 33 MiB
- ML stack average:
- 23.6 MiB
- ML heap maximum:
- 2.3 GiB
- ML heap average:
- 1.8 GiB
- Isabelle version:
- 4b7fdf77af07
- AFP version:
- 2f539b3aa0b8




Store_Buffer_Reduction
- data:
- CSV
- timing:
- 0:04:05 elapsed time, 0:04:06 cpu time, factor 1.00
- ML timing:
- 243.262s elapsed time, 244.330s cpu time, 10.407s GC time, factor 1.00
- ML stack maximum:
- 33 MiB
- ML stack average:
- 33 MiB
- ML heap maximum:
- 2.8 GiB
- ML heap average:
- 1.9 GiB
- Isabelle version:
- 4b7fdf77af07
- AFP version:
- 2f539b3aa0b8




Query_Optimization
- data:
- CSV
- timing:
- 0:04:03 elapsed time, 0:04:05 cpu time, factor 1.01
- ML timing:
- 241.116s elapsed time, 243.059s cpu time, 10.720s GC time, factor 1.01
- ML stack maximum:
- 17 MiB
- ML stack average:
- 11.5 MiB
- ML heap maximum:
- 2.6 GiB
- ML heap average:
- 1.7 GiB
- Isabelle version:
- 4b7fdf77af07
- AFP version:
- 2f539b3aa0b8




EnrichedCategoryBasics
- data:
- CSV
- timing:
- 0:03:56 elapsed time, 0:03:56 cpu time, factor 1.00
- ML timing:
- 233.587s elapsed time, 234.080s cpu time, 11.526s GC time, factor 1.00
- ML stack maximum:
- 9 MiB
- ML stack average:
- 9 MiB
- ML heap maximum:
- 3 GiB
- ML heap average:
- 2.5 GiB
- Isabelle version:
- 4b7fdf77af07
- AFP version:
- 2f539b3aa0b8




Notes_On_Goedels_Ontological_Argument
- data:
- CSV
- timing:
- 0:03:51 elapsed time, 0:02:02 cpu time, factor 0.53
- ML timing:
- 230.082s elapsed time, 121.387s cpu time, 1.864s GC time, factor 0.53
- ML stack maximum:
- 3 MiB
- ML stack average:
- 1.8 MiB
- ML heap maximum:
- 1.5 GiB
- ML heap average:
- 1.5 GiB
- Isabelle version:
- 4b7fdf77af07
- AFP version:
- 2f539b3aa0b8




Progress_Tracking
- data:
- CSV
- timing:
- 0:03:51 elapsed time, 0:03:52 cpu time, factor 1.00
- ML timing:
- 229.288s elapsed time, 230.227s cpu time, 2.164s GC time, factor 1.00
- ML stack maximum:
- 5 MiB
- ML stack average:
- 4.7 MiB
- ML heap maximum:
- 1.5 GiB
- ML heap average:
- 1.5 GiB
- Isabelle version:
- 4b7fdf77af07
- AFP version:
- 2f539b3aa0b8




Flow_Networks
- data:
- CSV
- timing:
- 0:03:51 elapsed time, 0:03:45 cpu time, factor 0.97
- ML timing:
- 208.854s elapsed time, 203.739s cpu time, 9.550s GC time, factor 0.98
- ML stack maximum:
- 9 MiB
- ML stack average:
- 6 MiB
- ML heap maximum:
- 2.9 GiB
- ML heap average:
- 1.8 GiB
- ML heap stored:
- 38.2 MiB
- Isabelle version:
- 4b7fdf77af07
- AFP version:
- 2f539b3aa0b8




DP_QBS
- data:
- CSV
- timing:
- 0:03:50 elapsed time, 0:03:53 cpu time, factor 1.01
- ML timing:
- 227.327s elapsed time, 230.368s cpu time, 7.261s GC time, factor 1.01
- ML stack maximum:
- 9 MiB
- ML stack average:
- 5.4 MiB
- ML heap maximum:
- 1.7 GiB
- ML heap average:
- 1.5 GiB
- Isabelle version:
- 4b7fdf77af07
- AFP version:
- 2f539b3aa0b8




Modal_Logics_for_NTS
- data:
- CSV
- timing:
- 0:03:47 elapsed time, 0:03:48 cpu time, factor 1.00
- ML timing:
- 224.157s elapsed time, 225.441s cpu time, 16.088s GC time, factor 1.01
- ML stack maximum:
- 5 MiB
- ML stack average:
- 4.9 MiB
- ML heap maximum:
- 3.2 GiB
- ML heap average:
- 2.4 GiB
- Isabelle version:
- 4b7fdf77af07
- AFP version:
- 2f539b3aa0b8




Functional_Ordered_Resolution_Prover
- data:
- CSV
- timing:
- 0:03:45 elapsed time, 0:03:46 cpu time, factor 1.00
- ML timing:
- 221.626s elapsed time, 222.358s cpu time, 12.840s GC time, factor 1.00
- ML code maximum:
- 1.4 MiB
- ML stack maximum:
- 5 MiB
- ML stack average:
- 5 MiB
- ML heap maximum:
- 3.8 GiB
- ML heap average:
- 2.2 GiB
- Isabelle version:
- 4b7fdf77af07
- AFP version:
- 2f539b3aa0b8




HOL-CSP_PTick
- data:
- CSV
- timing:
- 0:03:45 elapsed time, 0:03:46 cpu time, factor 1.00
- ML timing:
- 198.113s elapsed time, 200.180s cpu time, 15.806s GC time, factor 1.01
- ML stack maximum:
- 5 MiB
- ML stack average:
- 4.6 MiB
- ML heap maximum:
- 4 GiB
- ML heap average:
- 1.8 GiB
- ML heap stored:
- 30.4 MiB
- Isabelle version:
- 4b7fdf77af07
- AFP version:
- 2f539b3aa0b8




Paraconsistency
- data:
- CSV
- timing:
- 0:03:43 elapsed time, 0:03:41 cpu time, factor 0.99
- ML timing:
- 221.411s elapsed time, 220.609s cpu time, 2.479s GC time, factor 1.00
- ML stack maximum:
- 3 MiB
- ML stack average:
- 3 MiB
- ML heap maximum:
- 1.5 GiB
- ML heap average:
- 1.4 GiB
- Isabelle version:
- 4b7fdf77af07
- AFP version:
- 2f539b3aa0b8




Fishers_Inequality
- data:
- CSV
- timing:
- 0:03:43 elapsed time, 0:03:46 cpu time, factor 1.01
- ML timing:
- 219.735s elapsed time, 222.556s cpu time, 9.121s GC time, factor 1.01
- ML stack maximum:
- 5 MiB
- ML stack average:
- 4.1 MiB
- ML heap maximum:
- 2.9 GiB
- ML heap average:
- 2.6 GiB
- Isabelle version:
- 4b7fdf77af07
- AFP version:
- 2f539b3aa0b8




Abstract_Substitution
- data:
- CSV
- timing:
- 0:03:43 elapsed time, 0:03:43 cpu time, factor 1.00
- ML timing:
- 196.296s elapsed time, 195.950s cpu time, 15.474s GC time, factor 1.00
- ML stack maximum:
- 9 MiB
- ML stack average:
- 8 MiB
- ML heap maximum:
- 2.9 GiB
- ML heap average:
- 1.7 GiB
- ML heap stored:
- 78.4 MiB
- Isabelle version:
- 4b7fdf77af07
- AFP version:
- 2f539b3aa0b8




Tree_Enumeration
- data:
- CSV
- timing:
- 0:03:39 elapsed time, 0:03:42 cpu time, factor 1.01
- ML timing:
- 216.450s elapsed time, 219.332s cpu time, 9.637s GC time, factor 1.01
- ML stack maximum:
- 9 MiB
- ML stack average:
- 9 MiB
- ML heap maximum:
- 2.9 GiB
- ML heap average:
- 2.4 GiB
- Isabelle version:
- 4b7fdf77af07
- AFP version:
- 2f539b3aa0b8




Planarity_Certificates
- data:
- CSV
- timing:
- 0:03:37 elapsed time, 0:03:40 cpu time, factor 1.01
- ML timing:
- 214.501s elapsed time, 217.723s cpu time, 14.666s GC time, factor 1.02
- ML code maximum:
- 1.1 MiB
- ML code average:
- 1 MiB
- ML stack maximum:
- 5 MiB
- ML stack average:
- 4.8 MiB
- ML heap maximum:
- 2.9 GiB
- ML heap average:
- 2.2 GiB
- Isabelle version:
- 4b7fdf77af07
- AFP version:
- 2f539b3aa0b8




Stable_Matching
- data:
- CSV
- timing:
- 0:03:37 elapsed time, 0:03:37 cpu time, factor 1.00
- ML timing:
- 215.321s elapsed time, 214.943s cpu time, 4.367s GC time, factor 1.00
- ML stack maximum:
- 9 MiB
- ML stack average:
- 5 MiB
- ML heap maximum:
- 2.9 GiB
- ML heap average:
- 2.2 GiB
- Isabelle version:
- 4b7fdf77af07
- AFP version:
- 2f539b3aa0b8




CoreC++
- data:
- CSV
- timing:
- 0:03:35 elapsed time, 0:03:35 cpu time, factor 1.00
- ML timing:
- 213.429s elapsed time, 213.395s cpu time, 7.534s GC time, factor 1.00
- ML code maximum:
- 7.5 MiB
- ML code average:
- 2.7 MiB
- ML stack maximum:
- 5 MiB
- ML stack average:
- 3.4 MiB
- ML heap maximum:
- 1.5 GiB
- ML heap average:
- 1.4 GiB
- Isabelle version:
- 4b7fdf77af07
- AFP version:
- 2f539b3aa0b8




Interpreter_Optimizations
- data:
- CSV
- timing:
- 0:03:33 elapsed time, 0:03:33 cpu time, factor 1.00
- ML timing:
- 209.441s elapsed time, 210.194s cpu time, 8.596s GC time, factor 1.00
- ML stack maximum:
- 5 MiB
- ML stack average:
- 5 MiB
- ML heap maximum:
- 2.9 GiB
- ML heap average:
- 2.2 GiB
- Isabelle version:
- 4b7fdf77af07
- AFP version:
- 2f539b3aa0b8




- data:
- CSV
- timing:
- 0:03:31 elapsed time, 0:03:30 cpu time, factor 1.00
- ML timing:
- 209.266s elapsed time, 208.411s cpu time, 7.236s GC time, factor 1.00
- ML stack maximum:
- 5 MiB
- ML stack average:
- 4 MiB
- ML heap maximum:
- 1.6 GiB
- ML heap average:
- 1.4 GiB
- Isabelle version:
- 4b7fdf77af07
- AFP version:
- 2f539b3aa0b8




Relational_Method
- data:
- CSV
- timing:
- 0:03:30 elapsed time, 0:03:30 cpu time, factor 1.00
- ML timing:
- 209.565s elapsed time, 209.580s cpu time, 4.130s GC time, factor 1.00
- ML stack maximum:
- 17 MiB
- ML stack average:
- 16.2 MiB
- ML heap maximum:
- 1.5 GiB
- ML heap average:
- 1.4 GiB
- Isabelle version:
- 4b7fdf77af07
- AFP version:
- 2f539b3aa0b8




Relational_Cardinality
- data:
- CSV
- timing:
- 0:03:30 elapsed time, 0:03:07 cpu time, factor 0.89
- ML timing:
- 207.916s elapsed time, 185.272s cpu time, 7.398s GC time, factor 0.89
- ML stack maximum:
- 5 MiB
- ML stack average:
- 4.6 MiB
- ML heap maximum:
- 2.9 GiB
- ML heap average:
- 1.7 GiB
- Isabelle version:
- 4b7fdf77af07
- AFP version:
- 2f539b3aa0b8




Bernoulli
- data:
- CSV
- timing:
- 0:03:29 elapsed time, 0:03:31 cpu time, factor 1.01
- ML timing:
- 187.522s elapsed time, 188.998s cpu time, 13.749s GC time, factor 1.01
- ML stack maximum:
- 5 MiB
- ML stack average:
- 4.3 MiB
- ML heap maximum:
- 3.3 GiB
- ML heap average:
- 2.2 GiB
- ML heap stored:
- 38.8 MiB
- Isabelle version:
- 4b7fdf77af07
- AFP version:
- 2f539b3aa0b8




Lie_Groups
- data:
- CSV
- timing:
- 0:03:29 elapsed time, 0:03:29 cpu time, factor 1.00
- ML timing:
- 205.576s elapsed time, 206.164s cpu time, 18.351s GC time, factor 1.00
- ML code maximum:
- 1.2 MiB
- ML code average:
- 1.2 MiB
- ML stack maximum:
- 5 MiB
- ML stack average:
- 4.6 MiB
- ML heap maximum:
- 4.5 GiB
- ML heap average:
- 2.4 GiB
- Isabelle version:
- 4b7fdf77af07
- AFP version:
- 2f539b3aa0b8




Registers
- data:
- CSV
- timing:
- 0:03:27 elapsed time, 0:03:23 cpu time, factor 0.98
- ML timing:
- 180.544s elapsed time, 177.088s cpu time, 7.254s GC time, factor 0.98
- ML code maximum:
- 2.9 MiB
- ML code average:
- 1.2 MiB
- ML stack maximum:
- 9 MiB
- ML stack average:
- 8.1 MiB
- ML heap maximum:
- 2.4 GiB
- ML heap average:
- 1.4 GiB
- ML heap stored:
- 39.1 MiB
- Isabelle version:
- 4b7fdf77af07
- AFP version:
- 2f539b3aa0b8




Dependent_SIFUM_Refinement
- data:
- CSV
- timing:
- 0:03:25 elapsed time, 0:03:26 cpu time, factor 1.00
- ML timing:
- 203.484s elapsed time, 204.256s cpu time, 10.304s GC time, factor 1.00
- ML stack maximum:
- 9 MiB
- ML stack average:
- 8.5 MiB
- ML heap maximum:
- 2.7 GiB
- ML heap average:
- 1.5 GiB
- Isabelle version:
- 4b7fdf77af07
- AFP version:
- 2f539b3aa0b8




Roth_Arithmetic_Progressions
- data:
- CSV
- timing:
- 0:03:23 elapsed time, 0:03:23 cpu time, factor 1.00
- ML timing:
- 200.047s elapsed time, 201.052s cpu time, 11.956s GC time, factor 1.01
- ML stack maximum:
- 17 MiB
- ML stack average:
- 9.6 MiB
- ML heap maximum:
- 1.7 GiB
- ML heap average:
- 1.4 GiB
- Isabelle version:
- 4b7fdf77af07
- AFP version:
- 2f539b3aa0b8




Flyspeck-Tame
- data:
- CSV
- timing:
- 0:03:23 elapsed time, 0:03:24 cpu time, factor 1.00
- ML timing:
- 199.988s elapsed time, 201.993s cpu time, 10.302s GC time, factor 1.01
- ML stack maximum:
- 17 MiB
- ML stack average:
- 13.6 MiB
- ML heap maximum:
- 2.9 GiB
- ML heap average:
- 2.4 GiB
- Isabelle version:
- 4b7fdf77af07
- AFP version:
- 2f539b3aa0b8




CVP_Hardness
- data:
- CSV
- timing:
- 0:03:22 elapsed time, 0:03:18 cpu time, factor 0.98
- ML timing:
- 199.721s elapsed time, 195.875s cpu time, 7.031s GC time, factor 0.98
- ML stack maximum:
- 5 MiB
- ML stack average:
- 4.8 MiB
- ML heap maximum:
- 1.6 GiB
- ML heap average:
- 1.4 GiB
- Isabelle version:
- 4b7fdf77af07
- AFP version:
- 2f539b3aa0b8




Grothendieck_Schemes
- data:
- CSV
- timing:
- 0:03:22 elapsed time, 0:03:22 cpu time, factor 1.00
- ML timing:
- 199.665s elapsed time, 199.906s cpu time, 11.121s GC time, factor 1.00
- ML stack maximum:
- 17 MiB
- ML stack average:
- 12.8 MiB
- ML heap maximum:
- 2.9 GiB
- ML heap average:
- 2.4 GiB
- Isabelle version:
- 4b7fdf77af07
- AFP version:
- 2f539b3aa0b8




Probabilistic_Noninterference
- data:
- CSV
- timing:
- 0:03:21 elapsed time, 0:03:19 cpu time, factor 0.99
- ML timing:
- 197.980s elapsed time, 196.068s cpu time, 13.494s GC time, factor 0.99
- ML stack maximum:
- 9 MiB
- ML stack average:
- 8.9 MiB
- ML heap maximum:
- 2.9 GiB
- ML heap average:
- 2.1 GiB
- Isabelle version:
- 4b7fdf77af07
- AFP version:
- 2f539b3aa0b8




InfPathElimination
- data:
- CSV
- timing:
- 0:03:20 elapsed time, 0:03:20 cpu time, factor 1.00
- ML timing:
- 198.694s elapsed time, 199.261s cpu time, 2.100s GC time, factor 1.00
- ML stack maximum:
- 9 MiB
- ML stack average:
- 7.9 MiB
- ML heap maximum:
- 1.5 GiB
- ML heap average:
- 1.4 GiB
- Isabelle version:
- 4b7fdf77af07
- AFP version:
- 2f539b3aa0b8




Constructive_Cryptography
- data:
- CSV
- timing:
- 0:03:19 elapsed time, 0:03:19 cpu time, factor 1.00
- ML timing:
- 178.609s elapsed time, 179.305s cpu time, 2.262s GC time, factor 1.00
- ML stack maximum:
- 5 MiB
- ML stack average:
- 4.6 MiB
- ML heap maximum:
- 1.5 GiB
- ML heap average:
- 1.3 GiB
- ML heap stored:
- 19.8 MiB
- Isabelle version:
- 4b7fdf77af07
- AFP version:
- 2f539b3aa0b8




IMP_Noninterference_Extension
- data:
- CSV
- timing:
- 0:03:17 elapsed time, 0:03:18 cpu time, factor 1.01
- ML timing:
- 196.202s elapsed time, 197.110s cpu time, 5.310s GC time, factor 1.00
- ML stack maximum:
- 5 MiB
- ML stack average:
- 3.9 MiB
- ML heap maximum:
- 1.8 GiB
- ML heap average:
- 1.4 GiB
- Isabelle version:
- 4b7fdf77af07
- AFP version:
- 2f539b3aa0b8




Markov_Models
- data:
- CSV
- timing:
- 0:03:16 elapsed time, 0:03:14 cpu time, factor 0.99
- ML timing:
- 171.978s elapsed time, 170.807s cpu time, 8.243s GC time, factor 0.99
- ML stack maximum:
- 9 MiB
- ML stack average:
- 7.7 MiB
- ML heap maximum:
- 2.9 GiB
- ML heap average:
- 1.5 GiB
- ML heap stored:
- 49.7 MiB
- Isabelle version:
- 4b7fdf77af07
- AFP version:
- 2f539b3aa0b8




Dirichlet_L
- data:
- CSV
- timing:
- 0:03:16 elapsed time, 0:03:18 cpu time, factor 1.01
- ML timing:
- 193.150s elapsed time, 195.435s cpu time, 12.973s GC time, factor 1.01
- ML stack maximum:
- 5 MiB
- ML stack average:
- 4.5 MiB
- ML heap maximum:
- 3 GiB
- ML heap average:
- 1.6 GiB
- Isabelle version:
- 4b7fdf77af07
- AFP version:
- 2f539b3aa0b8




KBPs
- data:
- CSV
- timing:
- 0:03:15 elapsed time, 0:03:16 cpu time, factor 1.01
- ML timing:
- 193.135s elapsed time, 193.986s cpu time, 7.918s GC time, factor 1.00
- ML stack maximum:
- 5 MiB
- ML stack average:
- 3.3 MiB
- ML heap maximum:
- 1.6 GiB
- ML heap average:
- 1.6 GiB
- Isabelle version:
- 4b7fdf77af07
- AFP version:
- 2f539b3aa0b8




Interval_Arithmetic_Word32
- data:
- CSV
- timing:
- 0:03:14 elapsed time, 0:03:14 cpu time, factor 1.00
- ML timing:
- 193.052s elapsed time, 193.337s cpu time, 4.994s GC time, factor 1.00
- ML stack maximum:
- 65 MiB
- ML stack average:
- 59.8 MiB
- ML heap maximum:
- 1.9 GiB
- ML heap average:
- 1.8 GiB
- Isabelle version:
- 4b7fdf77af07
- AFP version:
- 2f539b3aa0b8




ConcurrentHOL
- data:
- CSV
- timing:
- 0:03:14 elapsed time, 0:03:15 cpu time, factor 1.01
- ML timing:
- 191.575s elapsed time, 192.774s cpu time, 11.331s GC time, factor 1.01
- ML code maximum:
- 4.7 MiB
- ML code average:
- 3.7 MiB
- ML stack maximum:
- 9 MiB
- ML stack average:
- 9 MiB
- ML heap maximum:
- 1.9 GiB
- ML heap average:
- 1.5 GiB
- Isabelle version:
- 4b7fdf77af07
- AFP version:
- 2f539b3aa0b8




E_Transcendental
- data:
- CSV
- timing:
- 0:03:13 elapsed time, 0:03:15 cpu time, factor 1.01
- ML timing:
- 170.219s elapsed time, 172.866s cpu time, 11.220s GC time, factor 1.02
- ML stack maximum:
- 5 MiB
- ML stack average:
- 4.2 MiB
- ML heap maximum:
- 2.9 GiB
- ML heap average:
- 2 GiB
- ML heap stored:
- 38.2 MiB
- Isabelle version:
- 4b7fdf77af07
- AFP version:
- 2f539b3aa0b8




Rewrite_Properties_Reduction
- data:
- CSV
- timing:
- 0:03:12 elapsed time, 0:03:14 cpu time, factor 1.01
- ML timing:
- 188.748s elapsed time, 191.229s cpu time, 14.629s GC time, factor 1.01
- ML stack maximum:
- 9 MiB
- ML stack average:
- 7.2 MiB
- ML heap maximum:
- 2.1 GiB
- ML heap average:
- 1.7 GiB
- Isabelle version:
- 4b7fdf77af07
- AFP version:
- 2f539b3aa0b8




Safe_OCL
- data:
- CSV
- timing:
- 0:03:11 elapsed time, 0:03:10 cpu time, factor 0.99
- ML timing:
- 188.073s elapsed time, 188.110s cpu time, 7.828s GC time, factor 1.00
- ML code maximum:
- 2.7 MiB
- ML stack maximum:
- 3 MiB
- ML stack average:
- 3 MiB
- ML heap maximum:
- 2.5 GiB
- ML heap average:
- 1.9 GiB
- Isabelle version:
- 4b7fdf77af07
- AFP version:
- 2f539b3aa0b8




HOL-CSP
- data:
- CSV
- timing:
- 0:03:10 elapsed time, 0:03:11 cpu time, factor 1.01
- ML timing:
- 172.776s elapsed time, 174.271s cpu time, 10.096s GC time, factor 1.01
- ML stack maximum:
- 5 MiB
- ML stack average:
- 4.7 MiB
- ML heap maximum:
- 1.5 GiB
- ML heap average:
- 1.3 GiB
- ML heap stored:
- 22.9 MiB
- Isabelle version:
- 4b7fdf77af07
- AFP version:
- 2f539b3aa0b8




Symmetric_Polynomials
- data:
- CSV
- timing:
- 0:03:10 elapsed time, 0:03:09 cpu time, factor 0.99
- ML timing:
- 172.428s elapsed time, 171.871s cpu time, 12.566s GC time, factor 1.00
- ML code maximum:
- 5.3 MiB
- ML stack maximum:
- 5 MiB
- ML stack average:
- 4.6 MiB
- ML heap maximum:
- 3.6 GiB
- ML heap average:
- 1.7 GiB
- ML heap stored:
- 52.5 MiB
- Isabelle version:
- 4b7fdf77af07
- AFP version:
- 2f539b3aa0b8




Count_Complex_Roots
- data:
- CSV
- timing:
- 0:03:09 elapsed time, 0:03:10 cpu time, factor 1.01
- ML timing:
- 170.628s elapsed time, 172.586s cpu time, 6.669s GC time, factor 1.01
- ML stack maximum:
- 9 MiB
- ML stack average:
- 7 MiB
- ML heap maximum:
- 1.9 GiB
- ML heap average:
- 1.3 GiB
- ML heap stored:
- 28.3 MiB
- Isabelle version:
- 4b7fdf77af07
- AFP version:
- 2f539b3aa0b8




Proof_Strategy_Language
- data:
- CSV
- timing:
- 0:03:09 elapsed time, 0:01:49 cpu time, factor 0.58
- ML timing:
- 187.804s elapsed time, 107.857s cpu time, 4.290s GC time, factor 0.57
- ML stack maximum:
- 4 MiB
- ML stack average:
- 3 MiB
- ML heap maximum:
- 1.6 GiB
- ML heap average:
- 1.5 GiB
- Isabelle version:
- 4b7fdf77af07
- AFP version:
- 2f539b3aa0b8




Riesz_Representation
- data:
- CSV
- timing:
- 0:03:09 elapsed time, 0:03:10 cpu time, factor 1.01
- ML timing:
- 186.642s elapsed time, 188.198s cpu time, 6.386s GC time, factor 1.01
- ML stack maximum:
- 65 MiB
- ML stack average:
- 28.3 MiB
- ML heap maximum:
- 1.7 GiB
- ML heap average:
- 1.4 GiB
- Isabelle version:
- 4b7fdf77af07
- AFP version:
- 2f539b3aa0b8




Hilbert_Space_Tensor_Product
- data:
- CSV
- timing:
- 0:03:08 elapsed time, 0:03:09 cpu time, factor 1.01
- ML timing:
- 160.490s elapsed time, 161.213s cpu time, 8.021s GC time, factor 1.00
- ML stack maximum:
- 9 MiB
- ML stack average:
- 5.6 MiB
- ML heap maximum:
- 2.9 GiB
- ML heap average:
- 1.5 GiB
- ML heap stored:
- 43.3 MiB
- Isabelle version:
- 4b7fdf77af07
- AFP version:
- 2f539b3aa0b8




Orient_Rewrite_Rule_Undecidable
- data:
- CSV
- timing:
- 0:03:08 elapsed time, 0:03:11 cpu time, factor 1.02
- ML timing:
- 185.434s elapsed time, 188.469s cpu time, 9.057s GC time, factor 1.02
- ML stack maximum:
- 9 MiB
- ML stack average:
- 8.5 MiB
- ML heap maximum:
- 2.9 GiB
- ML heap average:
- 1.8 GiB
- Isabelle version:
- 4b7fdf77af07
- AFP version:
- 2f539b3aa0b8




Eval_FO
- data:
- CSV
- timing:
- 0:03:07 elapsed time, 0:03:04 cpu time, factor 0.98
- ML timing:
- 184.870s elapsed time, 181.543s cpu time, 5.719s GC time, factor 0.98
- ML code maximum:
- 1.6 MiB
- ML stack maximum:
- 9 MiB
- ML stack average:
- 8 MiB
- ML heap maximum:
- 1.8 GiB
- ML heap average:
- 1.4 GiB
- Isabelle version:
- 4b7fdf77af07
- AFP version:
- 2f539b3aa0b8




Promela
- data:
- CSV
- timing:
- 0:03:04 elapsed time, 0:03:03 cpu time, factor 0.99
- ML timing:
- 181.094s elapsed time, 179.877s cpu time, 5.176s GC time, factor 0.99
- ML stack maximum:
- 5 MiB
- ML stack average:
- 3.8 MiB
- ML heap maximum:
- 1.5 GiB
- ML heap average:
- 1.4 GiB
- Isabelle version:
- 4b7fdf77af07
- AFP version:
- 2f539b3aa0b8




Safe_Distance
- data:
- CSV
- timing:
- 0:03:02 elapsed time, 0:02:57 cpu time, factor 0.97
- ML timing:
- 179.427s elapsed time, 175.117s cpu time, 9.095s GC time, factor 0.98
- ML code maximum:
- 1 MiB
- ML stack maximum:
- 65 MiB
- ML stack average:
- 12.9 MiB
- ML heap maximum:
- 2.1 GiB
- ML heap average:
- 1.5 GiB
- Isabelle version:
- 4b7fdf77af07
- AFP version:
- 2f539b3aa0b8




Difference_Bound_Matrices
- data:
- CSV
- timing:
- 0:02:59 elapsed time, 0:02:59 cpu time, factor 1.00
- ML timing:
- 159.271s elapsed time, 159.553s cpu time, 2.855s GC time, factor 1.00
- ML stack maximum:
- 5 MiB
- ML stack average:
- 4.3 MiB
- ML heap maximum:
- 1.5 GiB
- ML heap average:
- 1.3 GiB
- ML heap stored:
- 27 MiB
- Isabelle version:
- 4b7fdf77af07
- AFP version:
- 2f539b3aa0b8




Hermite_Lindemann
- data:
- CSV
- timing:
- 0:02:58 elapsed time, 0:03:01 cpu time, factor 1.02
- ML timing:
- 174.873s elapsed time, 178.059s cpu time, 9.099s GC time, factor 1.02
- ML stack maximum:
- 5 MiB
- ML stack average:
- 5 MiB
- ML heap maximum:
- 2.2 GiB
- ML heap average:
- 1.6 GiB
- Isabelle version:
- 4b7fdf77af07
- AFP version:
- 2f539b3aa0b8




Types_To_Sets_Extension
- data:
- CSV
- timing:
- 0:02:58 elapsed time, 0:03:00 cpu time, factor 1.01
- ML timing:
- 175.807s elapsed time, 177.927s cpu time, 6.248s GC time, factor 1.01
- ML code maximum:
- 1.1 MiB
- ML code average:
- 1 MiB
- ML stack maximum:
- 5 MiB
- ML stack average:
- 4.5 MiB
- ML heap maximum:
- 2.7 GiB
- ML heap average:
- 1.9 GiB
- Isabelle version:
- 4b7fdf77af07
- AFP version:
- 2f539b3aa0b8




LOFT
- data:
- CSV
- timing:
- 0:02:57 elapsed time, 0:02:56 cpu time, factor 0.99
- ML timing:
- 174.701s elapsed time, 174.676s cpu time, 5.687s GC time, factor 1.00
- ML code maximum:
- 5.9 MiB
- ML code average:
- 2.8 MiB
- ML stack maximum:
- 5 MiB
- ML stack average:
- 3.7 MiB
- ML heap maximum:
- 1.9 GiB
- ML heap average:
- 1.5 GiB
- Isabelle version:
- 4b7fdf77af07
- AFP version:
- 2f539b3aa0b8




LTL_to_DRA
- data:
- CSV
- timing:
- 0:02:56 elapsed time, 0:02:57 cpu time, factor 1.01
- ML timing:
- 172.692s elapsed time, 173.882s cpu time, 12.911s GC time, factor 1.01
- ML stack maximum:
- 5 MiB
- ML stack average:
- 4.4 MiB
- ML heap maximum:
- 3.5 GiB
- ML heap average:
- 1.9 GiB
- Isabelle version:
- 4b7fdf77af07
- AFP version:
- 2f539b3aa0b8




Verified_SAT_Based_AI_Planning
- data:
- CSV
- timing:
- 0:02:56 elapsed time, 0:02:57 cpu time, factor 1.01
- ML timing:
- 173.760s elapsed time, 175.366s cpu time, 8.838s GC time, factor 1.01
- ML stack maximum:
- 9 MiB
- ML stack average:
- 4.8 MiB
- ML heap maximum:
- 1.5 GiB
- ML heap average:
- 1.4 GiB
- Isabelle version:
- 4b7fdf77af07
- AFP version:
- 2f539b3aa0b8




LTL_Master_Theorem
- data:
- CSV
- timing:
- 0:02:56 elapsed time, 0:02:57 cpu time, factor 1.01
- ML timing:
- 172.474s elapsed time, 173.448s cpu time, 9.936s GC time, factor 1.01
- ML stack maximum:
- 5 MiB
- ML stack average:
- 4.7 MiB
- ML heap maximum:
- 2.9 GiB
- ML heap average:
- 1.8 GiB
- Isabelle version:
- 4b7fdf77af07
- AFP version:
- 2f539b3aa0b8




Hypergraph_Colourings
- data:
- CSV
- timing:
- 0:02:55 elapsed time, 0:02:56 cpu time, factor 1.01
- ML timing:
- 172.065s elapsed time, 173.666s cpu time, 8.247s GC time, factor 1.01
- ML stack maximum:
- 3 MiB
- ML stack average:
- 3 MiB
- ML heap maximum:
- 2.9 GiB
- ML heap average:
- 1.9 GiB
- Isabelle version:
- 4b7fdf77af07
- AFP version:
- 2f539b3aa0b8




Simpl
- data:
- CSV
- timing:
- 0:02:55 elapsed time, 0:02:57 cpu time, factor 1.01
- ML timing:
- 155.809s elapsed time, 158.637s cpu time, 9.166s GC time, factor 1.02
- ML code maximum:
- 1.9 MiB
- ML code average:
- 1.1 MiB
- ML stack maximum:
- 9 MiB
- ML stack average:
- 8.2 MiB
- ML heap maximum:
- 2.9 GiB
- ML heap average:
- 1.5 GiB
- ML heap stored:
- 53.6 MiB
- Isabelle version:
- 4b7fdf77af07
- AFP version:
- 2f539b3aa0b8




VYDRA_MDL
- data:
- CSV
- timing:
- 0:02:54 elapsed time, 0:02:54 cpu time, factor 1.00
- ML timing:
- 170.796s elapsed time, 171.135s cpu time, 8.578s GC time, factor 1.00
- ML stack maximum:
- 5 MiB
- ML stack average:
- 4.6 MiB
- ML heap maximum:
- 2.9 GiB
- ML heap average:
- 1.7 GiB
- Isabelle version:
- 4b7fdf77af07
- AFP version:
- 2f539b3aa0b8




With_Type
- data:
- CSV
- timing:
- 0:02:53 elapsed time, 0:02:54 cpu time, factor 1.01
- ML timing:
- 170.394s elapsed time, 171.953s cpu time, 7.098s GC time, factor 1.01
- ML code maximum:
- 1.6 MiB
- ML stack maximum:
- 9 MiB
- ML stack average:
- 8.6 MiB
- ML heap maximum:
- 2.9 GiB
- ML heap average:
- 1.8 GiB
- Isabelle version:
- 4b7fdf77af07
- AFP version:
- 2f539b3aa0b8




Akra_Bazzi
- data:
- CSV
- timing:
- 0:02:51 elapsed time, 0:02:53 cpu time, factor 1.01
- ML timing:
- 153.002s elapsed time, 154.620s cpu time, 5.310s GC time, factor 1.01
- ML stack maximum:
- 17 MiB
- ML stack average:
- 7.9 MiB
- ML heap maximum:
- 2.4 GiB
- ML heap average:
- 1.5 GiB
- ML heap stored:
- 42.5 MiB
- Isabelle version:
- 4b7fdf77af07
- AFP version:
- 2f539b3aa0b8




Inductive_Inference
- data:
- CSV
- timing:
- 0:02:51 elapsed time, 0:02:51 cpu time, factor 1.00
- ML timing:
- 169.700s elapsed time, 170.679s cpu time, 2.464s GC time, factor 1.01
- ML stack maximum:
- 5 MiB
- ML stack average:
- 5 MiB
- ML heap maximum:
- 1.5 GiB
- ML heap average:
- 1.4 GiB
- Isabelle version:
- 4b7fdf77af07
- AFP version:
- 2f539b3aa0b8




SM
- data:
- CSV
- timing:
- 0:02:50 elapsed time, 0:02:47 cpu time, factor 0.98
- ML timing:
- 166.933s elapsed time, 164.551s cpu time, 9.130s GC time, factor 0.99
- ML stack maximum:
- 3 MiB
- ML stack average:
- 3 MiB
- ML heap maximum:
- 2.7 GiB
- ML heap average:
- 1.7 GiB
- Isabelle version:
- 4b7fdf77af07
- AFP version:
- 2f539b3aa0b8




Galois_Energy_Games
- data:
- CSV
- timing:
- 0:02:50 elapsed time, 0:02:48 cpu time, factor 0.99
- ML timing:
- 168.113s elapsed time, 165.752s cpu time, 9.002s GC time, factor 0.99
- ML stack maximum:
- 9 MiB
- ML stack average:
- 7.9 MiB
- ML heap maximum:
- 1.5 GiB
- ML heap average:
- 1.4 GiB
- Isabelle version:
- 4b7fdf77af07
- AFP version:
- 2f539b3aa0b8




Containers
- data:
- CSV
- timing:
- 0:02:49 elapsed time, 0:02:41 cpu time, factor 0.95
- ML timing:
- 144.983s elapsed time, 137.049s cpu time, 12.293s GC time, factor 0.95
- ML code maximum:
- 2 MiB
- ML code average:
- 1.1 MiB
- ML stack maximum:
- 5 MiB
- ML stack average:
- 4.3 MiB
- ML heap maximum:
- 2.8 GiB
- ML heap average:
- 1.7 GiB
- ML heap stored:
- 57.9 MiB
- Isabelle version:
- 4b7fdf77af07
- AFP version:
- 2f539b3aa0b8




IMP2
- data:
- CSV
- timing:
- 0:02:49 elapsed time, 0:02:49 cpu time, factor 1.00
- ML timing:
- 160.101s elapsed time, 160.449s cpu time, 2.390s GC time, factor 1.00
- ML code maximum:
- 1.3 MiB
- ML code average:
- 1.1 MiB
- ML stack maximum:
- 9 MiB
- ML stack average:
- 8.6 MiB
- ML heap maximum:
- 1.5 GiB
- ML heap average:
- 1.4 GiB
- ML heap stored:
- 28.1 MiB
- Isabelle version:
- 4b7fdf77af07
- AFP version:
- 2f539b3aa0b8




Ordinal_Partitions
- data:
- CSV
- timing:
- 0:02:49 elapsed time, 0:02:50 cpu time, factor 1.01
- ML timing:
- 167.187s elapsed time, 168.925s cpu time, 5.322s GC time, factor 1.01
- ML stack maximum:
- 9 MiB
- ML stack average:
- 6 MiB
- ML heap maximum:
- 1.5 GiB
- ML heap average:
- 1.4 GiB
- Isabelle version:
- 4b7fdf77af07
- AFP version:
- 2f539b3aa0b8




Allen_Calculus
- data:
- CSV
- timing:
- 0:02:49 elapsed time, 0:02:49 cpu time, factor 1.00
- ML timing:
- 168.383s elapsed time, 168.867s cpu time, 2.069s GC time, factor 1.00
- ML stack maximum:
- 9 MiB
- ML stack average:
- 5.2 MiB
- ML heap maximum:
- 1.5 GiB
- ML heap average:
- 1.5 GiB
- Isabelle version:
- 4b7fdf77af07
- AFP version:
- 2f539b3aa0b8




Binding_Syntax_Theory
- data:
- CSV
- timing:
- 0:02:48 elapsed time, 0:02:48 cpu time, factor 1.00
- ML timing:
- 165.045s elapsed time, 166.215s cpu time, 12.977s GC time, factor 1.01
- ML stack maximum:
- 9 MiB
- ML stack average:
- 6.4 MiB
- ML heap maximum:
- 2.8 GiB
- ML heap average:
- 1.7 GiB
- Isabelle version:
- 4b7fdf77af07
- AFP version:
- 2f539b3aa0b8




Dependent_SIFUM_Type_Systems
- data:
- CSV
- timing:
- 0:02:47 elapsed time, 0:02:48 cpu time, factor 1.01
- ML timing:
- 149.078s elapsed time, 150.003s cpu time, 11.321s GC time, factor 1.01
- ML stack maximum:
- 9 MiB
- ML stack average:
- 7.3 MiB
- ML heap maximum:
- 1.7 GiB
- ML heap average:
- 1.4 GiB
- ML heap stored:
- 31.6 MiB
- Isabelle version:
- 4b7fdf77af07
- AFP version:
- 2f539b3aa0b8




Chebyshev_Prime_Bounds
- data:
- CSV
- timing:
- 0:02:47 elapsed time, 0:02:48 cpu time, factor 1.01
- ML timing:
- 164.231s elapsed time, 165.515s cpu time, 5.735s GC time, factor 1.01
- ML stack maximum:
- 17 MiB
- ML stack average:
- 9.4 MiB
- ML heap maximum:
- 1.5 GiB
- ML heap average:
- 1.4 GiB
- Isabelle version:
- 4b7fdf77af07
- AFP version:
- 2f539b3aa0b8




MFOTL_Monitor
- data:
- CSV
- timing:
- 0:02:46 elapsed time, 0:02:46 cpu time, factor 1.00
- ML timing:
- 148.049s elapsed time, 148.537s cpu time, 5.708s GC time, factor 1.00
- ML code maximum:
- 2.3 MiB
- ML stack maximum:
- 5 MiB
- ML stack average:
- 4.1 MiB
- ML heap maximum:
- 2.6 GiB
- ML heap average:
- 1.4 GiB
- ML heap stored:
- 24.1 MiB
- Isabelle version:
- 4b7fdf77af07
- AFP version:
- 2f539b3aa0b8




Sets_Revisited
- data:
- CSV
- timing:
- 0:02:46 elapsed time, 0:02:47 cpu time, factor 1.01
- ML timing:
- 164.156s elapsed time, 164.914s cpu time, 4.984s GC time, factor 1.00
- ML stack maximum:
- 9 MiB
- ML stack average:
- 8.2 MiB
- ML heap maximum:
- 1.9 GiB
- ML heap average:
- 1.6 GiB
- Isabelle version:
- 4b7fdf77af07
- AFP version:
- 2f539b3aa0b8




Parity_Game
- data:
- CSV
- timing:
- 0:02:45 elapsed time, 0:02:44 cpu time, factor 0.99
- ML timing:
- 149.477s elapsed time, 149.050s cpu time, 9.511s GC time, factor 1.00
- ML stack maximum:
- 9 MiB
- ML stack average:
- 8.3 MiB
- ML heap maximum:
- 2.5 GiB
- ML heap average:
- 1.4 GiB
- ML heap stored:
- 48.6 MiB
- Isabelle version:
- 4b7fdf77af07
- AFP version:
- 2f539b3aa0b8




Karatsuba
- data:
- CSV
- timing:
- 0:02:44 elapsed time, 0:02:46 cpu time, factor 1.01
- ML timing:
- 160.600s elapsed time, 163.139s cpu time, 12.846s GC time, factor 1.02
- ML stack maximum:
- 5 MiB
- ML stack average:
- 4.6 MiB
- ML heap maximum:
- 2.9 GiB
- ML heap average:
- 2.1 GiB
- Isabelle version:
- 4b7fdf77af07
- AFP version:
- 2f539b3aa0b8




Prpu_Maxflow
- data:
- CSV
- timing:
- 0:02:43 elapsed time, 0:02:30 cpu time, factor 0.92
- ML timing:
- 161.120s elapsed time, 148.147s cpu time, 5.621s GC time, factor 0.92
- ML stack maximum:
- 9 MiB
- ML stack average:
- 5.2 MiB
- ML heap maximum:
- 1.5 GiB
- ML heap average:
- 1.4 GiB
- Isabelle version:
- 4b7fdf77af07
- AFP version:
- 2f539b3aa0b8




Gale_Shapley
- data:
- CSV
- timing:
- 0:02:43 elapsed time, 0:02:41 cpu time, factor 0.99
- ML timing:
- 161.089s elapsed time, 159.844s cpu time, 6.586s GC time, factor 0.99
- ML code maximum:
- 1.4 MiB
- ML code average:
- 1.3 MiB
- ML stack maximum:
- 9 MiB
- ML stack average:
- 8.5 MiB
- ML heap maximum:
- 1.5 GiB
- ML heap average:
- 1.4 GiB
- Isabelle version:
- 4b7fdf77af07
- AFP version:
- 2f539b3aa0b8




Furstenberg_Topology
- data:
- CSV
- timing:
- 0:02:42 elapsed time, 0:02:44 cpu time, factor 1.01
- ML timing:
- 159.181s elapsed time, 161.506s cpu time, 15.313s GC time, factor 1.01
- ML stack maximum:
- 5 MiB
- ML stack average:
- 4.6 MiB
- ML heap maximum:
- 4.2 GiB
- ML heap average:
- 2.3 GiB
- Isabelle version:
- 4b7fdf77af07
- AFP version:
- 2f539b3aa0b8




LEM
- data:
- CSV
- timing:
- 0:02:40 elapsed time, 0:02:42 cpu time, factor 1.01
- ML timing:
- 140.411s elapsed time, 142.367s cpu time, 8.128s GC time, factor 1.01
- ML stack maximum:
- 9 MiB
- ML stack average:
- 8.1 MiB
- ML heap maximum:
- 3 GiB
- ML heap average:
- 1.7 GiB
- ML heap stored:
- 70.4 MiB
- Isabelle version:
- 4b7fdf77af07
- AFP version:
- 2f539b3aa0b8




Chandy_Lamport
- data:
- CSV
- timing:
- 0:02:40 elapsed time, 0:02:41 cpu time, factor 1.01
- ML timing:
- 157.778s elapsed time, 158.797s cpu time, 5.177s GC time, factor 1.01
- ML stack maximum:
- 9 MiB
- ML stack average:
- 6.6 MiB
- ML heap maximum:
- 2.2 GiB
- ML heap average:
- 1.9 GiB
- Isabelle version:
- 4b7fdf77af07
- AFP version:
- 2f539b3aa0b8




Gabow_SCC
- data:
- CSV
- timing:
- 0:02:40 elapsed time, 0:02:38 cpu time, factor 0.99
- ML timing:
- 157.352s elapsed time, 155.634s cpu time, 3.616s GC time, factor 0.99
- ML stack maximum:
- 5 MiB
- ML stack average:
- 5 MiB
- ML heap maximum:
- 1.5 GiB
- ML heap average:
- 1.4 GiB
- Isabelle version:
- 4b7fdf77af07
- AFP version:
- 2f539b3aa0b8




Completeness_Decreasing_Diagrams_for_N1
- data:
- CSV
- timing:
- 0:02:40 elapsed time, 0:02:42 cpu time, factor 1.01
- ML timing:
- 157.415s elapsed time, 159.998s cpu time, 10.908s GC time, factor 1.02
- ML stack maximum:
- 33 MiB
- ML stack average:
- 24.4 MiB
- ML heap maximum:
- 2.2 GiB
- ML heap average:
- 1.6 GiB
- Isabelle version:
- 4b7fdf77af07
- AFP version:
- 2f539b3aa0b8




Relational_Disjoint_Set_Forests
- data:
- CSV
- timing:
- 0:02:39 elapsed time, 0:02:28 cpu time, factor 0.93
- ML timing:
- 142.898s elapsed time, 132.176s cpu time, 5.635s GC time, factor 0.92
- ML stack maximum:
- 9 MiB
- ML stack average:
- 7 MiB
- ML heap maximum:
- 1.9 GiB
- ML heap average:
- 1.5 GiB
- ML heap stored:
- 16.1 MiB
- Isabelle version:
- 4b7fdf77af07
- AFP version:
- 2f539b3aa0b8




Poincare_Bendixson
- data:
- CSV
- timing:
- 0:02:39 elapsed time, 0:02:36 cpu time, factor 0.98
- ML timing:
- 137.041s elapsed time, 134.121s cpu time, 3.236s GC time, factor 0.98
- ML stack maximum:
- 5 MiB
- ML stack average:
- 4.1 MiB
- ML heap maximum:
- 1.5 GiB
- ML heap average:
- 1.3 GiB
- ML heap stored:
- 14.8 MiB
- Isabelle version:
- 4b7fdf77af07
- AFP version:
- 2f539b3aa0b8




List_Update
- data:
- CSV
- timing:
- 0:02:39 elapsed time, 0:02:40 cpu time, factor 1.01
- ML timing:
- 155.945s elapsed time, 157.423s cpu time, 7.336s GC time, factor 1.01
- ML stack maximum:
- 5 MiB
- ML stack average:
- 4.3 MiB
- ML heap maximum:
- 2.8 GiB
- ML heap average:
- 2.4 GiB
- Isabelle version:
- 4b7fdf77af07
- AFP version:
- 2f539b3aa0b8




Prime_Harmonic_Series
- data:
- CSV
- timing:
- 0:02:38 elapsed time, 0:02:40 cpu time, factor 1.01
- ML timing:
- 155.707s elapsed time, 157.985s cpu time, 13.150s GC time, factor 1.01
- ML stack maximum:
- 5 MiB
- ML stack average:
- 4.6 MiB
- ML heap maximum:
- 3.8 GiB
- ML heap average:
- 2.3 GiB
- Isabelle version:
- 4b7fdf77af07
- AFP version:
- 2f539b3aa0b8




Algebraic_VCs
- data:
- CSV
- timing:
- 0:02:38 elapsed time, 0:02:38 cpu time, factor 1.00
- ML timing:
- 155.256s elapsed time, 155.993s cpu time, 8.954s GC time, factor 1.00
- ML stack maximum:
- 3 MiB
- ML stack average:
- 2.9 MiB
- ML heap maximum:
- 3.7 GiB
- ML heap average:
- 1.8 GiB
- Isabelle version:
- 4b7fdf77af07
- AFP version:
- 2f539b3aa0b8




BenOr_Kozen_Reif
- data:
- CSV
- timing:
- 0:02:37 elapsed time, 0:02:36 cpu time, factor 0.99
- ML timing:
- 154.228s elapsed time, 154.332s cpu time, 3.465s GC time, factor 1.00
- ML stack maximum:
- 9 MiB
- ML stack average:
- 7.2 MiB
- ML heap maximum:
- 1.5 GiB
- ML heap average:
- 1.4 GiB
- Isabelle version:
- 4b7fdf77af07
- AFP version:
- 2f539b3aa0b8




Simplicial_complexes_and_boolean_functions
- data:
- CSV
- timing:
- 0:02:37 elapsed time, 0:02:38 cpu time, factor 1.01
- ML timing:
- 154.508s elapsed time, 155.847s cpu time, 7.968s GC time, factor 1.01
- ML stack maximum:
- 5 MiB
- ML stack average:
- 5 MiB
- ML heap maximum:
- 1.5 GiB
- ML heap average:
- 1.5 GiB
- Isabelle version:
- 4b7fdf77af07
- AFP version:
- 2f539b3aa0b8




Density_Compiler
- data:
- CSV
- timing:
- 0:02:36 elapsed time, 0:02:37 cpu time, factor 1.01
- ML timing:
- 154.096s elapsed time, 155.087s cpu time, 2.327s GC time, factor 1.01
- ML code maximum:
- 1.5 MiB
- ML stack maximum:
- 5 MiB
- ML stack average:
- 4.4 MiB
- ML heap maximum:
- 1.5 GiB
- ML heap average:
- 1.5 GiB
- Isabelle version:
- 4b7fdf77af07
- AFP version:
- 2f539b3aa0b8




SuffixArray
- data:
- CSV
- timing:
- 0:02:35 elapsed time, 0:02:37 cpu time, factor 1.01
- ML timing:
- 141.394s elapsed time, 144.004s cpu time, 7.410s GC time, factor 1.02
- ML stack maximum:
- 9 MiB
- ML stack average:
- 8.4 MiB
- ML heap maximum:
- 1.8 GiB
- ML heap average:
- 1.4 GiB
- ML heap stored:
- 32.8 MiB
- Isabelle version:
- 4b7fdf77af07
- AFP version:
- 2f539b3aa0b8




Free-Groups
- data:
- CSV
- timing:
- 0:02:35 elapsed time, 0:02:37 cpu time, factor 1.01
- ML timing:
- 152.825s elapsed time, 155.303s cpu time, 13.086s GC time, factor 1.02
- ML stack maximum:
- 9 MiB
- ML stack average:
- 8.5 MiB
- ML heap maximum:
- 2.5 GiB
- ML heap average:
- 1.5 GiB
- Isabelle version:
- 4b7fdf77af07
- AFP version:
- 2f539b3aa0b8




Real_Time_Deque
- data:
- CSV
- timing:
- 0:02:35 elapsed time, 0:02:34 cpu time, factor 0.99
- ML timing:
- 153.791s elapsed time, 153.278s cpu time, 1.753s GC time, factor 1.00
- ML stack maximum:
- 3 MiB
- ML stack average:
- 2.5 MiB
- ML heap maximum:
- 1.5 GiB
- ML heap average:
- 1.4 GiB
- Isabelle version:
- 4b7fdf77af07
- AFP version:
- 2f539b3aa0b8




Factor_Algebraic_Polynomial
- data:
- CSV
- timing:
- 0:02:33 elapsed time, 0:02:32 cpu time, factor 0.99
- ML timing:
- 150.016s elapsed time, 149.540s cpu time, 8.129s GC time, factor 1.00
- ML code maximum:
- 4.8 MiB
- ML code average:
- 1.1 MiB
- ML stack maximum:
- 5 MiB
- ML stack average:
- 4.7 MiB
- ML heap maximum:
- 2.9 GiB
- ML heap average:
- 1.8 GiB
- Isabelle version:
- 4b7fdf77af07
- AFP version:
- 2f539b3aa0b8




Safe_Range_RC
- data:
- CSV
- timing:
- 0:02:33 elapsed time, 0:02:33 cpu time, factor 1.00
- ML timing:
- 150.524s elapsed time, 151.287s cpu time, 3.042s GC time, factor 1.01
- ML stack maximum:
- 5 MiB
- ML stack average:
- 4.5 MiB
- ML heap maximum:
- 1.5 GiB
- ML heap average:
- 1.4 GiB
- Isabelle version:
- 4b7fdf77af07
- AFP version:
- 2f539b3aa0b8




Simplex
- data:
- CSV
- timing:
- 0:02:32 elapsed time, 0:02:29 cpu time, factor 0.98
- ML timing:
- 135.289s elapsed time, 132.625s cpu time, 7.300s GC time, factor 0.98
- ML stack maximum:
- 33 MiB
- ML stack average:
- 20 MiB
- ML heap maximum:
- 2 GiB
- ML heap average:
- 1.4 GiB
- ML heap stored:
- 33.4 MiB
- Isabelle version:
- 4b7fdf77af07
- AFP version:
- 2f539b3aa0b8




Sigma_Commit_Crypto
- data:
- CSV
- timing:
- 0:02:31 elapsed time, 0:02:31 cpu time, factor 1.00
- ML timing:
- 147.205s elapsed time, 147.540s cpu time, 12.027s GC time, factor 1.00
- ML stack maximum:
- 3 MiB
- ML stack average:
- 2.9 MiB
- ML heap maximum:
- 4.9 GiB
- ML heap average:
- 2.9 GiB
- Isabelle version:
- 4b7fdf77af07
- AFP version:
- 2f539b3aa0b8




Propositional_Proof_Systems
- data:
- CSV
- timing:
- 0:02:30 elapsed time, 0:02:31 cpu time, factor 1.01
- ML timing:
- 138.020s elapsed time, 139.466s cpu time, 8.027s GC time, factor 1.01
- ML stack maximum:
- 9 MiB
- ML stack average:
- 8.5 MiB
- ML heap maximum:
- 3.1 GiB
- ML heap average:
- 2.1 GiB
- ML heap stored:
- 26.5 MiB
- Isabelle version:
- 4b7fdf77af07
- AFP version:
- 2f539b3aa0b8




Category_Set
- data:
- CSV
- timing:
- 0:02:30 elapsed time, 0:02:12 cpu time, factor 0.88
- ML timing:
- 148.306s elapsed time, 131.285s cpu time, 4.013s GC time, factor 0.89
- ML stack maximum:
- 5 MiB
- ML stack average:
- 4.5 MiB
- ML heap maximum:
- 1.6 GiB
- ML heap average:
- 1.5 GiB
- Isabelle version:
- 4b7fdf77af07
- AFP version:
- 2f539b3aa0b8




Knot_Theory
- data:
- CSV
- timing:
- 0:02:28 elapsed time, 0:02:30 cpu time, factor 1.01
- ML timing:
- 146.154s elapsed time, 148.378s cpu time, 7.458s GC time, factor 1.02
- ML stack maximum:
- 9 MiB
- ML stack average:
- 8.9 MiB
- ML heap maximum:
- 2.9 GiB
- ML heap average:
- 1.8 GiB
- Isabelle version:
- 4b7fdf77af07
- AFP version:
- 2f539b3aa0b8




Weak_Spectroscopy
- data:
- CSV
- timing:
- 0:02:27 elapsed time, 0:02:24 cpu time, factor 0.98
- ML timing:
- 144.427s elapsed time, 141.863s cpu time, 5.728s GC time, factor 0.98
- ML stack maximum:
- 9 MiB
- ML stack average:
- 7.2 MiB
- ML heap maximum:
- 2.9 GiB
- ML heap average:
- 2.1 GiB
- Isabelle version:
- 4b7fdf77af07
- AFP version:
- 2f539b3aa0b8




Ergodic_Theory
- data:
- CSV
- timing:
- 0:02:27 elapsed time, 0:02:29 cpu time, factor 1.01
- ML timing:
- 130.424s elapsed time, 132.392s cpu time, 2.861s GC time, factor 1.02
- ML stack maximum:
- 5 MiB
- ML stack average:
- 4.4 MiB
- ML heap maximum:
- 1.5 GiB
- ML heap average:
- 1.3 GiB
- ML heap stored:
- 13.2 MiB
- Isabelle version:
- 4b7fdf77af07
- AFP version:
- 2f539b3aa0b8




Word_Lib
- data:
- CSV
- timing:
- 0:02:25 elapsed time, 0:02:25 cpu time, factor 1.00
- ML timing:
- 134.283s elapsed time, 133.813s cpu time, 7.731s GC time, factor 1.00
- ML stack maximum:
- 9 MiB
- ML stack average:
- 8.2 MiB
- ML heap maximum:
- 2 GiB
- ML heap average:
- 1.5 GiB
- ML heap stored:
- 41.5 MiB
- Isabelle version:
- 4b7fdf77af07
- AFP version:
- 2f539b3aa0b8




Independence_CH
- data:
- CSV
- timing:
- 0:02:25 elapsed time, 0:02:26 cpu time, factor 1.01
- ML timing:
- 144.775s elapsed time, 146.114s cpu time, 10.226s GC time, factor 1.01
- ML stack maximum:
- 3 MiB
- ML stack average:
- 3 MiB
- ML heap maximum:
- 2.4 GiB
- ML heap average:
- 1.5 GiB
- Isabelle version:
- 4b7fdf77af07
- AFP version:
- 2f539b3aa0b8




Multirelations_Heterogeneous
- data:
- CSV
- timing:
- 0:02:24 elapsed time, 0:02:12 cpu time, factor 0.92
- ML timing:
- 142.416s elapsed time, 130.762s cpu time, 6.480s GC time, factor 0.92
- ML stack maximum:
- 9 MiB
- ML stack average:
- 7.4 MiB
- ML heap maximum:
- 3.4 GiB
- ML heap average:
- 1.8 GiB
- Isabelle version:
- 4b7fdf77af07
- AFP version:
- 2f539b3aa0b8




Edwards_Elliptic_Curves_Group
- data:
- CSV
- timing:
- 0:02:23 elapsed time, 0:02:23 cpu time, factor 1.00
- ML timing:
- 140.680s elapsed time, 141.595s cpu time, 3.429s GC time, factor 1.01
- ML stack maximum:
- 17 MiB
- ML stack average:
- 14.3 MiB
- ML heap maximum:
- 1.5 GiB
- ML heap average:
- 1.4 GiB
- Isabelle version:
- 4b7fdf77af07
- AFP version:
- 2f539b3aa0b8




Taylor_Models
- data:
- CSV
- timing:
- 0:02:22 elapsed time, 0:02:22 cpu time, factor 1.00
- ML timing:
- 139.524s elapsed time, 139.521s cpu time, 8.485s GC time, factor 1.00
- ML code maximum:
- 1.4 MiB
- ML stack maximum:
- 5 MiB
- ML stack average:
- 4.6 MiB
- ML heap maximum:
- 2.3 GiB
- ML heap average:
- 1.7 GiB
- Isabelle version:
- 4b7fdf77af07
- AFP version:
- 2f539b3aa0b8




Resolution_FOL
- data:
- CSV
- timing:
- 0:02:22 elapsed time, 0:02:24 cpu time, factor 1.01
- ML timing:
- 140.597s elapsed time, 142.332s cpu time, 7.920s GC time, factor 1.01
- ML stack maximum:
- 9 MiB
- ML stack average:
- 8.9 MiB
- ML heap maximum:
- 1.6 GiB
- ML heap average:
- 1.4 GiB
- Isabelle version:
- 4b7fdf77af07
- AFP version:
- 2f539b3aa0b8




Stone_Kleene_Relation_Algebras
- data:
- CSV
- timing:
- 0:02:20 elapsed time, 0:02:21 cpu time, factor 1.01
- ML timing:
- 127.854s elapsed time, 128.565s cpu time, 9.033s GC time, factor 1.01
- ML stack maximum:
- 9 MiB
- ML stack average:
- 7.6 MiB
- ML heap maximum:
- 3.2 GiB
- ML heap average:
- 1.7 GiB
- ML heap stored:
- 16.5 MiB
- Isabelle version:
- 4b7fdf77af07
- AFP version:
- 2f539b3aa0b8




S_Finite_Measure_Monad
- data:
- CSV
- timing:
- 0:02:20 elapsed time, 0:02:21 cpu time, factor 1.01
- ML timing:
- 120.327s elapsed time, 121.795s cpu time, 2.526s GC time, factor 1.01
- ML stack maximum:
- 9 MiB
- ML stack average:
- 6.8 MiB
- ML heap maximum:
- 1.5 GiB
- ML heap average:
- 1.3 GiB
- ML heap stored:
- 18.3 MiB
- Isabelle version:
- 4b7fdf77af07
- AFP version:
- 2f539b3aa0b8




Disintegration
- data:
- CSV
- timing:
- 0:02:19 elapsed time, 0:02:20 cpu time, factor 1.01
- ML timing:
- 136.672s elapsed time, 138.478s cpu time, 2.579s GC time, factor 1.01
- ML stack maximum:
- 9 MiB
- ML stack average:
- 6.6 MiB
- ML heap maximum:
- 1.5 GiB
- ML heap average:
- 1.4 GiB
- Isabelle version:
- 4b7fdf77af07
- AFP version:
- 2f539b3aa0b8




Turans_Graph_Theorem
- data:
- CSV
- timing:
- 0:02:18 elapsed time, 0:02:17 cpu time, factor 0.99
- ML timing:
- 135.222s elapsed time, 135.252s cpu time, 5.080s GC time, factor 1.00
- ML stack maximum:
- 17 MiB
- ML stack average:
- 7.6 MiB
- ML heap maximum:
- 1.7 GiB
- ML heap average:
- 1.5 GiB
- Isabelle version:
- 4b7fdf77af07
- AFP version:
- 2f539b3aa0b8




Matrices_for_ODEs
- data:
- CSV
- timing:
- 0:02:15 elapsed time, 0:02:16 cpu time, factor 1.01
- ML timing:
- 132.944s elapsed time, 134.138s cpu time, 2.632s GC time, factor 1.01
- ML stack maximum:
- 5 MiB
- ML stack average:
- 4.8 MiB
- ML heap maximum:
- 1.5 GiB
- ML heap average:
- 1.4 GiB
- Isabelle version:
- 4b7fdf77af07
- AFP version:
- 2f539b3aa0b8




Splitting_Framework
- data:
- CSV
- timing:
- 0:02:14 elapsed time, 0:02:06 cpu time, factor 0.94
- ML timing:
- 131.452s elapsed time, 123.880s cpu time, 5.645s GC time, factor 0.94
- ML stack maximum:
- 5 MiB
- ML stack average:
- 4.2 MiB
- ML heap maximum:
- 1.5 GiB
- ML heap average:
- 1.4 GiB
- Isabelle version:
- 4b7fdf77af07
- AFP version:
- 2f539b3aa0b8




Oneway2Hiding
- data:
- CSV
- timing:
- 0:02:14 elapsed time, 0:02:13 cpu time, factor 0.99
- ML timing:
- 130.737s elapsed time, 129.674s cpu time, 9.166s GC time, factor 0.99
- ML stack maximum:
- 17 MiB
- ML stack average:
- 15.3 MiB
- ML heap maximum:
- 2.7 GiB
- ML heap average:
- 1.6 GiB
- Isabelle version:
- 4b7fdf77af07
- AFP version:
- 2f539b3aa0b8




Zeta_Function
- data:
- CSV
- timing:
- 0:02:12 elapsed time, 0:02:14 cpu time, factor 1.02
- ML timing:
- 115.824s elapsed time, 117.932s cpu time, 2.061s GC time, factor 1.02
- ML stack maximum:
- 9 MiB
- ML stack average:
- 6.6 MiB
- ML heap maximum:
- 1.5 GiB
- ML heap average:
- 1.3 GiB
- ML heap stored:
- 16.1 MiB
- Isabelle version:
- 4b7fdf77af07
- AFP version:
- 2f539b3aa0b8




Mersenne_Primes
- data:
- CSV
- timing:
- 0:02:12 elapsed time, 0:02:13 cpu time, factor 1.01
- ML timing:
- 121.385s elapsed time, 122.729s cpu time, 2.491s GC time, factor 1.01
- ML stack maximum:
- 3 MiB
- ML stack average:
- 2.5 MiB
- ML heap maximum:
- 1.5 GiB
- ML heap average:
- 1.4 GiB
- ML heap stored:
- 19 MiB
- Isabelle version:
- 4b7fdf77af07
- AFP version:
- 2f539b3aa0b8




MFMC_Countable
- data:
- CSV
- timing:
- 0:02:12 elapsed time, 0:02:14 cpu time, factor 1.02
- ML timing:
- 129.833s elapsed time, 131.883s cpu time, 3.327s GC time, factor 1.02
- ML stack maximum:
- 9 MiB
- ML stack average:
- 6.8 MiB
- ML heap maximum:
- 1.5 GiB
- ML heap average:
- 1.4 GiB
- Isabelle version:
- 4b7fdf77af07
- AFP version:
- 2f539b3aa0b8




LL1_Parser
- data:
- CSV
- timing:
- 0:02:10 elapsed time, 0:02:07 cpu time, factor 0.98
- ML timing:
- 127.953s elapsed time, 125.538s cpu time, 8.825s GC time, factor 0.98
- ML code maximum:
- 5.1 MiB
- ML code average:
- 1 MiB
- ML stack maximum:
- 5 MiB
- ML stack average:
- 4.8 MiB
- ML heap maximum:
- 2.3 GiB
- ML heap average:
- 1.6 GiB
- Isabelle version:
- 4b7fdf77af07
- AFP version:
- 2f539b3aa0b8




Hyperdual
- data:
- CSV
- timing:
- 0:02:10 elapsed time, 0:02:10 cpu time, factor 1.00
- ML timing:
- 127.713s elapsed time, 128.436s cpu time, 4.832s GC time, factor 1.01
- ML stack maximum:
- 17 MiB
- ML stack average:
- 7.3 MiB
- ML heap maximum:
- 2.3 GiB
- ML heap average:
- 1.5 GiB
- Isabelle version:
- 4b7fdf77af07
- AFP version:
- 2f539b3aa0b8




Girth_Chromatic
- data:
- CSV
- timing:
- 0:02:10 elapsed time, 0:02:11 cpu time, factor 1.01
- ML timing:
- 111.202s elapsed time, 111.956s cpu time, 3.472s GC time, factor 1.01
- ML stack maximum:
- 17 MiB
- ML stack average:
- 5 MiB
- ML heap maximum:
- 1.5 GiB
- ML heap average:
- 1.3 GiB
- ML heap stored:
- 33 MiB
- Isabelle version:
- 4b7fdf77af07
- AFP version:
- 2f539b3aa0b8




First_Order_Terms
- data:
- CSV
- timing:
- 0:02:10 elapsed time, 0:02:12 cpu time, factor 1.02
- ML timing:
- 112.269s elapsed time, 114.093s cpu time, 6.662s GC time, factor 1.02
- ML stack maximum:
- 9 MiB
- ML stack average:
- 7.9 MiB
- ML heap maximum:
- 1.5 GiB
- ML heap average:
- 1.3 GiB
- ML heap stored:
- 44.8 MiB
- Isabelle version:
- 4b7fdf77af07
- AFP version:
- 2f539b3aa0b8




No_FTL_observers
- data:
- CSV
- timing:
- 0:02:09 elapsed time, 0:02:08 cpu time, factor 0.99
- ML timing:
- 127.190s elapsed time, 127.406s cpu time, 3.879s GC time, factor 1.00
- ML stack maximum:
- 2 MiB
- ML stack average:
- 2 MiB
- ML heap maximum:
- 1.5 GiB
- ML heap average:
- 1.4 GiB
- Isabelle version:
- 4b7fdf77af07
- AFP version:
- 2f539b3aa0b8




IMP_Noninterference
- data:
- CSV
- timing:
- 0:02:09 elapsed time, 0:02:09 cpu time, factor 1.00
- ML timing:
- 127.772s elapsed time, 128.438s cpu time, 7.745s GC time, factor 1.01
- ML stack maximum:
- 9 MiB
- ML stack average:
- 5.9 MiB
- ML heap maximum:
- 3 GiB
- ML heap average:
- 1.9 GiB
- Isabelle version:
- 4b7fdf77af07
- AFP version:
- 2f539b3aa0b8




HOL-CSPM
- data:
- CSV
- timing:
- 0:02:09 elapsed time, 0:02:09 cpu time, factor 1.00
- ML timing:
- 115.493s elapsed time, 116.534s cpu time, 2.761s GC time, factor 1.01
- ML stack maximum:
- 9 MiB
- ML stack average:
- 8.3 MiB
- ML heap maximum:
- 1.5 GiB
- ML heap average:
- 1.3 GiB
- ML heap stored:
- 24.2 MiB
- Isabelle version:
- 4b7fdf77af07
- AFP version:
- 2f539b3aa0b8




Bertrands_Postulate
- data:
- CSV
- timing:
- 0:02:09 elapsed time, 0:02:10 cpu time, factor 1.01
- ML timing:
- 127.990s elapsed time, 129.112s cpu time, 1.680s GC time, factor 1.01
- ML stack maximum:
- 5 MiB
- ML stack average:
- 4.2 MiB
- ML heap maximum:
- 1.5 GiB
- ML heap average:
- 1.4 GiB
- Isabelle version:
- 4b7fdf77af07
- AFP version:
- 2f539b3aa0b8




Buildings
- data:
- CSV
- timing:
- 0:02:08 elapsed time, 0:02:09 cpu time, factor 1.01
- ML timing:
- 126.158s elapsed time, 127.511s cpu time, 2.028s GC time, factor 1.01
- ML stack maximum:
- 9 MiB
- ML stack average:
- 7.9 MiB
- ML heap maximum:
- 1.5 GiB
- ML heap average:
- 1.4 GiB
- Isabelle version:
- 4b7fdf77af07
- AFP version:
- 2f539b3aa0b8




PAPP_Impossibility
- data:
- CSV
- timing:
- 0:02:07 elapsed time, 0:02:06 cpu time, factor 0.99
- ML timing:
- 124.876s elapsed time, 125.294s cpu time, 4.442s GC time, factor 1.00
- ML stack maximum:
- 9 MiB
- ML stack average:
- 5.5 MiB
- ML heap maximum:
- 1.8 GiB
- ML heap average:
- 1.4 GiB
- Isabelle version:
- 4b7fdf77af07
- AFP version:
- 2f539b3aa0b8




AOT
- data:
- CSV
- timing:
- 0:02:07 elapsed time, 0:02:09 cpu time, factor 1.02
- ML timing:
- 125.585s elapsed time, 127.314s cpu time, 5.781s GC time, factor 1.01
- ML stack maximum:
- 17 MiB
- ML stack average:
- 14.1 MiB
- ML heap maximum:
- 2.6 GiB
- ML heap average:
- 1.6 GiB
- Isabelle version:
- 4b7fdf77af07
- AFP version:
- 2f539b3aa0b8




- data:
- CSV
- timing:
- 0:02:07 elapsed time, 0:02:07 cpu time, factor 1.00
- ML timing:
- 123.661s elapsed time, 124.083s cpu time, 10.775s GC time, factor 1.00
- ML code maximum:
- 2 MiB
- ML stack maximum:
- 5 MiB
- ML stack average:
- 3.4 MiB
- ML heap maximum:
- 1.6 GiB
- ML heap average:
- 1.4 GiB
- Isabelle version:
- 4b7fdf77af07
- AFP version:
- 2f539b3aa0b8




Farkas
- data:
- CSV
- timing:
- 0:02:06 elapsed time, 0:02:08 cpu time, factor 1.02
- ML timing:
- 110.445s elapsed time, 112.357s cpu time, 7.939s GC time, factor 1.02
- ML stack maximum:
- 5 MiB
- ML stack average:
- 4.6 MiB
- ML heap maximum:
- 1.5 GiB
- ML heap average:
- 1.3 GiB
- ML heap stored:
- 30.3 MiB
- Isabelle version:
- 4b7fdf77af07
- AFP version:
- 2f539b3aa0b8




Region_Quadtrees
- data:
- CSV
- timing:
- 0:02:06 elapsed time, 0:02:06 cpu time, factor 1.00
- ML timing:
- 124.819s elapsed time, 124.663s cpu time, 2.109s GC time, factor 1.00
- ML stack maximum:
- 3 MiB
- ML stack average:
- 2 MiB
- ML heap maximum:
- 1.5 GiB
- ML heap average:
- 1.4 GiB
- Isabelle version:
- 4b7fdf77af07
- AFP version:
- 2f539b3aa0b8




Gauss_Jordan
- data:
- CSV
- timing:
- 0:02:05 elapsed time, 0:02:06 cpu time, factor 1.01
- ML timing:
- 108.972s elapsed time, 110.155s cpu time, 4.026s GC time, factor 1.01
- ML code maximum:
- 3.2 MiB
- ML code average:
- 1.4 MiB
- ML stack maximum:
- 9 MiB
- ML stack average:
- 7.5 MiB
- ML heap maximum:
- 1.5 GiB
- ML heap average:
- 1.3 GiB
- ML heap stored:
- 13.9 MiB
- Isabelle version:
- 4b7fdf77af07
- AFP version:
- 2f539b3aa0b8




Randomized_Closest_Pair
- data:
- CSV
- timing:
- 0:02:05 elapsed time, 0:01:59 cpu time, factor 0.95
- ML timing:
- 121.680s elapsed time, 115.635s cpu time, 2.942s GC time, factor 0.95
- ML stack maximum:
- 3 MiB
- ML stack average:
- 2.9 MiB
- ML heap maximum:
- 1.5 GiB
- ML heap average:
- 1.4 GiB
- Isabelle version:
- 4b7fdf77af07
- AFP version:
- 2f539b3aa0b8




CommCSL
- data:
- CSV
- timing:
- 0:02:05 elapsed time, 0:02:05 cpu time, factor 1.00
- ML timing:
- 121.744s elapsed time, 122.864s cpu time, 5.731s GC time, factor 1.01
- ML stack maximum:
- 9 MiB
- ML stack average:
- 5.9 MiB
- ML heap maximum:
- 1.9 GiB
- ML heap average:
- 1.8 GiB
- Isabelle version:
- 4b7fdf77af07
- AFP version:
- 2f539b3aa0b8




Physical_Quantities
- data:
- CSV
- timing:
- 0:02:05 elapsed time, 0:02:05 cpu time, factor 1.00
- ML timing:
- 123.181s elapsed time, 124.148s cpu time, 5.283s GC time, factor 1.01
- ML code maximum:
- 1.1 MiB
- ML stack maximum:
- 17 MiB
- ML stack average:
- 6 MiB
- ML heap maximum:
- 1.8 GiB
- ML heap average:
- 1.4 GiB
- Isabelle version:
- 4b7fdf77af07
- AFP version:
- 2f539b3aa0b8




Green
- data:
- CSV
- timing:
- 0:02:05 elapsed time, 0:02:04 cpu time, factor 0.99
- ML timing:
- 123.406s elapsed time, 122.189s cpu time, 1.783s GC time, factor 0.99
- ML stack maximum:
- 9 MiB
- ML stack average:
- 8 MiB
- ML heap maximum:
- 1.5 GiB
- ML heap average:
- 1.4 GiB
- Isabelle version:
- 4b7fdf77af07
- AFP version:
- 2f539b3aa0b8




Featherweight_OCL
- data:
- CSV
- timing:
- 0:02:02 elapsed time, 0:02:03 cpu time, factor 1.01
- ML timing:
- 121.045s elapsed time, 121.999s cpu time, 2.695s GC time, factor 1.01
- ML code maximum:
- 32.4 MiB
- ML code average:
- 13.2 MiB
- ML stack maximum:
- 9 MiB
- ML stack average:
- 9 MiB
- ML heap maximum:
- 1.5 GiB
- ML heap average:
- 1.5 GiB
- Isabelle version:
- 4b7fdf77af07
- AFP version:
- 2f539b3aa0b8




Design_Theory
- data:
- CSV
- timing:
- 0:02:02 elapsed time, 0:02:03 cpu time, factor 1.01
- ML timing:
- 120.848s elapsed time, 122.121s cpu time, 6.910s GC time, factor 1.01
- ML stack maximum:
- 5 MiB
- ML stack average:
- 4.7 MiB
- ML heap maximum:
- 1.7 GiB
- ML heap average:
- 1.4 GiB
- Isabelle version:
- 4b7fdf77af07
- AFP version:
- 2f539b3aa0b8




QHLProver
- data:
- CSV
- timing:
- 0:02:02 elapsed time, 0:02:00 cpu time, factor 0.98
- ML timing:
- 108.450s elapsed time, 106.240s cpu time, 1.692s GC time, factor 0.98
- ML stack maximum:
- 9 MiB
- ML stack average:
- 5.1 MiB
- ML heap maximum:
- 1.5 GiB
- ML heap average:
- 1.3 GiB
- ML heap stored:
- 15.6 MiB
- Isabelle version:
- 4b7fdf77af07
- AFP version:
- 2f539b3aa0b8




HOL-CSP_Proc-Omata
- data:
- CSV
- timing:
- 0:02:02 elapsed time, 0:02:02 cpu time, factor 1.00
- ML timing:
- 119.720s elapsed time, 120.268s cpu time, 5.070s GC time, factor 1.00
- ML stack maximum:
- 5 MiB
- ML stack average:
- 5 MiB
- ML heap maximum:
- 1.5 GiB
- ML heap average:
- 1.4 GiB
- Isabelle version:
- 4b7fdf77af07
- AFP version:
- 2f539b3aa0b8




Amicable_Numbers
- data:
- CSV
- timing:
- 0:02:01 elapsed time, 0:02:01 cpu time, factor 1.00
- ML timing:
- 120.016s elapsed time, 120.194s cpu time, 1.535s GC time, factor 1.00
- ML stack maximum:
- 3 MiB
- ML stack average:
- 3 MiB
- ML heap maximum:
- 1.5 GiB
- ML heap average:
- 1.4 GiB
- Isabelle version:
- 4b7fdf77af07
- AFP version:
- 2f539b3aa0b8




FaithfulPMLinHOL
- data:
- CSV
- timing:
- 0:01:59 elapsed time, 0:01:50 cpu time, factor 0.92
- ML timing:
- 118.272s elapsed time, 109.542s cpu time, 4.003s GC time, factor 0.93
- ML stack maximum:
- 2 MiB
- ML stack average:
- 2 MiB
- ML heap maximum:
- 2.9 GiB
- ML heap average:
- 2 GiB
- Isabelle version:
- 4b7fdf77af07
- AFP version:
- 2f539b3aa0b8




- data:
- CSV
- timing:
- 0:01:58 elapsed time, 0:01:59 cpu time, factor 1.01
- ML timing:
- 115.859s elapsed time, 117.641s cpu time, 8.654s GC time, factor 1.02
- ML stack maximum:
- 9 MiB
- ML stack average:
- 8.7 MiB
- ML heap maximum:
- 2.1 GiB
- ML heap average:
- 1.5 GiB
- Isabelle version:
- 4b7fdf77af07
- AFP version:
- 2f539b3aa0b8




Quantales
- data:
- CSV
- timing:
- 0:01:58 elapsed time, 0:01:58 cpu time, factor 1.00
- ML timing:
- 103.482s elapsed time, 103.285s cpu time, 6.101s GC time, factor 1.00
- ML stack maximum:
- 2 MiB
- ML stack average:
- 1.9 MiB
- ML heap maximum:
- 1.6 GiB
- ML heap average:
- 1.3 GiB
- ML heap stored:
- 36.9 MiB
- Isabelle version:
- 4b7fdf77af07
- AFP version:
- 2f539b3aa0b8




Launchbury
- data:
- CSV
- timing:
- 0:01:57 elapsed time, 0:01:59 cpu time, factor 1.02
- ML timing:
- 103.047s elapsed time, 105.148s cpu time, 5.441s GC time, factor 1.02
- ML code maximum:
- 3 MiB
- ML code average:
- 1.8 MiB
- ML stack maximum:
- 9 MiB
- ML stack average:
- 7.9 MiB
- ML heap maximum:
- 1.9 GiB
- ML heap average:
- 1.5 GiB
- ML heap stored:
- 44.9 MiB
- Isabelle version:
- 4b7fdf77af07
- AFP version:
- 2f539b3aa0b8




Morley_Theorem
- data:
- CSV
- timing:
- 0:01:57 elapsed time, 0:01:53 cpu time, factor 0.97
- ML timing:
- 115.462s elapsed time, 112.037s cpu time, 2.408s GC time, factor 0.97
- ML stack maximum:
- 5 MiB
- ML stack average:
- 4.4 MiB
- ML heap maximum:
- 1.5 GiB
- ML heap average:
- 1.4 GiB
- Isabelle version:
- 4b7fdf77af07
- AFP version:
- 2f539b3aa0b8




Closest_Pair_Points
- data:
- CSV
- timing:
- 0:01:56 elapsed time, 0:01:56 cpu time, factor 1.00
- ML timing:
- 114.060s elapsed time, 114.605s cpu time, 1.378s GC time, factor 1.00
- ML stack maximum:
- 5 MiB
- ML stack average:
- 4.6 MiB
- ML heap maximum:
- 1.5 GiB
- ML heap average:
- 1.4 GiB
- Isabelle version:
- 4b7fdf77af07
- AFP version:
- 2f539b3aa0b8




Higher_Order_Terms
- data:
- CSV
- timing:
- 0:01:55 elapsed time, 0:01:51 cpu time, factor 0.97
- ML timing:
- 113.489s elapsed time, 109.127s cpu time, 8.253s GC time, factor 0.96
- ML stack maximum:
- 9 MiB
- ML stack average:
- 7.7 MiB
- ML heap maximum:
- 2.6 GiB
- ML heap average:
- 1.6 GiB
- Isabelle version:
- 4b7fdf77af07
- AFP version:
- 2f539b3aa0b8




SATSolverVerification
- data:
- CSV
- timing:
- 0:01:55 elapsed time, 0:01:57 cpu time, factor 1.02
- ML timing:
- 113.912s elapsed time, 116.135s cpu time, 1.988s GC time, factor 1.02
- ML stack maximum:
- 17 MiB
- ML stack average:
- 15 MiB
- ML heap maximum:
- 1.5 GiB
- ML heap average:
- 1.4 GiB
- Isabelle version:
- 4b7fdf77af07
- AFP version:
- 2f539b3aa0b8




Irrationality_J_Hancl
- data:
- CSV
- timing:
- 0:01:55 elapsed time, 0:01:55 cpu time, factor 1.00
- ML timing:
- 112.802s elapsed time, 113.674s cpu time, 4.419s GC time, factor 1.01
- ML stack maximum:
- 17 MiB
- ML stack average:
- 5.8 MiB
- ML heap maximum:
- 1.6 GiB
- ML heap average:
- 1.4 GiB
- Isabelle version:
- 4b7fdf77af07
- AFP version:
- 2f539b3aa0b8




Regex_Equivalence
- data:
- CSV
- timing:
- 0:01:54 elapsed time, 0:01:54 cpu time, factor 1.00
- ML timing:
- 111.843s elapsed time, 112.413s cpu time, 9.300s GC time, factor 1.01
- ML code maximum:
- 1 MiB
- ML stack maximum:
- 9 MiB
- ML stack average:
- 9 MiB
- ML heap maximum:
- 2.7 GiB
- ML heap average:
- 1.9 GiB
- Isabelle version:
- 4b7fdf77af07
- AFP version:
- 2f539b3aa0b8




Nested_Multisets_Ordinals
- data:
- CSV
- timing:
- 0:01:54 elapsed time, 0:01:56 cpu time, factor 1.02
- ML timing:
- 100.700s elapsed time, 102.605s cpu time, 6.266s GC time, factor 1.02
- ML stack maximum:
- 9 MiB
- ML stack average:
- 8.2 MiB
- ML heap maximum:
- 1.7 GiB
- ML heap average:
- 1.3 GiB
- ML heap stored:
- 44 MiB
- Isabelle version:
- 4b7fdf77af07
- AFP version:
- 2f539b3aa0b8




Isabelle_DOF
- data:
- CSV
- timing:
- 0:01:54 elapsed time, 0:01:53 cpu time, factor 0.99
- ML timing:
- 112.423s elapsed time, 111.053s cpu time, 6.873s GC time, factor 0.99
- ML code maximum:
- 8.7 MiB
- ML code average:
- 5.3 MiB
- ML stack maximum:
- 9 MiB
- ML stack average:
- 9 MiB
- ML heap maximum:
- 1.6 GiB
- ML heap average:
- 1.4 GiB
- Isabelle version:
- 4b7fdf77af07
- AFP version:
- 2f539b3aa0b8




KnuthMorrisPratt
- data:
- CSV
- timing:
- 0:01:54 elapsed time, 0:01:54 cpu time, factor 1.00
- ML timing:
- 112.275s elapsed time, 112.245s cpu time, 6.422s GC time, factor 1.00
- ML stack maximum:
- 65 MiB
- ML stack average:
- 50.5 MiB
- ML heap maximum:
- 3.3 GiB
- ML heap average:
- 1.8 GiB
- Isabelle version:
- 4b7fdf77af07
- AFP version:
- 2f539b3aa0b8




ZFC_in_HOL
- data:
- CSV
- timing:
- 0:01:54 elapsed time, 0:01:55 cpu time, factor 1.01
- ML timing:
- 104.756s elapsed time, 106.298s cpu time, 3.586s GC time, factor 1.01
- ML stack maximum:
- 5 MiB
- ML stack average:
- 4.4 MiB
- ML heap maximum:
- 1.5 GiB
- ML heap average:
- 1.3 GiB
- ML heap stored:
- 20 MiB
- Isabelle version:
- 4b7fdf77af07
- AFP version:
- 2f539b3aa0b8




DiscretePricing
- data:
- CSV
- timing:
- 0:01:53 elapsed time, 0:01:54 cpu time, factor 1.01
- ML timing:
- 110.361s elapsed time, 111.985s cpu time, 7.157s GC time, factor 1.01
- ML stack maximum:
- 9 MiB
- ML stack average:
- 7.9 MiB
- ML heap maximum:
- 1.8 GiB
- ML heap average:
- 1.6 GiB
- Isabelle version:
- 4b7fdf77af07
- AFP version:
- 2f539b3aa0b8




Amortized_Complexity
- data:
- CSV
- timing:
- 0:01:53 elapsed time, 0:01:52 cpu time, factor 0.99
- ML timing:
- 89.139s elapsed time, 89.161s cpu time, 3.403s GC time, factor 1.00
- ML stack maximum:
- 2 MiB
- ML stack average:
- 1.6 MiB
- ML heap maximum:
- 1.5 GiB
- ML heap average:
- 1.2 GiB
- ML heap stored:
- 61.1 MiB
- Isabelle version:
- 4b7fdf77af07
- AFP version:
- 2f539b3aa0b8




Root_Balanced_Tree
- data:
- CSV
- timing:
- 0:01:53 elapsed time, 0:01:53 cpu time, factor 1.00
- ML timing:
- 111.027s elapsed time, 111.759s cpu time, 4.622s GC time, factor 1.01
- ML stack maximum:
- 17 MiB
- ML stack average:
- 9.9 MiB
- ML heap maximum:
- 2.2 GiB
- ML heap average:
- 1.6 GiB
- Isabelle version:
- 4b7fdf77af07
- AFP version:
- 2f539b3aa0b8




Twelvefold_Way
- data:
- CSV
- timing:
- 0:01:53 elapsed time, 0:01:54 cpu time, factor 1.01
- ML timing:
- 111.624s elapsed time, 112.750s cpu time, 2.193s GC time, factor 1.01
- ML stack maximum:
- 9 MiB
- ML stack average:
- 9 MiB
- ML heap maximum:
- 1.5 GiB
- ML heap average:
- 1.4 GiB
- Isabelle version:
- 4b7fdf77af07
- AFP version:
- 2f539b3aa0b8




CRYSTALS-Kyber
- data:
- CSV
- timing:
- 0:01:52 elapsed time, 0:01:51 cpu time, factor 0.99
- ML timing:
- 109.094s elapsed time, 108.687s cpu time, 2.483s GC time, factor 1.00
- ML stack maximum:
- 3 MiB
- ML stack average:
- 2.9 MiB
- ML heap maximum:
- 1.5 GiB
- ML heap average:
- 1.4 GiB
- Isabelle version:
- 4b7fdf77af07
- AFP version:
- 2f539b3aa0b8




Ordered_Resolution_Prover
- data:
- CSV
- timing:
- 0:01:51 elapsed time, 0:01:48 cpu time, factor 0.97
- ML timing:
- 94.770s elapsed time, 92.425s cpu time, 2.813s GC time, factor 0.98
- ML stack maximum:
- 9 MiB
- ML stack average:
- 6.9 MiB
- ML heap maximum:
- 1.5 GiB
- ML heap average:
- 1.3 GiB
- ML heap stored:
- 30.7 MiB
- Isabelle version:
- 4b7fdf77af07
- AFP version:
- 2f539b3aa0b8




KAD
- data:
- CSV
- timing:
- 0:01:50 elapsed time, 0:01:50 cpu time, factor 1.00
- ML timing:
- 107.826s elapsed time, 108.415s cpu time, 6.327s GC time, factor 1.01
- ML stack maximum:
- 3 MiB
- ML stack average:
- 2.6 MiB
- ML heap maximum:
- 1.8 GiB
- ML heap average:
- 1.4 GiB
- Isabelle version:
- 4b7fdf77af07
- AFP version:
- 2f539b3aa0b8




Sepref_IICF
- data:
- CSV
- timing:
- 0:01:50 elapsed time, 0:01:50 cpu time, factor 1.00
- ML timing:
- 93.541s elapsed time, 93.267s cpu time, 1.733s GC time, factor 1.00
- ML stack maximum:
- 3 MiB
- ML stack average:
- 2.2 MiB
- ML heap maximum:
- 1.5 GiB
- ML heap average:
- 1.3 GiB
- ML heap stored:
- 26.1 MiB
- Isabelle version:
- 4b7fdf77af07
- AFP version:
- 2f539b3aa0b8




Rep_Fin_Groups
- data:
- CSV
- timing:
- 0:01:50 elapsed time, 0:01:51 cpu time, factor 1.01
- ML timing:
- 108.575s elapsed time, 109.532s cpu time, 1.926s GC time, factor 1.01
- ML stack maximum:
- 17 MiB
- ML stack average:
- 16.7 MiB
- ML heap maximum:
- 1.5 GiB
- ML heap average:
- 1.4 GiB
- Isabelle version:
- 4b7fdf77af07
- AFP version:
- 2f539b3aa0b8




BirdKMP
- data:
- CSV
- timing:
- 0:01:49 elapsed time, 0:01:49 cpu time, factor 1.00
- ML timing:
- 107.170s elapsed time, 107.451s cpu time, 3.069s GC time, factor 1.00
- ML stack maximum:
- 5 MiB
- ML stack average:
- 4.8 MiB
- ML heap maximum:
- 1.5 GiB
- ML heap average:
- 1.4 GiB
- Isabelle version:
- 4b7fdf77af07
- AFP version:
- 2f539b3aa0b8




ProcessComposition_ILL
- data:
- CSV
- timing:
- 0:01:49 elapsed time, 0:01:50 cpu time, factor 1.01
- ML timing:
- 107.317s elapsed time, 107.976s cpu time, 10.587s GC time, factor 1.01
- ML stack maximum:
- 9 MiB
- ML stack average:
- 9 MiB
- ML heap maximum:
- 3.3 GiB
- ML heap average:
- 1.8 GiB
- Isabelle version:
- 4b7fdf77af07
- AFP version:
- 2f539b3aa0b8




Poincare_Disc
- data:
- CSV
- timing:
- 0:01:47 elapsed time, 0:01:46 cpu time, factor 0.99
- ML timing:
- 91.209s elapsed time, 90.444s cpu time, 1.368s GC time, factor 0.99
- ML stack maximum:
- 5 MiB
- ML stack average:
- 4.5 MiB
- ML heap maximum:
- 1.5 GiB
- ML heap average:
- 1.3 GiB
- ML heap stored:
- 10.9 MiB
- Isabelle version:
- 4b7fdf77af07
- AFP version:
- 2f539b3aa0b8




GyrovectorSpaces
- data:
- CSV
- timing:
- 0:01:47 elapsed time, 0:01:35 cpu time, factor 0.89
- ML timing:
- 105.050s elapsed time, 92.552s cpu time, 4.636s GC time, factor 0.88
- ML stack maximum:
- 3 MiB
- ML stack average:
- 3 MiB
- ML heap maximum:
- 1.5 GiB
- ML heap average:
- 1.4 GiB
- Isabelle version:
- 4b7fdf77af07
- AFP version:
- 2f539b3aa0b8




Lambda_Free_KBOs
- data:
- CSV
- timing:
- 0:01:46 elapsed time, 0:01:47 cpu time, factor 1.01
- ML timing:
- 103.597s elapsed time, 104.785s cpu time, 2.628s GC time, factor 1.01
- ML stack maximum:
- 5 MiB
- ML stack average:
- 5 MiB
- ML heap maximum:
- 1.5 GiB
- ML heap average:
- 1.4 GiB
- Isabelle version:
- 4b7fdf77af07
- AFP version:
- 2f539b3aa0b8




Aggregation_Algebras
- data:
- CSV
- timing:
- 0:01:46 elapsed time, 0:01:46 cpu time, factor 1.00
- ML timing:
- 93.498s elapsed time, 93.815s cpu time, 4.305s GC time, factor 1.00
- ML stack maximum:
- 3 MiB
- ML stack average:
- 2.8 MiB
- ML heap maximum:
- 1.5 GiB
- ML heap average:
- 1.3 GiB
- ML heap stored:
- 36.4 MiB
- Isabelle version:
- 4b7fdf77af07
- AFP version:
- 2f539b3aa0b8




Adaptive_State_Counting
- data:
- CSV
- timing:
- 0:01:45 elapsed time, 0:01:46 cpu time, factor 1.01
- ML timing:
- 102.335s elapsed time, 103.357s cpu time, 2.269s GC time, factor 1.01
- ML stack maximum:
- 5 MiB
- ML stack average:
- 4.8 MiB
- ML heap maximum:
- 1.5 GiB
- ML heap average:
- 1.4 GiB
- Isabelle version:
- 4b7fdf77af07
- AFP version:
- 2f539b3aa0b8




Derandomization_Conditional_Expectations
- data:
- CSV
- timing:
- 0:01:45 elapsed time, 0:01:45 cpu time, factor 1.00
- ML timing:
- 101.331s elapsed time, 101.971s cpu time, 4.024s GC time, factor 1.01
- ML stack maximum:
- 3 MiB
- ML stack average:
- 3 MiB
- ML heap maximum:
- 2.9 GiB
- ML heap average:
- 2.3 GiB
- Isabelle version:
- 4b7fdf77af07
- AFP version:
- 2f539b3aa0b8




Relational_Paths
- data:
- CSV
- timing:
- 0:01:45 elapsed time, 0:01:44 cpu time, factor 0.99
- ML timing:
- 103.006s elapsed time, 102.511s cpu time, 10.261s GC time, factor 1.00
- ML stack maximum:
- 5 MiB
- ML stack average:
- 4.4 MiB
- ML heap maximum:
- 3.5 GiB
- ML heap average:
- 2 GiB
- Isabelle version:
- 4b7fdf77af07
- AFP version:
- 2f539b3aa0b8




Separation_Logic_Imperative_HOL
- data:
- CSV
- timing:
- 0:01:44 elapsed time, 0:01:36 cpu time, factor 0.92
- ML timing:
- 102.524s elapsed time, 93.827s cpu time, 5.775s GC time, factor 0.92
- ML stack maximum:
- 9 MiB
- ML stack average:
- 9 MiB
- ML heap maximum:
- 2.1 GiB
- ML heap average:
- 1.6 GiB
- Isabelle version:
- 4b7fdf77af07
- AFP version:
- 2f539b3aa0b8




Kneser_Cauchy_Davenport
- data:
- CSV
- timing:
- 0:01:44 elapsed time, 0:01:42 cpu time, factor 0.98
- ML timing:
- 101.802s elapsed time, 100.897s cpu time, 5.418s GC time, factor 0.99
- ML stack maximum:
- 3 MiB
- ML stack average:
- 3 MiB
- ML heap maximum:
- 2.8 GiB
- ML heap average:
- 1.8 GiB
- Isabelle version:
- 4b7fdf77af07
- AFP version:
- 2f539b3aa0b8




Extended_Finite_State_Machine_Inference
- data:
- CSV
- timing:
- 0:01:44 elapsed time, 0:01:44 cpu time, factor 1.00
- ML timing:
- 102.411s elapsed time, 102.653s cpu time, 1.647s GC time, factor 1.00
- ML stack maximum:
- 3 MiB
- ML stack average:
- 2.8 MiB
- ML heap maximum:
- 1.5 GiB
- ML heap average:
- 1.4 GiB
- Isabelle version:
- 4b7fdf77af07
- AFP version:
- 2f539b3aa0b8




BytecodeLogicJmlTypes
- data:
- CSV
- timing:
- 0:01:44 elapsed time, 0:01:44 cpu time, factor 1.00
- ML timing:
- 102.821s elapsed time, 103.240s cpu time, 3.960s GC time, factor 1.00
- ML stack maximum:
- 3 MiB
- ML stack average:
- 2.8 MiB
- ML heap maximum:
- 1.5 GiB
- ML heap average:
- 1.4 GiB
- Isabelle version:
- 4b7fdf77af07
- AFP version:
- 2f539b3aa0b8




Complex_Geometry
- data:
- CSV
- timing:
- 0:01:44 elapsed time, 0:01:44 cpu time, factor 1.00
- ML timing:
- 89.753s elapsed time, 89.948s cpu time, 1.690s GC time, factor 1.00
- ML stack maximum:
- 5 MiB
- ML stack average:
- 3.6 MiB
- ML heap maximum:
- 1.5 GiB
- ML heap average:
- 1.3 GiB
- ML heap stored:
- 17.2 MiB
- Isabelle version:
- 4b7fdf77af07
- AFP version:
- 2f539b3aa0b8




UPF_Firewall
- data:
- CSV
- timing:
- 0:01:44 elapsed time, 0:01:45 cpu time, factor 1.01
- ML timing:
- 102.492s elapsed time, 103.360s cpu time, 4.003s GC time, factor 1.01
- ML stack maximum:
- 5 MiB
- ML stack average:
- 5 MiB
- ML heap maximum:
- 1.6 GiB
- ML heap average:
- 1.5 GiB
- Isabelle version:
- 4b7fdf77af07
- AFP version:
- 2f539b3aa0b8




Pi_Calculus
- data:
- CSV
- timing:
- 0:01:42 elapsed time, 0:01:45 cpu time, factor 1.03
- ML timing:
- 101.244s elapsed time, 103.949s cpu time, 2.310s GC time, factor 1.03
- ML stack maximum:
- 5 MiB
- ML stack average:
- 3.3 MiB
- ML heap maximum:
- 1.5 GiB
- ML heap average:
- 1.4 GiB
- Isabelle version:
- 4b7fdf77af07
- AFP version:
- 2f539b3aa0b8




Signature_Groebner
- data:
- CSV
- timing:
- 0:01:42 elapsed time, 0:01:43 cpu time, factor 1.01
- ML timing:
- 98.468s elapsed time, 99.783s cpu time, 13.809s GC time, factor 1.01
- ML code maximum:
- 1.8 MiB
- ML stack maximum:
- 17 MiB
- ML stack average:
- 16.3 MiB
- ML heap maximum:
- 3.4 GiB
- ML heap average:
- 2 GiB
- Isabelle version:
- 4b7fdf77af07
- AFP version:
- 2f539b3aa0b8




BD_Security_Compositional
- data:
- CSV
- timing:
- 0:01:42 elapsed time, 0:01:42 cpu time, factor 1.00
- ML timing:
- 89.541s elapsed time, 89.979s cpu time, 5.209s GC time, factor 1.00
- ML stack maximum:
- 5 MiB
- ML stack average:
- 4 MiB
- ML heap maximum:
- 1.9 GiB
- ML heap average:
- 1.4 GiB
- ML heap stored:
- 30.1 MiB
- Isabelle version:
- 4b7fdf77af07
- AFP version:
- 2f539b3aa0b8




AWN
- data:
- CSV
- timing:
- 0:01:41 elapsed time, 0:01:42 cpu time, factor 1.01
- ML timing:
- 99.136s elapsed time, 100.204s cpu time, 2.942s GC time, factor 1.01
- ML stack maximum:
- 5 MiB
- ML stack average:
- 3.7 MiB
- ML heap maximum:
- 1.5 GiB
- ML heap average:
- 1.4 GiB
- Isabelle version:
- 4b7fdf77af07
- AFP version:
- 2f539b3aa0b8




Multirelations
- data:
- CSV
- timing:
- 0:01:39 elapsed time, 0:01:18 cpu time, factor 0.79
- ML timing:
- 97.622s elapsed time, 76.896s cpu time, 4.115s GC time, factor 0.79
- ML code maximum:
- 8.3 MiB
- ML code average:
- 1.7 MiB
- ML stack maximum:
- 5 MiB
- ML stack average:
- 5 MiB
- ML heap maximum:
- 1.7 GiB
- ML heap average:
- 1.4 GiB
- Isabelle version:
- 4b7fdf77af07
- AFP version:
- 2f539b3aa0b8




Projective_Geometry
- data:
- CSV
- timing:
- 0:01:39 elapsed time, 0:01:21 cpu time, factor 0.82
- ML timing:
- 97.646s elapsed time, 79.914s cpu time, 2.525s GC time, factor 0.82
- ML stack maximum:
- 3 MiB
- ML stack average:
- 3 MiB
- ML heap maximum:
- 1.5 GiB
- ML heap average:
- 1.4 GiB
- Isabelle version:
- 4b7fdf77af07
- AFP version:
- 2f539b3aa0b8




Graph_Theory
- data:
- CSV
- timing:
- 0:01:39 elapsed time, 0:01:40 cpu time, factor 1.01
- ML timing:
- 90.161s elapsed time, 91.774s cpu time, 5.697s GC time, factor 1.02
- ML stack maximum:
- 5 MiB
- ML stack average:
- 4.1 MiB
- ML heap maximum:
- 2.7 GiB
- ML heap average:
- 1.5 GiB
- ML heap stored:
- 21.8 MiB
- Isabelle version:
- 4b7fdf77af07
- AFP version:
- 2f539b3aa0b8




RG_Locks
- data:
- CSV
- timing:
- 0:01:39 elapsed time, 0:01:40 cpu time, factor 1.01
- ML timing:
- 98.006s elapsed time, 98.504s cpu time, 1.483s GC time, factor 1.01
- ML stack maximum:
- 3 MiB
- ML stack average:
- 3 MiB
- ML heap maximum:
- 1.5 GiB
- ML heap average:
- 1.4 GiB
- Isabelle version:
- 4b7fdf77af07
- AFP version:
- 2f539b3aa0b8




Theta_Functions
- data:
- CSV
- timing:
- 0:01:38 elapsed time, 0:01:39 cpu time, factor 1.01
- ML timing:
- 79.550s elapsed time, 81.224s cpu time, 2.114s GC time, factor 1.02
- ML stack maximum:
- 5 MiB
- ML stack average:
- 4.3 MiB
- ML heap maximum:
- 1.5 GiB
- ML heap average:
- 1.2 GiB
- ML heap stored:
- 24 MiB
- Isabelle version:
- 4b7fdf77af07
- AFP version:
- 2f539b3aa0b8




Linear_Diophantine_Preprocessor
- data:
- CSV
- timing:
- 0:01:38 elapsed time, 0:01:38 cpu time, factor 1.00
- ML timing:
- 96.158s elapsed time, 96.440s cpu time, 3.593s GC time, factor 1.00
- ML code maximum:
- 3.6 MiB
- ML stack maximum:
- 3 MiB
- ML stack average:
- 2.8 MiB
- ML heap maximum:
- 1.5 GiB
- ML heap average:
- 1.4 GiB
- Isabelle version:
- 4b7fdf77af07
- AFP version:
- 2f539b3aa0b8




Polygonal_Number_Theorem
- data:
- CSV
- timing:
- 0:01:37 elapsed time, 0:01:34 cpu time, factor 0.97
- ML timing:
- 94.635s elapsed time, 91.664s cpu time, 1.072s GC time, factor 0.97
- ML stack maximum:
- 3 MiB
- ML stack average:
- 3 MiB
- ML heap maximum:
- 1.5 GiB
- ML heap average:
- 1.4 GiB
- Isabelle version:
- 4b7fdf77af07
- AFP version:
- 2f539b3aa0b8




Linear_Inequalities
- data:
- CSV
- timing:
- 0:01:37 elapsed time, 0:01:37 cpu time, factor 1.00
- ML timing:
- 79.736s elapsed time, 80.412s cpu time, 3.866s GC time, factor 1.01
- ML stack maximum:
- 3 MiB
- ML stack average:
- 2.3 MiB
- ML heap maximum:
- 1.5 GiB
- ML heap average:
- 1.2 GiB
- ML heap stored:
- 9.1 MiB
- Isabelle version:
- 4b7fdf77af07
- AFP version:
- 2f539b3aa0b8




LTL
- data:
- CSV
- timing:
- 0:01:37 elapsed time, 0:01:37 cpu time, factor 1.00
- ML timing:
- 77.810s elapsed time, 78.184s cpu time, 2.572s GC time, factor 1.00
- ML stack maximum:
- 3 MiB
- ML stack average:
- 2.6 MiB
- ML heap maximum:
- 1.5 GiB
- ML heap average:
- 1.2 GiB
- ML heap stored:
- 35.1 MiB
- Isabelle version:
- 4b7fdf77af07
- AFP version:
- 2f539b3aa0b8




Kleene_Algebra
- data:
- CSV
- timing:
- 0:01:37 elapsed time, 0:01:38 cpu time, factor 1.01
- ML timing:
- 85.202s elapsed time, 86.116s cpu time, 4.483s GC time, factor 1.01
- ML stack maximum:
- 9 MiB
- ML stack average:
- 7.8 MiB
- ML heap maximum:
- 1.5 GiB
- ML heap average:
- 1.3 GiB
- ML heap stored:
- 42.4 MiB
- Isabelle version:
- 4b7fdf77af07
- AFP version:
- 2f539b3aa0b8




Groebner_Macaulay
- data:
- CSV
- timing:
- 0:01:37 elapsed time, 0:01:38 cpu time, factor 1.01
- ML timing:
- 94.448s elapsed time, 95.634s cpu time, 11.067s GC time, factor 1.01
- ML stack maximum:
- 9 MiB
- ML stack average:
- 7.8 MiB
- ML heap maximum:
- 3 GiB
- ML heap average:
- 1.7 GiB
- Isabelle version:
- 4b7fdf77af07
- AFP version:
- 2f539b3aa0b8




NREST
- data:
- CSV
- timing:
- 0:01:36 elapsed time, 0:01:38 cpu time, factor 1.02
- ML timing:
- 94.984s elapsed time, 96.838s cpu time, 5.977s GC time, factor 1.02
- ML code maximum:
- 2.3 MiB
- ML code average:
- 1.7 MiB
- ML stack maximum:
- 9 MiB
- ML stack average:
- 8.8 MiB
- ML heap maximum:
- 2 GiB
- ML heap average:
- 1.5 GiB
- Isabelle version:
- 4b7fdf77af07
- AFP version:
- 2f539b3aa0b8




Schutz_Spacetime
- data:
- CSV
- timing:
- 0:01:36 elapsed time, 0:01:35 cpu time, factor 0.99
- ML timing:
- 94.344s elapsed time, 93.214s cpu time, 2.379s GC time, factor 0.99
- ML stack maximum:
- 9 MiB
- ML stack average:
- 8 MiB
- ML heap maximum:
- 1.5 GiB
- ML heap average:
- 1.4 GiB
- Isabelle version:
- 4b7fdf77af07
- AFP version:
- 2f539b3aa0b8




Stone_Relation_Algebras
- data:
- CSV
- timing:
- 0:01:35 elapsed time, 0:01:35 cpu time, factor 1.00
- ML timing:
- 84.575s elapsed time, 84.759s cpu time, 5.402s GC time, factor 1.00
- ML stack maximum:
- 5 MiB
- ML stack average:
- 4.7 MiB
- ML heap maximum:
- 2.2 GiB
- ML heap average:
- 1.3 GiB
- ML heap stored:
- 22 MiB
- Isabelle version:
- 4b7fdf77af07
- AFP version:
- 2f539b3aa0b8




Actuarial_Mathematics
- data:
- CSV
- timing:
- 0:01:35 elapsed time, 0:01:32 cpu time, factor 0.97
- ML timing:
- 93.486s elapsed time, 90.134s cpu time, 1.800s GC time, factor 0.96
- ML stack maximum:
- 9 MiB
- ML stack average:
- 9 MiB
- ML heap maximum:
- 1.5 GiB
- ML heap average:
- 1.4 GiB
- Isabelle version:
- 4b7fdf77af07
- AFP version:
- 2f539b3aa0b8




Vickrey_Clarke_Groves
- data:
- CSV
- timing:
- 0:01:34 elapsed time, 0:01:35 cpu time, factor 1.01
- ML timing:
- 93.013s elapsed time, 93.708s cpu time, 5.631s GC time, factor 1.01
- ML code maximum:
- 1.6 MiB
- ML stack maximum:
- 3 MiB
- ML stack average:
- 2.9 MiB
- ML heap maximum:
- 1.5 GiB
- ML heap average:
- 1.4 GiB
- Isabelle version:
- 4b7fdf77af07
- AFP version:
- 2f539b3aa0b8




PseudoHoops
- data:
- CSV
- timing:
- 0:01:34 elapsed time, 0:01:34 cpu time, factor 1.00
- ML timing:
- 92.286s elapsed time, 92.865s cpu time, 2.668s GC time, factor 1.01
- ML stack maximum:
- 3 MiB
- ML stack average:
- 2.2 MiB
- ML heap maximum:
- 1.5 GiB
- ML heap average:
- 1.4 GiB
- Isabelle version:
- 4b7fdf77af07
- AFP version:
- 2f539b3aa0b8




Approximate_Model_Counting
- data:
- CSV
- timing:
- 0:01:34 elapsed time, 0:01:27 cpu time, factor 0.93
- ML timing:
- 91.744s elapsed time, 84.819s cpu time, 2.140s GC time, factor 0.92
- ML stack maximum:
- 3 MiB
- ML stack average:
- 3 MiB
- ML heap maximum:
- 1.5 GiB
- ML heap average:
- 1.4 GiB
- Isabelle version:
- 4b7fdf77af07
- AFP version:
- 2f539b3aa0b8




Real_Impl
- data:
- CSV
- timing:
- 0:01:34 elapsed time, 0:01:34 cpu time, factor 1.00
- ML timing:
- 92.522s elapsed time, 93.630s cpu time, 2.309s GC time, factor 1.01
- ML code maximum:
- 1.1 MiB
- ML stack maximum:
- 9 MiB
- ML stack average:
- 9 MiB
- ML heap maximum:
- 1.5 GiB
- ML heap average:
- 1.4 GiB
- Isabelle version:
- 4b7fdf77af07
- AFP version:
- 2f539b3aa0b8




Lovasz_Local
- data:
- CSV
- timing:
- 0:01:33 elapsed time, 0:01:33 cpu time, factor 1.00
- ML timing:
- 90.730s elapsed time, 91.467s cpu time, 6.194s GC time, factor 1.01
- ML stack maximum:
- 3 MiB
- ML stack average:
- 2.8 MiB
- ML heap maximum:
- 1.5 GiB
- ML heap average:
- 1.4 GiB
- Isabelle version:
- 4b7fdf77af07
- AFP version:
- 2f539b3aa0b8




Partial_Order_Reduction
- data:
- CSV
- timing:
- 0:01:33 elapsed time, 0:01:30 cpu time, factor 0.97
- ML timing:
- 90.443s elapsed time, 87.428s cpu time, 3.140s GC time, factor 0.97
- ML stack maximum:
- 9 MiB
- ML stack average:
- 8.5 MiB
- ML heap maximum:
- 1.5 GiB
- ML heap average:
- 1.4 GiB
- Isabelle version:
- 4b7fdf77af07
- AFP version:
- 2f539b3aa0b8




Compressed_Oracles
- data:
- CSV
- timing:
- 0:01:33 elapsed time, 0:01:33 cpu time, factor 1.00
- ML timing:
- 90.170s elapsed time, 90.740s cpu time, 4.240s GC time, factor 1.01
- ML stack maximum:
- 5 MiB
- ML stack average:
- 4.8 MiB
- ML heap maximum:
- 2.9 GiB
- ML heap average:
- 1.8 GiB
- Isabelle version:
- 4b7fdf77af07
- AFP version:
- 2f539b3aa0b8




Earley_Parser
- data:
- CSV
- timing:
- 0:01:33 elapsed time, 0:01:33 cpu time, factor 1.00
- ML timing:
- 91.656s elapsed time, 91.593s cpu time, 3.491s GC time, factor 1.00
- ML stack maximum:
- 5 MiB
- ML stack average:
- 4.4 MiB
- ML heap maximum:
- 2.3 GiB
- ML heap average:
- 1.5 GiB
- Isabelle version:
- 4b7fdf77af07
- AFP version:
- 2f539b3aa0b8




Standard_Borel_Spaces
- data:
- CSV
- timing:
- 0:01:33 elapsed time, 0:01:34 cpu time, factor 1.01
- ML timing:
- 77.108s elapsed time, 78.141s cpu time, 1.339s GC time, factor 1.01
- ML stack maximum:
- 5 MiB
- ML stack average:
- 4.4 MiB
- ML heap maximum:
- 1.5 GiB
- ML heap average:
- 1.2 GiB
- ML heap stored:
- 8.3 MiB
- Isabelle version:
- 4b7fdf77af07
- AFP version:
- 2f539b3aa0b8




Gauss_Sums
- data:
- CSV
- timing:
- 0:01:33 elapsed time, 0:01:34 cpu time, factor 1.01
- ML timing:
- 90.196s elapsed time, 91.791s cpu time, 9.508s GC time, factor 1.02
- ML stack maximum:
- 5 MiB
- ML stack average:
- 4.2 MiB
- ML heap maximum:
- 3 GiB
- ML heap average:
- 1.8 GiB
- Isabelle version:
- 4b7fdf77af07
- AFP version:
- 2f539b3aa0b8




Abs_Int_ITP2012
- data:
- CSV
- timing:
- 0:01:32 elapsed time, 0:01:32 cpu time, factor 1.00
- ML timing:
- 89.823s elapsed time, 90.169s cpu time, 2.346s GC time, factor 1.00
- ML code maximum:
- 5.4 MiB
- ML code average:
- 1 MiB
- ML stack maximum:
- 2 MiB
- ML stack average:
- 1.6 MiB
- ML heap maximum:
- 1.5 GiB
- ML heap average:
- 1.4 GiB
- Isabelle version:
- 4b7fdf77af07
- AFP version:
- 2f539b3aa0b8




Refine_Monadic
- data:
- CSV
- timing:
- 0:01:32 elapsed time, 0:01:33 cpu time, factor 1.01
- ML timing:
- 81.969s elapsed time, 83.122s cpu time, 6.295s GC time, factor 1.01
- ML stack maximum:
- 9 MiB
- ML stack average:
- 7.9 MiB
- ML heap maximum:
- 2.3 GiB
- ML heap average:
- 1.5 GiB
- ML heap stored:
- 28.6 MiB
- Isabelle version:
- 4b7fdf77af07
- AFP version:
- 2f539b3aa0b8




- data:
- CSV
- timing:
- 0:01:32 elapsed time, 0:01:33 cpu time, factor 1.01
- ML timing:
- 78.913s elapsed time, 80.187s cpu time, 2.483s GC time, factor 1.02
- ML stack maximum:
- 5 MiB
- ML stack average:
- 3.9 MiB
- ML heap maximum:
- 1.5 GiB
- ML heap average:
- 1.3 GiB
- ML heap stored:
- 30.3 MiB
- Isabelle version:
- 4b7fdf77af07
- AFP version:
- 2f539b3aa0b8




BDD
- data:
- CSV
- timing:
- 0:01:32 elapsed time, 0:01:33 cpu time, factor 1.01
- ML timing:
- 90.993s elapsed time, 91.790s cpu time, 1.054s GC time, factor 1.01
- ML stack maximum:
- 9 MiB
- ML stack average:
- 9 MiB
- ML heap maximum:
- 1.5 GiB
- ML heap average:
- 1.5 GiB
- Isabelle version:
- 4b7fdf77af07
- AFP version:
- 2f539b3aa0b8




Transitive_Models
- data:
- CSV
- timing:
- 0:01:32 elapsed time, 0:01:33 cpu time, factor 1.01
- ML timing:
- 90.257s elapsed time, 91.912s cpu time, 3.525s GC time, factor 1.02
- ML stack maximum:
- 5 MiB
- ML stack average:
- 4.3 MiB
- ML heap maximum:
- 1.6 GiB
- ML heap average:
- 1.5 GiB
- ML heap stored:
- 11.3 MiB
- Isabelle version:
- 4b7fdf77af07
- AFP version:
- 2f539b3aa0b8




Prim_Dijkstra_Simple
- data:
- CSV
- timing:
- 0:01:30 elapsed time, 0:01:23 cpu time, factor 0.92
- ML timing:
- 88.478s elapsed time, 81.655s cpu time, 1.682s GC time, factor 0.92
- ML stack maximum:
- 3 MiB
- ML stack average:
- 2.4 MiB
- ML heap maximum:
- 1.5 GiB
- ML heap average:
- 1.4 GiB
- Isabelle version:
- 4b7fdf77af07
- AFP version:
- 2f539b3aa0b8




Undirected_Graph_Theory
- data:
- CSV
- timing:
- 0:01:29 elapsed time, 0:01:29 cpu time, factor 1.00
- ML timing:
- 86.994s elapsed time, 87.898s cpu time, 4.035s GC time, factor 1.01
- ML stack maximum:
- 5 MiB
- ML stack average:
- 4.9 MiB
- ML heap maximum:
- 1.5 GiB
- ML heap average:
- 1.4 GiB
- Isabelle version:
- 4b7fdf77af07
- AFP version:
- 2f539b3aa0b8




Prime_Distribution_Elementary
- data:
- CSV
- timing:
- 0:01:29 elapsed time, 0:01:30 cpu time, factor 1.01
- ML timing:
- 73.022s elapsed time, 74.173s cpu time, 1.229s GC time, factor 1.02
- ML stack maximum:
- 5 MiB
- ML stack average:
- 4.4 MiB
- ML heap maximum:
- 1.5 GiB
- ML heap average:
- 1.2 GiB
- ML heap stored:
- 11.6 MiB
- Isabelle version:
- 4b7fdf77af07
- AFP version:
- 2f539b3aa0b8




Deriving
- data:
- CSV
- timing:
- 0:01:29 elapsed time, 0:01:29 cpu time, factor 1.00
- ML timing:
- 70.733s elapsed time, 71.027s cpu time, 4.806s GC time, factor 1.00
- ML stack maximum:
- 5 MiB
- ML stack average:
- 2.9 MiB
- ML heap maximum:
- 2.1 GiB
- ML heap average:
- 1.3 GiB
- ML heap stored:
- 35.2 MiB
- Isabelle version:
- 4b7fdf77af07
- AFP version:
- 2f539b3aa0b8




Generalized_Counting_Sort
- data:
- CSV
- timing:
- 0:01:29 elapsed time, 0:01:29 cpu time, factor 1.00
- ML timing:
- 87.481s elapsed time, 87.869s cpu time, 1.874s GC time, factor 1.00
- ML stack maximum:
- 9 MiB
- ML stack average:
- 8.5 MiB
- ML heap maximum:
- 1.5 GiB
- ML heap average:
- 1.4 GiB
- Isabelle version:
- 4b7fdf77af07
- AFP version:
- 2f539b3aa0b8




LLL_Factorization
- data:
- CSV
- timing:
- 0:01:28 elapsed time, 0:01:28 cpu time, factor 1.00
- ML timing:
- 71.264s elapsed time, 71.568s cpu time, 3.037s GC time, factor 1.00
- ML stack maximum:
- 5 MiB
- ML stack average:
- 4.2 MiB
- ML heap maximum:
- 1.5 GiB
- ML heap average:
- 1.2 GiB
- ML heap stored:
- 11.2 MiB
- Isabelle version:
- 4b7fdf77af07
- AFP version:
- 2f539b3aa0b8




MLSSmf_to_MLSS
- data:
- CSV
- timing:
- 0:01:28 elapsed time, 0:01:27 cpu time, factor 0.99
- ML timing:
- 86.296s elapsed time, 85.606s cpu time, 4.219s GC time, factor 0.99
- ML stack maximum:
- 3 MiB
- ML stack average:
- 2.7 MiB
- ML heap maximum:
- 1.5 GiB
- ML heap average:
- 1.5 GiB
- Isabelle version:
- 4b7fdf77af07
- AFP version:
- 2f539b3aa0b8




HOLCF-Prelude
- data:
- CSV
- timing:
- 0:01:27 elapsed time, 0:01:28 cpu time, factor 1.01
- ML timing:
- 77.467s elapsed time, 78.711s cpu time, 2.337s GC time, factor 1.02
- ML stack maximum:
- 9 MiB
- ML stack average:
- 8.2 MiB
- ML heap maximum:
- 1.5 GiB
- ML heap average:
- 1.3 GiB
- ML heap stored:
- 26.8 MiB
- Isabelle version:
- 4b7fdf77af07
- AFP version:
- 2f539b3aa0b8




Elliptic_Curves_Group_Law
- data:
- CSV
- timing:
- 0:01:27 elapsed time, 0:01:27 cpu time, factor 1.00
- ML timing:
- 85.054s elapsed time, 85.769s cpu time, 2.077s GC time, factor 1.01
- ML stack maximum:
- 5 MiB
- ML stack average:
- 4.3 MiB
- ML heap maximum:
- 1.5 GiB
- ML heap average:
- 1.4 GiB
- Isabelle version:
- 4b7fdf77af07
- AFP version:
- 2f539b3aa0b8




Smooth_Manifolds
- data:
- CSV
- timing:
- 0:01:26 elapsed time, 0:01:27 cpu time, factor 1.01
- ML timing:
- 71.278s elapsed time, 72.220s cpu time, 3.370s GC time, factor 1.01
- ML stack maximum:
- 3 MiB
- ML stack average:
- 2.6 MiB
- ML heap maximum:
- 1.5 GiB
- ML heap average:
- 1.2 GiB
- ML heap stored:
- 15.7 MiB
- Isabelle version:
- 4b7fdf77af07
- AFP version:
- 2f539b3aa0b8




Call_Arity
- data:
- CSV
- timing:
- 0:01:26 elapsed time, 0:01:26 cpu time, factor 1.00
- ML timing:
- 84.198s elapsed time, 85.021s cpu time, 4.151s GC time, factor 1.01
- ML stack maximum:
- 3 MiB
- ML stack average:
- 3 MiB
- ML heap maximum:
- 1.5 GiB
- ML heap average:
- 1.4 GiB
- Isabelle version:
- 4b7fdf77af07
- AFP version:
- 2f539b3aa0b8




SequentInvertibility
- data:
- CSV
- timing:
- 0:01:25 elapsed time, 0:01:26 cpu time, factor 1.01
- ML timing:
- 82.840s elapsed time, 84.243s cpu time, 5.271s GC time, factor 1.02
- ML stack maximum:
- 9 MiB
- ML stack average:
- 9 MiB
- ML heap maximum:
- 2.1 GiB
- ML heap average:
- 1.5 GiB
- Isabelle version:
- 4b7fdf77af07
- AFP version:
- 2f539b3aa0b8




Regular_Algebras
- data:
- CSV
- timing:
- 0:01:25 elapsed time, 0:01:22 cpu time, factor 0.96
- ML timing:
- 83.392s elapsed time, 80.843s cpu time, 2.488s GC time, factor 0.97
- ML stack maximum:
- 3 MiB
- ML stack average:
- 3 MiB
- ML heap maximum:
- 1.5 GiB
- ML heap average:
- 1.4 GiB
- Isabelle version:
- 4b7fdf77af07
- AFP version:
- 2f539b3aa0b8




Winding_Number_Eval
- data:
- CSV
- timing:
- 0:01:25 elapsed time, 0:01:26 cpu time, factor 1.01
- ML timing:
- 83.319s elapsed time, 84.660s cpu time, 1.679s GC time, factor 1.02
- ML stack maximum:
- 9 MiB
- ML stack average:
- 6.6 MiB
- ML heap maximum:
- 1.5 GiB
- ML heap average:
- 1.4 GiB
- Isabelle version:
- 4b7fdf77af07
- AFP version:
- 2f539b3aa0b8




LambdaAuth
- data:
- CSV
- timing:
- 0:01:25 elapsed time, 0:01:21 cpu time, factor 0.95
- ML timing:
- 84.096s elapsed time, 79.866s cpu time, 1.232s GC time, factor 0.95
- ML stack maximum:
- 3 MiB
- ML stack average:
- 3 MiB
- ML heap maximum:
- 1.5 GiB
- ML heap average:
- 1.4 GiB
- Isabelle version:
- 4b7fdf77af07
- AFP version:
- 2f539b3aa0b8




Hybrid_Multi_Lane_Spatial_Logic
- data:
- CSV
- timing:
- 0:01:25 elapsed time, 0:01:25 cpu time, factor 1.00
- ML timing:
- 83.777s elapsed time, 84.452s cpu time, 1.382s GC time, factor 1.01
- ML stack maximum:
- 5 MiB
- ML stack average:
- 4 MiB
- ML heap maximum:
- 1.5 GiB
- ML heap average:
- 1.4 GiB
- Isabelle version:
- 4b7fdf77af07
- AFP version:
- 2f539b3aa0b8




Fourier
- data:
- CSV
- timing:
- 0:01:25 elapsed time, 0:01:26 cpu time, factor 1.01
- ML timing:
- 82.978s elapsed time, 84.124s cpu time, 1.624s GC time, factor 1.01
- ML stack maximum:
- 9 MiB
- ML stack average:
- 6.1 MiB
- ML heap maximum:
- 1.5 GiB
- ML heap average:
- 1.4 GiB
- Isabelle version:
- 4b7fdf77af07
- AFP version:
- 2f539b3aa0b8




Combinatorics_Words
- data:
- CSV
- timing:
- 0:01:24 elapsed time, 0:01:27 cpu time, factor 1.04
- ML timing:
- 75.197s elapsed time, 77.585s cpu time, 6.132s GC time, factor 1.03
- ML stack maximum:
- 17 MiB
- ML stack average:
- 14.3 MiB
- ML heap maximum:
- 1.8 GiB
- ML heap average:
- 1.3 GiB
- ML heap stored:
- 21.3 MiB
- Isabelle version:
- 4b7fdf77af07
- AFP version:
- 2f539b3aa0b8




Linear_Recurrences
- data:
- CSV
- timing:
- 0:01:24 elapsed time, 0:01:24 cpu time, factor 1.00
- ML timing:
- 81.574s elapsed time, 82.464s cpu time, 1.926s GC time, factor 1.01
- ML stack maximum:
- 3 MiB
- ML stack average:
- 2.9 MiB
- ML heap maximum:
- 1.5 GiB
- ML heap average:
- 1.4 GiB
- Isabelle version:
- 4b7fdf77af07
- AFP version:
- 2f539b3aa0b8




ProcessComposition
- data:
- CSV
- timing:
- 0:01:24 elapsed time, 0:01:24 cpu time, factor 1.00
- ML timing:
- 68.571s elapsed time, 69.209s cpu time, 4.734s GC time, factor 1.01
- ML stack maximum:
- 5 MiB
- ML stack average:
- 4.3 MiB
- ML heap maximum:
- 1.7 GiB
- ML heap average:
- 1.2 GiB
- ML heap stored:
- 29.9 MiB
- Isabelle version:
- 4b7fdf77af07
- AFP version:
- 2f539b3aa0b8




Q0_Soundness
- data:
- CSV
- timing:
- 0:01:24 elapsed time, 0:01:25 cpu time, factor 1.01
- ML timing:
- 82.758s elapsed time, 83.577s cpu time, 2.141s GC time, factor 1.01
- ML stack maximum:
- 5 MiB
- ML stack average:
- 4.6 MiB
- ML heap maximum:
- 1.5 GiB
- ML heap average:
- 1.4 GiB
- Isabelle version:
- 4b7fdf77af07
- AFP version:
- 2f539b3aa0b8




Subresultants
- data:
- CSV
- timing:
- 0:01:23 elapsed time, 0:01:24 cpu time, factor 1.01
- ML timing:
- 68.637s elapsed time, 69.140s cpu time, 1.320s GC time, factor 1.01
- ML stack maximum:
- 5 MiB
- ML stack average:
- 4.1 MiB
- ML heap maximum:
- 1.5 GiB
- ML heap average:
- 1.2 GiB
- ML heap stored:
- 16.6 MiB
- Isabelle version:
- 4b7fdf77af07
- AFP version:
- 2f539b3aa0b8




Statecharts
- data:
- CSV
- timing:
- 0:01:23 elapsed time, 0:01:23 cpu time, factor 1.00
- ML timing:
- 81.780s elapsed time, 82.219s cpu time, 1.133s GC time, factor 1.01
- ML stack maximum:
- 3 MiB
- ML stack average:
- 2.9 MiB
- ML heap maximum:
- 1.5 GiB
- ML heap average:
- 1.4 GiB
- Isabelle version:
- 4b7fdf77af07
- AFP version:
- 2f539b3aa0b8




LinearQuantifierElim
- data:
- CSV
- timing:
- 0:01:23 elapsed time, 0:01:24 cpu time, factor 1.01
- ML timing:
- 81.319s elapsed time, 81.786s cpu time, 9.421s GC time, factor 1.01
- ML stack maximum:
- 65 MiB
- ML stack average:
- 51.1 MiB
- ML heap maximum:
- 3.4 GiB
- ML heap average:
- 2.4 GiB
- Isabelle version:
- 4b7fdf77af07
- AFP version:
- 2f539b3aa0b8




Nominal_Myhill_Nerode
- data:
- CSV
- timing:
- 0:01:22 elapsed time, 0:01:23 cpu time, factor 1.01
- ML timing:
- 81.064s elapsed time, 81.461s cpu time, 3.385s GC time, factor 1.00
- ML stack maximum:
- 9 MiB
- ML stack average:
- 9 MiB
- ML heap maximum:
- 1.5 GiB
- ML heap average:
- 1.5 GiB
- Isabelle version:
- 4b7fdf77af07
- AFP version:
- 2f539b3aa0b8




Graph_Algorithms
- data:
- CSV
- timing:
- 0:01:22 elapsed time, 0:01:23 cpu time, factor 1.01
- ML timing:
- 80.883s elapsed time, 81.626s cpu time, 1.191s GC time, factor 1.01
- ML stack maximum:
- 5 MiB
- ML stack average:
- 3.4 MiB
- ML heap maximum:
- 1.5 GiB
- ML heap average:
- 1.4 GiB
- Isabelle version:
- 4b7fdf77af07
- AFP version:
- 2f539b3aa0b8




Password_Authentication_Protocol
- data:
- CSV
- timing:
- 0:01:22 elapsed time, 0:01:23 cpu time, factor 1.01
- ML timing:
- 80.950s elapsed time, 81.437s cpu time, 1.866s GC time, factor 1.01
- ML stack maximum:
- 9 MiB
- ML stack average:
- 8.6 MiB
- ML heap maximum:
- 1.5 GiB
- ML heap average:
- 1.4 GiB
- Isabelle version:
- 4b7fdf77af07
- AFP version:
- 2f539b3aa0b8




Given_Clause_Loops
- data:
- CSV
- timing:
- 0:01:22 elapsed time, 0:01:22 cpu time, factor 1.00
- ML timing:
- 78.999s elapsed time, 79.601s cpu time, 2.853s GC time, factor 1.01
- ML stack maximum:
- 5 MiB
- ML stack average:
- 5 MiB
- ML heap maximum:
- 1.5 GiB
- ML heap average:
- 1.4 GiB
- Isabelle version:
- 4b7fdf77af07
- AFP version:
- 2f539b3aa0b8




Khovanskii_Theorem
- data:
- CSV
- timing:
- 0:01:21 elapsed time, 0:01:21 cpu time, factor 1.00
- ML timing:
- 79.215s elapsed time, 79.584s cpu time, 5.009s GC time, factor 1.00
- ML stack maximum:
- 3 MiB
- ML stack average:
- 3 MiB
- ML heap maximum:
- 2.4 GiB
- ML heap average:
- 1.5 GiB
- Isabelle version:
- 4b7fdf77af07
- AFP version:
- 2f539b3aa0b8




ComponentDependencies
- data:
- CSV
- timing:
- 0:01:20 elapsed time, 0:01:20 cpu time, factor 1.00
- ML timing:
- 79.150s elapsed time, 79.422s cpu time, 3.667s GC time, factor 1.00
- ML stack maximum:
- 5 MiB
- ML stack average:
- 4.1 MiB
- ML heap maximum:
- 1.5 GiB
- ML heap average:
- 1.4 GiB
- Isabelle version:
- 4b7fdf77af07
- AFP version:
- 2f539b3aa0b8




Context_Free_Grammar
- data:
- CSV
- timing:
- 0:01:20 elapsed time, 0:01:21 cpu time, factor 1.01
- ML timing:
- 68.007s elapsed time, 68.916s cpu time, 1.965s GC time, factor 1.01
- ML stack maximum:
- 5 MiB
- ML stack average:
- 4.3 MiB
- ML heap maximum:
- 1.5 GiB
- ML heap average:
- 1.3 GiB
- ML heap stored:
- 21.8 MiB
- Isabelle version:
- 4b7fdf77af07
- AFP version:
- 2f539b3aa0b8




VerifyThis2018
- data:
- CSV
- timing:
- 0:01:20 elapsed time, 0:01:19 cpu time, factor 0.99
- ML timing:
- 77.828s elapsed time, 77.247s cpu time, 1.043s GC time, factor 0.99
- ML stack maximum:
- 3 MiB
- ML stack average:
- 2.8 MiB
- ML heap maximum:
- 1.5 GiB
- ML heap average:
- 1.4 GiB
- Isabelle version:
- 4b7fdf77af07
- AFP version:
- 2f539b3aa0b8




Circus
- data:
- CSV
- timing:
- 0:01:18 elapsed time, 0:01:18 cpu time, factor 1.00
- ML timing:
- 76.384s elapsed time, 76.958s cpu time, 5.021s GC time, factor 1.01
- ML stack maximum:
- 3 MiB
- ML stack average:
- 3 MiB
- ML heap maximum:
- 2.3 GiB
- ML heap average:
- 1.6 GiB
- Isabelle version:
- 4b7fdf77af07
- AFP version:
- 2f539b3aa0b8




Encodability_Process_Calculi
- data:
- CSV
- timing:
- 0:01:18 elapsed time, 0:01:20 cpu time, factor 1.03
- ML timing:
- 76.770s elapsed time, 78.230s cpu time, 6.520s GC time, factor 1.02
- ML stack maximum:
- 9 MiB
- ML stack average:
- 8.2 MiB
- ML heap maximum:
- 2.7 GiB
- ML heap average:
- 1.7 GiB
- Isabelle version:
- 4b7fdf77af07
- AFP version:
- 2f539b3aa0b8




Sort_Encodings
- data:
- CSV
- timing:
- 0:01:18 elapsed time, 0:01:19 cpu time, factor 1.01
- ML timing:
- 76.606s elapsed time, 77.417s cpu time, 8.341s GC time, factor 1.01
- ML stack maximum:
- 2 MiB
- ML stack average:
- 2 MiB
- ML heap maximum:
- 2.6 GiB
- ML heap average:
- 1.7 GiB
- Isabelle version:
- 4b7fdf77af07
- AFP version:
- 2f539b3aa0b8




Differential_Privacy
- data:
- CSV
- timing:
- 0:01:18 elapsed time, 0:01:19 cpu time, factor 1.01
- ML timing:
- 76.492s elapsed time, 77.554s cpu time, 1.594s GC time, factor 1.01
- ML stack maximum:
- 6 MiB
- ML stack average:
- 4.4 MiB
- ML heap maximum:
- 1.5 GiB
- ML heap average:
- 1.4 GiB
- Isabelle version:
- 4b7fdf77af07
- AFP version:
- 2f539b3aa0b8




Decreasing-Diagrams-II
- data:
- CSV
- timing:
- 0:01:18 elapsed time, 0:01:19 cpu time, factor 1.01
- ML timing:
- 76.717s elapsed time, 77.785s cpu time, 1.934s GC time, factor 1.01
- ML stack maximum:
- 9 MiB
- ML stack average:
- 8.7 MiB
- ML heap maximum:
- 1.5 GiB
- ML heap average:
- 1.4 GiB
- Isabelle version:
- 4b7fdf77af07
- AFP version:
- 2f539b3aa0b8




Order_Lattice_Props
- data:
- CSV
- timing:
- 0:01:17 elapsed time, 0:01:16 cpu time, factor 0.99
- ML timing:
- 64.733s elapsed time, 64.008s cpu time, 4.207s GC time, factor 0.99
- ML stack maximum:
- 3 MiB
- ML stack average:
- 2.4 MiB
- ML heap maximum:
- 2.1 GiB
- ML heap average:
- 1.3 GiB
- ML heap stored:
- 21.1 MiB
- Isabelle version:
- 4b7fdf77af07
- AFP version:
- 2f539b3aa0b8




FOL_Compactness
- data:
- CSV
- timing:
- 0:01:16 elapsed time, 0:01:16 cpu time, factor 1.00
- ML timing:
- 75.028s elapsed time, 75.250s cpu time, 3.027s GC time, factor 1.00
- ML stack maximum:
- 5 MiB
- ML stack average:
- 5 MiB
- ML heap maximum:
- 1.5 GiB
- ML heap average:
- 1.4 GiB
- Isabelle version:
- 4b7fdf77af07
- AFP version:
- 2f539b3aa0b8




LocalLexing
- data:
- CSV
- timing:
- 0:01:16 elapsed time, 0:01:17 cpu time, factor 1.01
- ML timing:
- 74.947s elapsed time, 76.107s cpu time, 1.903s GC time, factor 1.02
- ML stack maximum:
- 9 MiB
- ML stack average:
- 5.4 MiB
- ML heap maximum:
- 1.5 GiB
- ML heap average:
- 1.4 GiB
- Isabelle version:
- 4b7fdf77af07
- AFP version:
- 2f539b3aa0b8




HoareForDivergence
- data:
- CSV
- timing:
- 0:01:16 elapsed time, 0:01:13 cpu time, factor 0.96
- ML timing:
- 74.725s elapsed time, 72.484s cpu time, 3.183s GC time, factor 0.97
- ML stack maximum:
- 9 MiB
- ML stack average:
- 7.4 MiB
- ML heap maximum:
- 1.5 GiB
- ML heap average:
- 1.4 GiB
- Isabelle version:
- 4b7fdf77af07
- AFP version:
- 2f539b3aa0b8




Mission_Time_LTL_to_Regular_Expression
- data:
- CSV
- timing:
- 0:01:16 elapsed time, 0:01:14 cpu time, factor 0.97
- ML timing:
- 74.319s elapsed time, 73.056s cpu time, 1.239s GC time, factor 0.98
- ML stack maximum:
- 9 MiB
- ML stack average:
- 7.7 MiB
- ML heap maximum:
- 1.5 GiB
- ML heap average:
- 1.4 GiB
- Isabelle version:
- 4b7fdf77af07
- AFP version:
- 2f539b3aa0b8




Clean
- data:
- CSV
- timing:
- 0:01:16 elapsed time, 0:01:17 cpu time, factor 1.01
- ML timing:
- 74.496s elapsed time, 75.665s cpu time, 2.222s GC time, factor 1.02
- ML code maximum:
- 1.1 MiB
- ML stack maximum:
- 9 MiB
- ML stack average:
- 8.2 MiB
- ML heap maximum:
- 1.5 GiB
- ML heap average:
- 1.4 GiB
- Isabelle version:
- 4b7fdf77af07
- AFP version:
- 2f539b3aa0b8




Game_Based_Crypto
- data:
- CSV
- timing:
- 0:01:16 elapsed time, 0:01:16 cpu time, factor 1.00
- ML timing:
- 57.744s elapsed time, 58.010s cpu time, 1.158s GC time, factor 1.00
- ML stack maximum:
- 5 MiB
- ML stack average:
- 4.1 MiB
- ML heap maximum:
- 1.5 GiB
- ML heap average:
- 1.1 GiB
- ML heap stored:
- 15 MiB
- Isabelle version:
- 4b7fdf77af07
- AFP version:
- 2f539b3aa0b8




Hypergraph_Basics
- data:
- CSV
- timing:
- 0:01:14 elapsed time, 0:01:15 cpu time, factor 1.01
- ML timing:
- 72.535s elapsed time, 73.299s cpu time, 2.421s GC time, factor 1.01
- ML stack maximum:
- 5 MiB
- ML stack average:
- 4.9 MiB
- ML heap maximum:
- 1.5 GiB
- ML heap average:
- 1.4 GiB
- Isabelle version:
- 4b7fdf77af07
- AFP version:
- 2f539b3aa0b8




Zeta_3_Irrational
- data:
- CSV
- timing:
- 0:01:14 elapsed time, 0:01:14 cpu time, factor 1.00
- ML timing:
- 71.011s elapsed time, 72.008s cpu time, 1.456s GC time, factor 1.01
- ML stack maximum:
- 5 MiB
- ML stack average:
- 3.6 MiB
- ML heap maximum:
- 1.5 GiB
- ML heap average:
- 1.4 GiB
- Isabelle version:
- 4b7fdf77af07
- AFP version:
- 2f539b3aa0b8




FOL_Seq_Calc2
- data:
- CSV
- timing:
- 0:01:14 elapsed time, 0:01:14 cpu time, factor 1.00
- ML timing:
- 72.064s elapsed time, 72.822s cpu time, 2.734s GC time, factor 1.01
- ML stack maximum:
- 9 MiB
- ML stack average:
- 8.5 MiB
- ML heap maximum:
- 1.5 GiB
- ML heap average:
- 1.4 GiB
- Isabelle version:
- 4b7fdf77af07
- AFP version:
- 2f539b3aa0b8




Show
- data:
- CSV
- timing:
- 0:01:14 elapsed time, 0:01:15 cpu time, factor 1.01
- ML timing:
- 71.984s elapsed time, 73.239s cpu time, 1.967s GC time, factor 1.02
- ML stack maximum:
- 9 MiB
- ML stack average:
- 6.7 MiB
- ML heap maximum:
- 1.5 GiB
- ML heap average:
- 1.4 GiB
- Isabelle version:
- 4b7fdf77af07
- AFP version:
- 2f539b3aa0b8




Generic_Deriving
- data:
- CSV
- timing:
- 0:01:13 elapsed time, 0:01:13 cpu time, factor 1.00
- ML timing:
- 70.837s elapsed time, 70.938s cpu time, 6.416s GC time, factor 1.00
- ML stack maximum:
- 3 MiB
- ML stack average:
- 2.8 MiB
- ML heap maximum:
- 2.3 GiB
- ML heap average:
- 1.7 GiB
- Isabelle version:
- 4b7fdf77af07
- AFP version:
- 2f539b3aa0b8




Robinson_Arithmetic
- data:
- CSV
- timing:
- 0:01:13 elapsed time, 0:01:14 cpu time, factor 1.01
- ML timing:
- 70.883s elapsed time, 72.521s cpu time, 2.430s GC time, factor 1.02
- ML code maximum:
- 3.3 MiB
- ML code average:
- 1.3 MiB
- ML stack maximum:
- 9 MiB
- ML stack average:
- 8.9 MiB
- ML heap maximum:
- 1.5 GiB
- ML heap average:
- 1.4 GiB
- Isabelle version:
- 4b7fdf77af07
- AFP version:
- 2f539b3aa0b8




Weighted_Path_Order
- data:
- CSV
- timing:
- 0:01:13 elapsed time, 0:01:13 cpu time, factor 1.00
- ML timing:
- 62.396s elapsed time, 63.197s cpu time, 1.486s GC time, factor 1.01
- ML stack maximum:
- 5 MiB
- ML stack average:
- 3.6 MiB
- ML heap maximum:
- 1.5 GiB
- ML heap average:
- 1.3 GiB
- ML heap stored:
- 12.4 MiB
- Isabelle version:
- 4b7fdf77af07
- AFP version:
- 2f539b3aa0b8




CAVA_Automata
- data:
- CSV
- timing:
- 0:01:13 elapsed time, 0:01:13 cpu time, factor 1.00
- ML timing:
- 58.978s elapsed time, 59.062s cpu time, 2.605s GC time, factor 1.00
- ML stack maximum:
- 3 MiB
- ML stack average:
- 2.5 MiB
- ML heap maximum:
- 1.5 GiB
- ML heap average:
- 1.2 GiB
- ML heap stored:
- 16.1 MiB
- Isabelle version:
- 4b7fdf77af07
- AFP version:
- 2f539b3aa0b8




Regular-Sets
- data:
- CSV
- timing:
- 0:01:12 elapsed time, 0:01:12 cpu time, factor 1.00
- ML timing:
- 63.012s elapsed time, 63.036s cpu time, 3.397s GC time, factor 1.00
- ML stack maximum:
- 3 MiB
- ML stack average:
- 2.8 MiB
- ML heap maximum:
- 1.5 GiB
- ML heap average:
- 1.2 GiB
- ML heap stored:
- 23.8 MiB
- Isabelle version:
- 4b7fdf77af07
- AFP version:
- 2f539b3aa0b8




Probabilistic_While
- data:
- CSV
- timing:
- 0:01:12 elapsed time, 0:01:12 cpu time, factor 1.00
- ML timing:
- 56.298s elapsed time, 57.033s cpu time, 1.171s GC time, factor 1.01
- ML stack maximum:
- 3 MiB
- ML stack average:
- 2.6 MiB
- ML heap maximum:
- 1.5 GiB
- ML heap average:
- 1.2 GiB
- ML heap stored:
- 10.6 MiB
- Isabelle version:
- 4b7fdf77af07
- AFP version:
- 2f539b3aa0b8




- data:
- CSV
- timing:
- 0:01:12 elapsed time, 0:01:10 cpu time, factor 0.97
- ML timing:
- 70.515s elapsed time, 68.534s cpu time, 1.154s GC time, factor 0.97
- ML stack maximum:
- 17 MiB
- ML stack average:
- 17 MiB
- ML heap maximum:
- 1.5 GiB
- ML heap average:
- 1.4 GiB
- Isabelle version:
- 4b7fdf77af07
- AFP version:
- 2f539b3aa0b8




Pluennecke_Ruzsa_Inequality
- data:
- CSV
- timing:
- 0:01:12 elapsed time, 0:01:11 cpu time, factor 0.99
- ML timing:
- 61.492s elapsed time, 61.711s cpu time, 4.332s GC time, factor 1.00
- ML stack maximum:
- 3 MiB
- ML stack average:
- 2.8 MiB
- ML heap maximum:
- 1.9 GiB
- ML heap average:
- 1.3 GiB
- ML heap stored:
- 7.1 MiB
- Isabelle version:
- 4b7fdf77af07
- AFP version:
- 2f539b3aa0b8




Topological_Semantics
- data:
- CSV
- timing:
- 0:01:12 elapsed time, 0:00:42 cpu time, factor 0.58
- ML timing:
- 70.480s elapsed time, 41.624s cpu time, 1.142s GC time, factor 0.59
- ML stack maximum:
- 2 MiB
- ML stack average:
- 1.9 MiB
- ML heap maximum:
- 1.5 GiB
- ML heap average:
- 1.4 GiB
- Isabelle version:
- 4b7fdf77af07
- AFP version:
- 2f539b3aa0b8




Extended_Finite_State_Machines
- data:
- CSV
- timing:
- 0:01:12 elapsed time, 0:01:12 cpu time, factor 1.00
- ML timing:
- 58.362s elapsed time, 58.973s cpu time, 1.706s GC time, factor 1.01
- ML stack maximum:
- 3 MiB
- ML stack average:
- 2.5 MiB
- ML heap maximum:
- 1.5 GiB
- ML heap average:
- 1.2 GiB
- ML heap stored:
- 25.6 MiB
- Isabelle version:
- 4b7fdf77af07
- AFP version:
- 2f539b3aa0b8




Sepref_Prereq
- data:
- CSV
- timing:
- 0:01:12 elapsed time, 0:01:03 cpu time, factor 0.88
- ML timing:
- 56.480s elapsed time, 47.783s cpu time, 1.533s GC time, factor 0.85
- ML stack maximum:
- 3 MiB
- ML stack average:
- 2.4 MiB
- ML heap maximum:
- 1.5 GiB
- ML heap average:
- 1.2 GiB
- ML heap stored:
- 25.6 MiB
- Isabelle version:
- 4b7fdf77af07
- AFP version:
- 2f539b3aa0b8




Kruskal
- data:
- CSV
- timing:
- 0:01:11 elapsed time, 0:01:11 cpu time, factor 1.00
- ML timing:
- 69.145s elapsed time, 68.903s cpu time, 1.426s GC time, factor 1.00
- ML stack maximum:
- 3 MiB
- ML stack average:
- 2.6 MiB
- ML heap maximum:
- 1.5 GiB
- ML heap average:
- 1.4 GiB
- Isabelle version:
- 4b7fdf77af07
- AFP version:
- 2f539b3aa0b8




QBF_Solver_Verification
- data:
- CSV
- timing:
- 0:01:11 elapsed time, 0:01:11 cpu time, factor 1.00
- ML timing:
- 69.892s elapsed time, 70.294s cpu time, 1.038s GC time, factor 1.01
- ML code maximum:
- 1.9 MiB
- ML code average:
- 1.1 MiB
- ML stack maximum:
- 5 MiB
- ML stack average:
- 4.2 MiB
- ML heap maximum:
- 1.5 GiB
- ML heap average:
- 1.4 GiB
- Isabelle version:
- 4b7fdf77af07
- AFP version:
- 2f539b3aa0b8




Well_Quasi_Orders
- data:
- CSV
- timing:
- 0:01:11 elapsed time, 0:01:11 cpu time, factor 1.00
- ML timing:
- 69.264s elapsed time, 70.291s cpu time, 4.192s GC time, factor 1.01
- ML stack maximum:
- 9 MiB
- ML stack average:
- 9 MiB
- ML heap maximum:
- 1.5 GiB
- ML heap average:
- 1.4 GiB
- Isabelle version:
- 4b7fdf77af07
- AFP version:
- 2f539b3aa0b8




Power_Sum_Polynomials
- data:
- CSV
- timing:
- 0:01:11 elapsed time, 0:01:11 cpu time, factor 1.00
- ML timing:
- 69.081s elapsed time, 69.963s cpu time, 1.525s GC time, factor 1.01
- ML stack maximum:
- 3 MiB
- ML stack average:
- 3 MiB
- ML heap maximum:
- 1.5 GiB
- ML heap average:
- 1.4 GiB
- Isabelle version:
- 4b7fdf77af07
- AFP version:
- 2f539b3aa0b8




TsirelsonBound
- data:
- CSV
- timing:
- 0:01:10 elapsed time, 0:01:10 cpu time, factor 1.00
- ML timing:
- 67.385s elapsed time, 67.695s cpu time, 1.071s GC time, factor 1.00
- ML stack maximum:
- 5 MiB
- ML stack average:
- 5 MiB
- ML heap maximum:
- 1.5 GiB
- ML heap average:
- 1.4 GiB
- Isabelle version:
- 4b7fdf77af07
- AFP version:
- 2f539b3aa0b8




Relational_Minimum_Spanning_Trees
- data:
- CSV
- timing:
- 0:01:10 elapsed time, 0:01:09 cpu time, factor 0.99
- ML timing:
- 68.800s elapsed time, 68.173s cpu time, 4.227s GC time, factor 0.99
- ML stack maximum:
- 9 MiB
- ML stack average:
- 7.4 MiB
- ML heap maximum:
- 2.1 GiB
- ML heap average:
- 1.7 GiB
- Isabelle version:
- 4b7fdf77af07
- AFP version:
- 2f539b3aa0b8




AutoFocus-Stream
- data:
- CSV
- timing:
- 0:01:10 elapsed time, 0:01:11 cpu time, factor 1.01
- ML timing:
- 68.845s elapsed time, 69.476s cpu time, 1.049s GC time, factor 1.01
- ML stack maximum:
- 9 MiB
- ML stack average:
- 8 MiB
- ML heap maximum:
- 1.5 GiB
- ML heap average:
- 1.4 GiB
- Isabelle version:
- 4b7fdf77af07
- AFP version:
- 2f539b3aa0b8




IMP_Compiler_Reuse
- data:
- CSV
- timing:
- 0:01:10 elapsed time, 0:01:10 cpu time, factor 1.00
- ML timing:
- 69.566s elapsed time, 69.775s cpu time, 1.709s GC time, factor 1.00
- ML stack maximum:
- 3 MiB
- ML stack average:
- 2.9 MiB
- ML heap maximum:
- 1.5 GiB
- ML heap average:
- 1.4 GiB
- Isabelle version:
- 4b7fdf77af07
- AFP version:
- 2f539b3aa0b8




Quasi_Borel_Spaces
- data:
- CSV
- timing:
- 0:01:08 elapsed time, 0:01:09 cpu time, factor 1.01
- ML timing:
- 66.207s elapsed time, 67.278s cpu time, 5.322s GC time, factor 1.02
- ML stack maximum:
- 5 MiB
- ML stack average:
- 5 MiB
- ML heap maximum:
- 2 GiB
- ML heap average:
- 1.5 GiB
- Isabelle version:
- 4b7fdf77af07
- AFP version:
- 2f539b3aa0b8




HOL-CSP_OpSem
- data:
- CSV
- timing:
- 0:01:08 elapsed time, 0:01:08 cpu time, factor 1.00
- ML timing:
- 56.983s elapsed time, 57.799s cpu time, 1.660s GC time, factor 1.01
- ML stack maximum:
- 5 MiB
- ML stack average:
- 4.4 MiB
- ML heap maximum:
- 1.5 GiB
- ML heap average:
- 1.3 GiB
- ML heap stored:
- 8.6 MiB
- Isabelle version:
- 4b7fdf77af07
- AFP version:
- 2f539b3aa0b8




Three_Circles
- data:
- CSV
- timing:
- 0:01:08 elapsed time, 0:01:09 cpu time, factor 1.01
- ML timing:
- 67.144s elapsed time, 67.544s cpu time, 2.391s GC time, factor 1.01
- ML stack maximum:
- 5 MiB
- ML stack average:
- 4.8 MiB
- ML heap maximum:
- 1.5 GiB
- ML heap average:
- 1.4 GiB
- Isabelle version:
- 4b7fdf77af07
- AFP version:
- 2f539b3aa0b8




Top_Down_Solver
- data:
- CSV
- timing:
- 0:01:08 elapsed time, 0:01:05 cpu time, factor 0.96
- ML timing:
- 66.345s elapsed time, 63.480s cpu time, 3.273s GC time, factor 0.96
- ML stack maximum:
- 5 MiB
- ML stack average:
- 4.7 MiB
- ML heap maximum:
- 1.5 GiB
- ML heap average:
- 1.4 GiB
- Isabelle version:
- 4b7fdf77af07
- AFP version:
- 2f539b3aa0b8




Coppersmith_Method
- data:
- CSV
- timing:
- 0:01:07 elapsed time, 0:01:05 cpu time, factor 0.97
- ML timing:
- 64.763s elapsed time, 63.262s cpu time, 1.930s GC time, factor 0.98
- ML stack maximum:
- 3 MiB
- ML stack average:
- 2.8 MiB
- ML heap maximum:
- 1.5 GiB
- ML heap average:
- 1.4 GiB
- Isabelle version:
- 4b7fdf77af07
- AFP version:
- 2f539b3aa0b8




Dijkstra_Shortest_Path
- data:
- CSV
- timing:
- 0:01:07 elapsed time, 0:00:53 cpu time, factor 0.79
- ML timing:
- 64.891s elapsed time, 51.711s cpu time, 3.275s GC time, factor 0.80
- ML stack maximum:
- 3 MiB
- ML stack average:
- 2.6 MiB
- ML heap maximum:
- 1.5 GiB
- ML heap average:
- 1.4 GiB
- Isabelle version:
- 4b7fdf77af07
- AFP version:
- 2f539b3aa0b8




UTP
- data:
- CSV
- timing:
- 0:01:07 elapsed time, 0:01:07 cpu time, factor 1.00
- ML timing:
- 64.887s elapsed time, 65.703s cpu time, 2.124s GC time, factor 1.01
- ML stack maximum:
- 5 MiB
- ML stack average:
- 4.5 MiB
- ML heap maximum:
- 1.5 GiB
- ML heap average:
- 1.4 GiB
- Isabelle version:
- 4b7fdf77af07
- AFP version:
- 2f539b3aa0b8




Stone_Algebras
- data:
- CSV
- timing:
- 0:01:07 elapsed time, 0:01:07 cpu time, factor 1.00
- ML timing:
- 59.414s elapsed time, 59.833s cpu time, 3.536s GC time, factor 1.01
- ML stack maximum:
- 5 MiB
- ML stack average:
- 4.6 MiB
- ML heap maximum:
- 2 GiB
- ML heap average:
- 1.3 GiB
- ML heap stored:
- 16 MiB
- Isabelle version:
- 4b7fdf77af07
- AFP version:
- 2f539b3aa0b8




Probabilistic_System_Zoo
- data:
- CSV
- timing:
- 0:01:06 elapsed time, 0:01:07 cpu time, factor 1.02
- ML timing:
- 63.761s elapsed time, 64.562s cpu time, 2.006s GC time, factor 1.01
- ML stack maximum:
- 5 MiB
- ML stack average:
- 4.4 MiB
- ML heap maximum:
- 1.5 GiB
- ML heap average:
- 1.4 GiB
- Isabelle version:
- 4b7fdf77af07
- AFP version:
- 2f539b3aa0b8




Treaps
- data:
- CSV
- timing:
- 0:01:06 elapsed time, 0:01:07 cpu time, factor 1.02
- ML timing:
- 64.061s elapsed time, 64.831s cpu time, 1.657s GC time, factor 1.01
- ML stack maximum:
- 3 MiB
- ML stack average:
- 2.8 MiB
- ML heap maximum:
- 1.5 GiB
- ML heap average:
- 1.4 GiB
- Isabelle version:
- 4b7fdf77af07
- AFP version:
- 2f539b3aa0b8




Knights_Tour
- data:
- CSV
- timing:
- 0:01:06 elapsed time, 0:01:06 cpu time, factor 1.00
- ML timing:
- 64.849s elapsed time, 65.152s cpu time, 0.892s GC time, factor 1.00
- ML code maximum:
- 3.4 MiB
- ML code average:
- 1.5 MiB
- ML stack maximum:
- 9 MiB
- ML stack average:
- 9 MiB
- ML heap maximum:
- 1.5 GiB
- ML heap average:
- 1.4 GiB
- Isabelle version:
- 4b7fdf77af07
- AFP version:
- 2f539b3aa0b8




WOOT_Strong_Eventual_Consistency
- data:
- CSV
- timing:
- 0:01:06 elapsed time, 0:01:06 cpu time, factor 1.00
- ML timing:
- 64.579s elapsed time, 65.102s cpu time, 1.968s GC time, factor 1.01
- ML stack maximum:
- 3 MiB
- ML stack average:
- 3 MiB
- ML heap maximum:
- 1.5 GiB
- ML heap average:
- 1.4 GiB
- Isabelle version:
- 4b7fdf77af07
- AFP version:
- 2f539b3aa0b8




Prime_Number_Theorem
- data:
- CSV
- timing:
- 0:01:06 elapsed time, 0:01:06 cpu time, factor 1.00
- ML timing:
- 50.441s elapsed time, 51.240s cpu time, 1.857s GC time, factor 1.02
- ML stack maximum:
- 5 MiB
- ML stack average:
- 4.2 MiB
- ML heap maximum:
- 1.5 GiB
- ML heap average:
- 1.1 GiB
- ML heap stored:
- 8.9 MiB
- Isabelle version:
- 4b7fdf77af07
- AFP version:
- 2f539b3aa0b8




Wetzels_Problem
- data:
- CSV
- timing:
- 0:01:06 elapsed time, 0:01:07 cpu time, factor 1.02
- ML timing:
- 64.304s elapsed time, 65.322s cpu time, 2.580s GC time, factor 1.02
- ML stack maximum:
- 5 MiB
- ML stack average:
- 4.5 MiB
- ML heap maximum:
- 1.5 GiB
- ML heap average:
- 1.4 GiB
- Isabelle version:
- 4b7fdf77af07
- AFP version:
- 2f539b3aa0b8




Multitape_To_Singletape_TM
- data:
- CSV
- timing:
- 0:01:06 elapsed time, 0:01:05 cpu time, factor 0.98
- ML timing:
- 64.192s elapsed time, 64.193s cpu time, 2.616s GC time, factor 1.00
- ML stack maximum:
- 9 MiB
- ML stack average:
- 5.9 MiB
- ML heap maximum:
- 1.5 GiB
- ML heap average:
- 1.4 GiB
- Isabelle version:
- 4b7fdf77af07
- AFP version:
- 2f539b3aa0b8




Hermite
- data:
- CSV
- timing:
- 0:01:06 elapsed time, 0:01:06 cpu time, factor 1.00
- ML timing:
- 51.800s elapsed time, 52.012s cpu time, 0.931s GC time, factor 1.00
- ML stack maximum:
- 5 MiB
- ML stack average:
- 4.2 MiB
- ML heap maximum:
- 1.5 GiB
- ML heap average:
- 1.1 GiB
- ML heap stored:
- 4.8 MiB
- Isabelle version:
- 4b7fdf77af07
- AFP version:
- 2f539b3aa0b8




UpDown_Scheme
- data:
- CSV
- timing:
- 0:01:06 elapsed time, 0:01:07 cpu time, factor 1.02
- ML timing:
- 63.756s elapsed time, 65.023s cpu time, 1.603s GC time, factor 1.02
- ML stack maximum:
- 9 MiB
- ML stack average:
- 8.6 MiB
- ML heap maximum:
- 1.5 GiB
- ML heap average:
- 1.4 GiB
- Isabelle version:
- 4b7fdf77af07
- AFP version:
- 2f539b3aa0b8




Factored_Transition_System_Bounding
- data:
- CSV
- timing:
- 0:01:05 elapsed time, 0:01:03 cpu time, factor 0.97
- ML timing:
- 63.943s elapsed time, 61.599s cpu time, 2.525s GC time, factor 0.96
- ML stack maximum:
- 5 MiB
- ML stack average:
- 4.3 MiB
- ML heap maximum:
- 1.5 GiB
- ML heap average:
- 1.4 GiB
- Isabelle version:
- 4b7fdf77af07
- AFP version:
- 2f539b3aa0b8




Jacobson_Basic_Algebra
- data:
- CSV
- timing:
- 0:01:05 elapsed time, 0:01:05 cpu time, factor 1.00
- ML timing:
- 58.803s elapsed time, 58.971s cpu time, 4.278s GC time, factor 1.00
- ML stack maximum:
- 3 MiB
- ML stack average:
- 2.8 MiB
- ML heap maximum:
- 1.7 GiB
- ML heap average:
- 1.3 GiB
- ML heap stored:
- 5.7 MiB
- Isabelle version:
- 4b7fdf77af07
- AFP version:
- 2f539b3aa0b8




Suppes_Theorem
- data:
- CSV
- timing:
- 0:01:05 elapsed time, 0:01:06 cpu time, factor 1.02
- ML timing:
- 56.159s elapsed time, 57.318s cpu time, 2.046s GC time, factor 1.02
- ML stack maximum:
- 9 MiB
- ML stack average:
- 8 MiB
- ML heap maximum:
- 1.5 GiB
- ML heap average:
- 1.3 GiB
- ML heap stored:
- 20.2 MiB
- Isabelle version:
- 4b7fdf77af07
- AFP version:
- 2f539b3aa0b8




Concentrated_Liquidity_Market_Making_Operations
- data:
- CSV
- timing:
- 0:01:04 elapsed time, 0:01:04 cpu time, factor 1.00
- ML timing:
- 62.025s elapsed time, 62.717s cpu time, 1.166s GC time, factor 1.01
- ML stack maximum:
- 9 MiB
- ML stack average:
- 7.8 MiB
- ML heap maximum:
- 1.5 GiB
- ML heap average:
- 1.4 GiB
- Isabelle version:
- 4b7fdf77af07
- AFP version:
- 2f539b3aa0b8




EdmondsKarp_Maxflow
- data:
- CSV
- timing:
- 0:01:04 elapsed time, 0:00:59 cpu time, factor 0.92
- ML timing:
- 61.938s elapsed time, 57.315s cpu time, 1.417s GC time, factor 0.93
- ML stack maximum:
- 3 MiB
- ML stack average:
- 2.5 MiB
- ML heap maximum:
- 1.5 GiB
- ML heap average:
- 1.4 GiB
- Isabelle version:
- 4b7fdf77af07
- AFP version:
- 2f539b3aa0b8




Babai_Nearest_Plane
- data:
- CSV
- timing:
- 0:01:04 elapsed time, 0:01:04 cpu time, factor 1.00
- ML timing:
- 62.537s elapsed time, 62.694s cpu time, 1.388s GC time, factor 1.00
- ML stack maximum:
- 5 MiB
- ML stack average:
- 4.9 MiB
- ML heap maximum:
- 1.5 GiB
- ML heap average:
- 1.4 GiB
- Isabelle version:
- 4b7fdf77af07
- AFP version:
- 2f539b3aa0b8




Mission_Time_LTL_Language_Partition
- data:
- CSV
- timing:
- 0:01:04 elapsed time, 0:01:04 cpu time, factor 1.00
- ML timing:
- 61.757s elapsed time, 62.325s cpu time, 2.444s GC time, factor 1.01
- ML stack maximum:
- 17 MiB
- ML stack average:
- 14.7 MiB
- ML heap maximum:
- 1.5 GiB
- ML heap average:
- 1.4 GiB
- Isabelle version:
- 4b7fdf77af07
- AFP version:
- 2f539b3aa0b8




Differential_Game_Logic
- data:
- CSV
- timing:
- 0:01:04 elapsed time, 0:01:05 cpu time, factor 1.02
- ML timing:
- 62.409s elapsed time, 62.847s cpu time, 1.984s GC time, factor 1.01
- ML stack maximum:
- 5 MiB
- ML stack average:
- 4.1 MiB
- ML heap maximum:
- 1.5 GiB
- ML heap average:
- 1.4 GiB
- Isabelle version:
- 4b7fdf77af07
- AFP version:
- 2f539b3aa0b8




Automatic_Refinement
- data:
- CSV
- timing:
- 0:01:04 elapsed time, 0:01:04 cpu time, factor 1.00
- ML timing:
- 54.936s elapsed time, 56.117s cpu time, 4.026s GC time, factor 1.02
- ML code maximum:
- 1.7 MiB
- ML code average:
- 1.1 MiB
- ML stack maximum:
- 9 MiB
- ML stack average:
- 7.8 MiB
- ML heap maximum:
- 1.5 GiB
- ML heap average:
- 1.2 GiB
- ML heap stored:
- 20.9 MiB
- Isabelle version:
- 4b7fdf77af07
- AFP version:
- 2f539b3aa0b8




Tarskis_Geometry
- data:
- CSV
- timing:
- 0:01:02 elapsed time, 0:01:00 cpu time, factor 0.97
- ML timing:
- 60.538s elapsed time, 57.971s cpu time, 1.696s GC time, factor 0.96
- ML stack maximum:
- 9 MiB
- ML stack average:
- 5.1 MiB
- ML heap maximum:
- 1.5 GiB
- ML heap average:
- 1.4 GiB
- Isabelle version:
- 4b7fdf77af07
- AFP version:
- 2f539b3aa0b8




Commuting_Hermitian
- data:
- CSV
- timing:
- 0:01:02 elapsed time, 0:01:02 cpu time, factor 1.00
- ML timing:
- 44.211s elapsed time, 44.368s cpu time, 1.047s GC time, factor 1.00
- ML stack maximum:
- 9 MiB
- ML stack average:
- 5.8 MiB
- ML heap maximum:
- 1.5 GiB
- ML heap average:
- 1.1 GiB
- ML heap stored:
- 7.9 MiB
- Isabelle version:
- 4b7fdf77af07
- AFP version:
- 2f539b3aa0b8




ILL
- data:
- CSV
- timing:
- 0:01:02 elapsed time, 0:01:01 cpu time, factor 0.98
- ML timing:
- 60.185s elapsed time, 60.027s cpu time, 7.055s GC time, factor 1.00
- ML stack maximum:
- 3 MiB
- ML stack average:
- 2.9 MiB
- ML heap maximum:
- 2.3 GiB
- ML heap average:
- 1.5 GiB
- Isabelle version:
- 4b7fdf77af07
- AFP version:
- 2f539b3aa0b8




Directed_Sets
- data:
- CSV
- timing:
- 0:01:01 elapsed time, 0:01:02 cpu time, factor 1.02
- ML timing:
- 59.945s elapsed time, 60.896s cpu time, 1.934s GC time, factor 1.02
- ML stack maximum:
- 5 MiB
- ML stack average:
- 5 MiB
- ML heap maximum:
- 1.5 GiB
- ML heap average:
- 1.4 GiB
- Isabelle version:
- 4b7fdf77af07
- AFP version:
- 2f539b3aa0b8




Valuation
- data:
- CSV
- timing:
- 0:01:01 elapsed time, 0:01:02 cpu time, factor 1.02
- ML timing:
- 59.404s elapsed time, 60.651s cpu time, 2.029s GC time, factor 1.02
- ML stack maximum:
- 9 MiB
- ML stack average:
- 9 MiB
- ML heap maximum:
- 1.5 GiB
- ML heap average:
- 1.4 GiB
- Isabelle version:
- 4b7fdf77af07
- AFP version:
- 2f539b3aa0b8




Multiset_Ordering_NPC
- data:
- CSV
- timing:
- 0:01:01 elapsed time, 0:01:01 cpu time, factor 1.00
- ML timing:
- 59.352s elapsed time, 59.304s cpu time, 0.809s GC time, factor 1.00
- ML stack maximum:
- 17 MiB
- ML stack average:
- 12.7 MiB
- ML heap maximum:
- 1.5 GiB
- ML heap average:
- 1.4 GiB
- Isabelle version:
- 4b7fdf77af07
- AFP version:
- 2f539b3aa0b8




Gaussian_Integers
- data:
- CSV
- timing:
- 0:01:01 elapsed time, 0:01:02 cpu time, factor 1.02
- ML timing:
- 52.439s elapsed time, 53.063s cpu time, 0.935s GC time, factor 1.01
- ML stack maximum:
- 5 MiB
- ML stack average:
- 4.5 MiB
- ML heap maximum:
- 1.5 GiB
- ML heap average:
- 1.2 GiB
- ML heap stored:
- 12.5 MiB
- Isabelle version:
- 4b7fdf77af07
- AFP version:
- 2f539b3aa0b8




Concurrent_Revisions
- data:
- CSV
- timing:
- 0:01:01 elapsed time, 0:01:01 cpu time, factor 1.00
- ML timing:
- 59.254s elapsed time, 59.638s cpu time, 2.491s GC time, factor 1.01
- ML stack maximum:
- 3 MiB
- ML stack average:
- 2.6 MiB
- ML heap maximum:
- 1.5 GiB
- ML heap average:
- 1.4 GiB
- Isabelle version:
- 4b7fdf77af07
- AFP version:
- 2f539b3aa0b8




Buchi_Complementation
- data:
- CSV
- timing:
- 0:01:01 elapsed time, 0:00:54 cpu time, factor 0.89
- ML timing:
- 58.960s elapsed time, 52.183s cpu time, 1.056s GC time, factor 0.89
- ML stack maximum:
- 3 MiB
- ML stack average:
- 2.8 MiB
- ML heap maximum:
- 1.5 GiB
- ML heap average:
- 1.4 GiB
- Isabelle version:
- 4b7fdf77af07
- AFP version:
- 2f539b3aa0b8




Koenigsberg_Friendship
- data:
- CSV
- timing:
- 0:01:01 elapsed time, 0:01:02 cpu time, factor 1.02
- ML timing:
- 59.657s elapsed time, 60.276s cpu time, 4.028s GC time, factor 1.01
- ML stack maximum:
- 5 MiB
- ML stack average:
- 5 MiB
- ML heap maximum:
- 1.5 GiB
- ML heap average:
- 1.4 GiB
- Isabelle version:
- 4b7fdf77af07
- AFP version:
- 2f539b3aa0b8




HyperHoareLogic
- data:
- CSV
- timing:
- 0:01:00 elapsed time, 0:01:01 cpu time, factor 1.02
- ML timing:
- 58.233s elapsed time, 59.087s cpu time, 4.242s GC time, factor 1.01
- ML stack maximum:
- 5 MiB
- ML stack average:
- 4.5 MiB
- ML heap maximum:
- 2 GiB
- ML heap average:
- 1.4 GiB
- Isabelle version:
- 4b7fdf77af07
- AFP version:
- 2f539b3aa0b8




Concentration_Inequalities
- data:
- CSV
- timing:
- 0:01:00 elapsed time, 0:01:00 cpu time, factor 1.00
- ML timing:
- 57.958s elapsed time, 58.759s cpu time, 1.103s GC time, factor 1.01
- ML stack maximum:
- 5 MiB
- ML stack average:
- 4.4 MiB
- ML heap maximum:
- 1.5 GiB
- ML heap average:
- 1.4 GiB
- Isabelle version:
- 4b7fdf77af07
- AFP version:
- 2f539b3aa0b8




SIFUM_Type_Systems
- data:
- CSV
- timing:
- 0:01:00 elapsed time, 0:01:00 cpu time, factor 1.00
- ML timing:
- 57.667s elapsed time, 58.045s cpu time, 4.083s GC time, factor 1.01
- ML stack maximum:
- 5 MiB
- ML stack average:
- 4.5 MiB
- ML heap maximum:
- 1.5 GiB
- ML heap average:
- 1.4 GiB
- Isabelle version:
- 4b7fdf77af07
- AFP version:
- 2f539b3aa0b8




Incredible_Proof_Machine
- data:
- CSV
- timing:
- 0:01:00 elapsed time, 0:01:00 cpu time, factor 1.00
- ML timing:
- 58.243s elapsed time, 58.779s cpu time, 2.205s GC time, factor 1.01
- ML stack maximum:
- 2 MiB
- ML stack average:
- 2 MiB
- ML heap maximum:
- 1.5 GiB
- ML heap average:
- 1.4 GiB
- Isabelle version:
- 4b7fdf77af07
- AFP version:
- 2f539b3aa0b8




Martingales
- data:
- CSV
- timing:
- 0:00:59 elapsed time, 0:01:00 cpu time, factor 1.02
- ML timing:
- 45.143s elapsed time, 45.543s cpu time, 0.777s GC time, factor 1.01
- ML stack maximum:
- 5 MiB
- ML stack average:
- 4 MiB
- ML heap maximum:
- 1.5 GiB
- ML heap average:
- 1.1 GiB
- ML heap stored:
- 7.6 MiB
- Isabelle version:
- 4b7fdf77af07
- AFP version:
- 2f539b3aa0b8




LightweightJava
- data:
- CSV
- timing:
- 0:00:59 elapsed time, 0:00:59 cpu time, factor 1.00
- ML timing:
- 57.277s elapsed time, 57.614s cpu time, 1.413s GC time, factor 1.01
- ML stack maximum:
- 5 MiB
- ML stack average:
- 4.2 MiB
- ML heap maximum:
- 1.5 GiB
- ML heap average:
- 1.4 GiB
- Isabelle version:
- 4b7fdf77af07
- AFP version:
- 2f539b3aa0b8




Nominal2
- data:
- CSV
- timing:
- 0:00:59 elapsed time, 0:01:00 cpu time, factor 1.02
- ML timing:
- 49.684s elapsed time, 50.984s cpu time, 1.948s GC time, factor 1.03
- ML code maximum:
- 3.3 MiB
- ML stack maximum:
- 9 MiB
- ML stack average:
- 7.8 MiB
- ML heap maximum:
- 1.5 GiB
- ML heap average:
- 1.2 GiB
- ML heap stored:
- 28.1 MiB
- Isabelle version:
- 4b7fdf77af07
- AFP version:
- 2f539b3aa0b8




Dominance_CHK
- data:
- CSV
- timing:
- 0:00:58 elapsed time, 0:00:58 cpu time, factor 1.00
- ML timing:
- 57.049s elapsed time, 57.672s cpu time, 1.130s GC time, factor 1.01
- ML stack maximum:
- 5 MiB
- ML stack average:
- 3.6 MiB
- ML heap maximum:
- 1.5 GiB
- ML heap average:
- 1.4 GiB
- Isabelle version:
- 4b7fdf77af07
- AFP version:
- 2f539b3aa0b8




Coupledsim_Contrasim
- data:
- CSV
- timing:
- 0:00:58 elapsed time, 0:00:59 cpu time, factor 1.02
- ML timing:
- 56.689s elapsed time, 57.161s cpu time, 3.089s GC time, factor 1.01
- ML stack maximum:
- 17 MiB
- ML stack average:
- 15.7 MiB
- ML heap maximum:
- 1.8 GiB
- ML heap average:
- 1.5 GiB
- Isabelle version:
- 4b7fdf77af07
- AFP version:
- 2f539b3aa0b8




SimplifiedOntologicalArgument
- data:
- CSV
- timing:
- 0:00:58 elapsed time, 0:00:49 cpu time, factor 0.84
- ML timing:
- 56.815s elapsed time, 48.384s cpu time, 2.550s GC time, factor 0.85
- ML stack maximum:
- 5 MiB
- ML stack average:
- 3.3 MiB
- ML heap maximum:
- 2.4 GiB
- ML heap average:
- 1.6 GiB
- Isabelle version:
- 4b7fdf77af07
- AFP version:
- 2f539b3aa0b8




Subset_Boolean_Algebras
- data:
- CSV
- timing:
- 0:00:57 elapsed time, 0:00:50 cpu time, factor 0.88
- ML timing:
- 56.350s elapsed time, 48.706s cpu time, 1.293s GC time, factor 0.86
- ML stack maximum:
- 5 MiB
- ML stack average:
- 5 MiB
- ML heap maximum:
- 1.5 GiB
- ML heap average:
- 1.4 GiB
- Isabelle version:
- 4b7fdf77af07
- AFP version:
- 2f539b3aa0b8




Dynamic_Pushdown_Networks
- data:
- CSV
- timing:
- 0:00:57 elapsed time, 0:00:57 cpu time, factor 1.00
- ML timing:
- 55.117s elapsed time, 55.749s cpu time, 3.071s GC time, factor 1.01
- ML stack maximum:
- 9 MiB
- ML stack average:
- 8.9 MiB
- ML heap maximum:
- 1.5 GiB
- ML heap average:
- 1.4 GiB
- Isabelle version:
- 4b7fdf77af07
- AFP version:
- 2f539b3aa0b8




SIFPL
- data:
- CSV
- timing:
- 0:00:57 elapsed time, 0:00:57 cpu time, factor 1.00
- ML timing:
- 55.683s elapsed time, 56.049s cpu time, 1.109s GC time, factor 1.01
- ML stack maximum:
- 5 MiB
- ML stack average:
- 4.1 MiB
- ML heap maximum:
- 1.5 GiB
- ML heap average:
- 1.4 GiB
- Isabelle version:
- 4b7fdf77af07
- AFP version:
- 2f539b3aa0b8




Applicative_Lifting
- data:
- CSV
- timing:
- 0:00:57 elapsed time, 0:00:57 cpu time, factor 1.00
- ML timing:
- 37.364s elapsed time, 37.937s cpu time, 1.619s GC time, factor 1.02
- ML stack maximum:
- 3 MiB
- ML stack average:
- 2.4 MiB
- ML heap maximum:
- 1.5 GiB
- ML heap average:
- 1 GiB
- ML heap stored:
- 33 MiB
- Isabelle version:
- 4b7fdf77af07
- AFP version:
- 2f539b3aa0b8




Topological_Groups
- data:
- CSV
- timing:
- 0:00:57 elapsed time, 0:00:57 cpu time, factor 1.00
- ML timing:
- 55.089s elapsed time, 55.711s cpu time, 2.192s GC time, factor 1.01
- ML stack maximum:
- 5 MiB
- ML stack average:
- 4.1 MiB
- ML heap maximum:
- 1.5 GiB
- ML heap average:
- 1.4 GiB
- Isabelle version:
- 4b7fdf77af07
- AFP version:
- 2f539b3aa0b8




SuperCalc
- data:
- CSV
- timing:
- 0:00:57 elapsed time, 0:00:58 cpu time, factor 1.02
- ML timing:
- 55.180s elapsed time, 56.380s cpu time, 1.761s GC time, factor 1.02
- ML stack maximum:
- 17 MiB
- ML stack average:
- 13 MiB
- ML heap maximum:
- 1.5 GiB
- ML heap average:
- 1.4 GiB
- Isabelle version:
- 4b7fdf77af07
- AFP version:
- 2f539b3aa0b8




Pushdown_Systems
- data:
- CSV
- timing:
- 0:00:56 elapsed time, 0:00:56 cpu time, factor 1.00
- ML timing:
- 54.759s elapsed time, 54.783s cpu time, 2.663s GC time, factor 1.00
- ML stack maximum:
- 5 MiB
- ML stack average:
- 4.5 MiB
- ML heap maximum:
- 1.5 GiB
- ML heap average:
- 1.4 GiB
- Isabelle version:
- 4b7fdf77af07
- AFP version:
- 2f539b3aa0b8




Pell
- data:
- CSV
- timing:
- 0:00:55 elapsed time, 0:00:55 cpu time, factor 1.00
- ML timing:
- 53.510s elapsed time, 53.723s cpu time, 0.737s GC time, factor 1.00
- ML stack maximum:
- 9 MiB
- ML stack average:
- 4.7 MiB
- ML heap maximum:
- 1.5 GiB
- ML heap average:
- 1.4 GiB
- Isabelle version:
- 4b7fdf77af07
- AFP version:
- 2f539b3aa0b8




Kraus_Maps
- data:
- CSV
- timing:
- 0:00:55 elapsed time, 0:00:53 cpu time, factor 0.96
- ML timing:
- 52.306s elapsed time, 50.286s cpu time, 1.387s GC time, factor 0.96
- ML stack maximum:
- 17 MiB
- ML stack average:
- 16.3 MiB
- ML heap maximum:
- 1.5 GiB
- ML heap average:
- 1.4 GiB
- Isabelle version:
- 4b7fdf77af07
- AFP version:
- 2f539b3aa0b8




CubicalCategories
- data:
- CSV
- timing:
- 0:00:55 elapsed time, 0:00:52 cpu time, factor 0.95
- ML timing:
- 53.925s elapsed time, 50.722s cpu time, 1.626s GC time, factor 0.94
- ML stack maximum:
- 3 MiB
- ML stack average:
- 2.8 MiB
- ML heap maximum:
- 1.5 GiB
- ML heap average:
- 1.4 GiB
- Isabelle version:
- 4b7fdf77af07
- AFP version:
- 2f539b3aa0b8




XML
- data:
- CSV
- timing:
- 0:00:54 elapsed time, 0:00:54 cpu time, factor 1.00
- ML timing:
- 52.799s elapsed time, 53.012s cpu time, 1.172s GC time, factor 1.00
- ML stack maximum:
- 3 MiB
- ML stack average:
- 2.2 MiB
- ML heap maximum:
- 1.5 GiB
- ML heap average:
- 1.4 GiB
- Isabelle version:
- 4b7fdf77af07
- AFP version:
- 2f539b3aa0b8




- data:
- CSV
- timing:
- 0:00:53 elapsed time, 0:00:52 cpu time, factor 0.98
- ML timing:
- 51.871s elapsed time, 50.752s cpu time, 1.317s GC time, factor 0.98
- ML stack maximum:
- 5 MiB
- ML stack average:
- 3.8 MiB
- ML heap maximum:
- 1.5 GiB
- ML heap average:
- 1.4 GiB
- Isabelle version:
- 4b7fdf77af07
- AFP version:
- 2f539b3aa0b8




Fishburn_Impossibility
- data:
- CSV
- timing:
- 0:00:53 elapsed time, 0:00:54 cpu time, factor 1.02
- ML timing:
- 52.233s elapsed time, 53.262s cpu time, 2.893s GC time, factor 1.02
- ML stack maximum:
- 9 MiB
- ML stack average:
- 8.9 MiB
- ML heap maximum:
- 1.5 GiB
- ML heap average:
- 1.4 GiB
- Isabelle version:
- 4b7fdf77af07
- AFP version:
- 2f539b3aa0b8




Separation_Algebra
- data:
- CSV
- timing:
- 0:00:53 elapsed time, 0:00:53 cpu time, factor 1.00
- ML timing:
- 51.672s elapsed time, 52.311s cpu time, 1.798s GC time, factor 1.01
- ML stack maximum:
- 9 MiB
- ML stack average:
- 7.7 MiB
- ML heap maximum:
- 1.5 GiB
- ML heap average:
- 1.4 GiB
- Isabelle version:
- 4b7fdf77af07
- AFP version:
- 2f539b3aa0b8




Sturm_Sequences
- data:
- CSV
- timing:
- 0:00:52 elapsed time, 0:00:53 cpu time, factor 1.02
- ML timing:
- 46.301s elapsed time, 46.686s cpu time, 0.677s GC time, factor 1.01
- ML stack maximum:
- 5 MiB
- ML stack average:
- 4.4 MiB
- ML heap maximum:
- 1.5 GiB
- ML heap average:
- 1.3 GiB
- ML heap stored:
- 4.5 MiB
- Isabelle version:
- 4b7fdf77af07
- AFP version:
- 2f539b3aa0b8




PCF
- data:
- CSV
- timing:
- 0:00:52 elapsed time, 0:00:50 cpu time, factor 0.96
- ML timing:
- 50.318s elapsed time, 49.243s cpu time, 0.923s GC time, factor 0.98
- ML stack maximum:
- 3 MiB
- ML stack average:
- 2.9 MiB
- ML heap maximum:
- 1.5 GiB
- ML heap average:
- 1.4 GiB
- Isabelle version:
- 4b7fdf77af07
- AFP version:
- 2f539b3aa0b8




Matrix
- data:
- CSV
- timing:
- 0:00:52 elapsed time, 0:00:52 cpu time, factor 1.00
- ML timing:
- 42.615s elapsed time, 43.297s cpu time, 1.616s GC time, factor 1.02
- ML stack maximum:
- 3 MiB
- ML stack average:
- 2.7 MiB
- ML heap maximum:
- 1.5 GiB
- ML heap average:
- 1.2 GiB
- ML heap stored:
- 13.7 MiB
- Isabelle version:
- 4b7fdf77af07
- AFP version:
- 2f539b3aa0b8




Consensus_Refined
- data:
- CSV
- timing:
- 0:00:51 elapsed time, 0:00:51 cpu time, factor 1.00
- ML timing:
- 49.319s elapsed time, 50.153s cpu time, 1.445s GC time, factor 1.02
- ML stack maximum:
- 3 MiB
- ML stack average:
- 2.2 MiB
- ML heap maximum:
- 1.5 GiB
- ML heap average:
- 1.4 GiB
- Isabelle version:
- 4b7fdf77af07
- AFP version:
- 2f539b3aa0b8




Chebyshev_Polynomials
- data:
- CSV
- timing:
- 0:00:51 elapsed time, 0:00:51 cpu time, factor 1.00
- ML timing:
- 48.564s elapsed time, 49.783s cpu time, 1.468s GC time, factor 1.03
- ML stack maximum:
- 9 MiB
- ML stack average:
- 7.9 MiB
- ML heap maximum:
- 1.5 GiB
- ML heap average:
- 1.4 GiB
- Isabelle version:
- 4b7fdf77af07
- AFP version:
- 2f539b3aa0b8




Relational_Forests
- data:
- CSV
- timing:
- 0:00:51 elapsed time, 0:00:49 cpu time, factor 0.96
- ML timing:
- 49.623s elapsed time, 48.320s cpu time, 2.212s GC time, factor 0.97
- ML stack maximum:
- 3 MiB
- ML stack average:
- 2.8 MiB
- ML heap maximum:
- 1.5 GiB
- ML heap average:
- 1.4 GiB
- Isabelle version:
- 4b7fdf77af07
- AFP version:
- 2f539b3aa0b8




Hood_Melville_Queue
- data:
- CSV
- timing:
- 0:00:50 elapsed time, 0:00:50 cpu time, factor 1.00
- ML timing:
- 48.892s elapsed time, 48.940s cpu time, 0.890s GC time, factor 1.00
- ML stack maximum:
- 2 MiB
- ML stack average:
- 2 MiB
- ML heap maximum:
- 1.5 GiB
- ML heap average:
- 1.4 GiB
- Isabelle version:
- 4b7fdf77af07
- AFP version:
- 2f539b3aa0b8




Foundation_of_geometry
- data:
- CSV
- timing:
- 0:00:50 elapsed time, 0:00:51 cpu time, factor 1.02
- ML timing:
- 48.858s elapsed time, 49.985s cpu time, 4.946s GC time, factor 1.02
- ML stack maximum:
- 129 MiB
- ML stack average:
- 84 MiB
- ML heap maximum:
- 1.7 GiB
- ML heap average:
- 1.5 GiB
- Isabelle version:
- 4b7fdf77af07
- AFP version:
- 2f539b3aa0b8




SDS_Impossibility
- data:
- CSV
- timing:
- 0:00:50 elapsed time, 0:00:50 cpu time, factor 1.00
- ML timing:
- 48.171s elapsed time, 48.321s cpu time, 1.671s GC time, factor 1.00
- ML stack maximum:
- 3 MiB
- ML stack average:
- 3 MiB
- ML heap maximum:
- 1.5 GiB
- ML heap average:
- 1.4 GiB
- Isabelle version:
- 4b7fdf77af07
- AFP version:
- 2f539b3aa0b8




Priority_Queue_Braun
- data:
- CSV
- timing:
- 0:00:49 elapsed time, 0:00:49 cpu time, factor 1.00
- ML timing:
- 47.715s elapsed time, 47.848s cpu time, 1.065s GC time, factor 1.00
- ML stack maximum:
- 2 MiB
- ML stack average:
- 1.6 MiB
- ML heap maximum:
- 1.5 GiB
- ML heap average:
- 1.4 GiB
- Isabelle version:
- 4b7fdf77af07
- AFP version:
- 2f539b3aa0b8




Clique_and_Monotone_Circuits
- data:
- CSV
- timing:
- 0:00:49 elapsed time, 0:00:50 cpu time, factor 1.02
- ML timing:
- 47.501s elapsed time, 47.925s cpu time, 0.950s GC time, factor 1.01
- ML stack maximum:
- 5 MiB
- ML stack average:
- 4.2 MiB
- ML heap maximum:
- 1.5 GiB
- ML heap average:
- 1.4 GiB
- Isabelle version:
- 4b7fdf77af07
- AFP version:
- 2f539b3aa0b8




Sigmoid_Universal_Approximation
- data:
- CSV
- timing:
- 0:00:49 elapsed time, 0:00:47 cpu time, factor 0.96
- ML timing:
- 35.348s elapsed time, 34.162s cpu time, 0.558s GC time, factor 0.97
- ML stack maximum:
- 5 MiB
- ML stack average:
- 3.1 MiB
- ML heap maximum:
- 1.5 GiB
- ML heap average:
- 1.1 GiB
- ML heap stored:
- 9.8 MiB
- Isabelle version:
- 4b7fdf77af07
- AFP version:
- 2f539b3aa0b8




Min_Max_Least_Greatest
- data:
- CSV
- timing:
- 0:00:49 elapsed time, 0:00:49 cpu time, factor 1.00
- ML timing:
- 41.087s elapsed time, 41.857s cpu time, 2.858s GC time, factor 1.02
- ML stack maximum:
- 9 MiB
- ML stack average:
- 7.8 MiB
- ML heap maximum:
- 1.5 GiB
- ML heap average:
- 1.2 GiB
- ML heap stored:
- 16.7 MiB
- Isabelle version:
- 4b7fdf77af07
- AFP version:
- 2f539b3aa0b8




Simple_Firewall
- data:
- CSV
- timing:
- 0:00:48 elapsed time, 0:00:48 cpu time, factor 1.00
- ML timing:
- 38.452s elapsed time, 38.602s cpu time, 1.091s GC time, factor 1.00
- ML code maximum:
- 1.1 MiB
- ML stack maximum:
- 5 MiB
- ML stack average:
- 3.7 MiB
- ML heap maximum:
- 1.5 GiB
- ML heap average:
- 1.2 GiB
- ML heap stored:
- 22.4 MiB
- Isabelle version:
- 4b7fdf77af07
- AFP version:
- 2f539b3aa0b8




Propositional_Logic_Class
- data:
- CSV
- timing:
- 0:00:48 elapsed time, 0:00:49 cpu time, factor 1.02
- ML timing:
- 46.945s elapsed time, 47.924s cpu time, 1.765s GC time, factor 1.02
- ML stack maximum:
- 9 MiB
- ML stack average:
- 8.8 MiB
- ML heap maximum:
- 1.5 GiB
- ML heap average:
- 1.4 GiB
- Isabelle version:
- 4b7fdf77af07
- AFP version:
- 2f539b3aa0b8




Probability_Inequality_Completeness
- data:
- CSV
- timing:
- 0:00:48 elapsed time, 0:00:48 cpu time, factor 1.00
- ML timing:
- 40.093s elapsed time, 40.783s cpu time, 1.202s GC time, factor 1.02
- ML stack maximum:
- 17 MiB
- ML stack average:
- 14.6 MiB
- ML heap maximum:
- 1.5 GiB
- ML heap average:
- 1.2 GiB
- ML heap stored:
- 6.5 MiB
- Isabelle version:
- 4b7fdf77af07
- AFP version:
- 2f539b3aa0b8




Pi_Transcendental
- data:
- CSV
- timing:
- 0:00:48 elapsed time, 0:00:48 cpu time, factor 1.00
- ML timing:
- 33.015s elapsed time, 33.352s cpu time, 0.761s GC time, factor 1.01
- ML stack maximum:
- 5 MiB
- ML stack average:
- 2.9 MiB
- ML heap maximum:
- 1.5 GiB
- ML heap average:
- 1 GiB
- ML heap stored:
- 10 MiB
- Isabelle version:
- 4b7fdf77af07
- AFP version:
- 2f539b3aa0b8




MDP-Rewards
- data:
- CSV
- timing:
- 0:00:48 elapsed time, 0:00:48 cpu time, factor 1.00
- ML timing:
- 32.693s elapsed time, 33.261s cpu time, 0.723s GC time, factor 1.02
- ML stack maximum:
- 3 MiB
- ML stack average:
- 2.4 MiB
- ML heap maximum:
- 1.5 GiB
- ML heap average:
- 1 GiB
- ML heap stored:
- 8.6 MiB
- Isabelle version:
- 4b7fdf77af07
- AFP version:
- 2f539b3aa0b8




Decl_Sem_Fun_PL
- data:
- CSV
- timing:
- 0:00:47 elapsed time, 0:00:48 cpu time, factor 1.02
- ML timing:
- 45.826s elapsed time, 46.598s cpu time, 1.351s GC time, factor 1.02
- ML stack maximum:
- 5 MiB
- ML stack average:
- 3.9 MiB
- ML heap maximum:
- 1.5 GiB
- ML heap average:
- 1.4 GiB
- Isabelle version:
- 4b7fdf77af07
- AFP version:
- 2f539b3aa0b8




IMP_Compiler
- data:
- CSV
- timing:
- 0:00:47 elapsed time, 0:00:47 cpu time, factor 1.00
- ML timing:
- 46.660s elapsed time, 46.016s cpu time, 0.408s GC time, factor 0.99
- ML stack maximum:
- 2 MiB
- ML stack average:
- 1.9 MiB
- ML heap maximum:
- 1.5 GiB
- ML heap average:
- 1.4 GiB
- Isabelle version:
- 4b7fdf77af07
- AFP version:
- 2f539b3aa0b8




- data:
- CSV
- timing:
- 0:00:47 elapsed time, 0:00:47 cpu time, factor 1.00
- ML timing:
- 31.438s elapsed time, 32.037s cpu time, 0.755s GC time, factor 1.02
- ML stack maximum:
- 5 MiB
- ML stack average:
- 2.9 MiB
- ML heap maximum:
- 1.5 GiB
- ML heap average:
- 1008.4 MiB
- ML heap stored:
- 11.4 MiB
- Isabelle version:
- 4b7fdf77af07
- AFP version:
- 2f539b3aa0b8




Isabelle_C
- data:
- CSV
- timing:
- 0:00:47 elapsed time, 0:00:47 cpu time, factor 1.00
- ML timing:
- 46.075s elapsed time, 46.334s cpu time, 7.906s GC time, factor 1.01
- ML code maximum:
- 14.8 MiB
- ML code average:
- 7.5 MiB
- ML stack maximum:
- 65 MiB
- ML stack average:
- 63.6 MiB
- ML heap maximum:
- 2.5 GiB
- ML heap average:
- 1.8 GiB
- Isabelle version:
- 4b7fdf77af07
- AFP version:
- 2f539b3aa0b8




- data:
- CSV
- timing:
- 0:00:47 elapsed time, 0:00:47 cpu time, factor 1.00
- ML timing:
- 44.898s elapsed time, 45.245s cpu time, 1.046s GC time, factor 1.01
- ML stack maximum:
- 5 MiB
- ML stack average:
- 2.9 MiB
- ML heap maximum:
- 1.5 GiB
- ML heap average:
- 1.4 GiB
- Isabelle version:
- 4b7fdf77af07
- AFP version:
- 2f539b3aa0b8




Approximation_Algorithms
- data:
- CSV
- timing:
- 0:00:47 elapsed time, 0:00:47 cpu time, factor 1.00
- ML timing:
- 46.398s elapsed time, 45.770s cpu time, 1.118s GC time, factor 0.99
- ML stack maximum:
- 17 MiB
- ML stack average:
- 8.2 MiB
- ML heap maximum:
- 1.5 GiB
- ML heap average:
- 1.4 GiB
- Isabelle version:
- 4b7fdf77af07
- AFP version:
- 2f539b3aa0b8




DiskPaxos
- data:
- CSV
- timing:
- 0:00:47 elapsed time, 0:00:48 cpu time, factor 1.02
- ML timing:
- 46.505s elapsed time, 46.972s cpu time, 0.404s GC time, factor 1.01
- ML stack maximum:
- 5 MiB
- ML stack average:
- 4.7 MiB
- ML heap maximum:
- 1.5 GiB
- ML heap average:
- 1.4 GiB
- Isabelle version:
- 4b7fdf77af07
- AFP version:
- 2f539b3aa0b8




KAT_and_DRA
- data:
- CSV
- timing:
- 0:00:47 elapsed time, 0:00:45 cpu time, factor 0.96
- ML timing:
- 38.686s elapsed time, 37.304s cpu time, 1.946s GC time, factor 0.96
- ML stack maximum:
- 2 MiB
- ML stack average:
- 1.9 MiB
- ML heap maximum:
- 1.6 GiB
- ML heap average:
- 1.3 GiB
- ML heap stored:
- 9.6 MiB
- Isabelle version:
- 4b7fdf77af07
- AFP version:
- 2f539b3aa0b8




Forcing
- data:
- CSV
- timing:
- 0:00:46 elapsed time, 0:00:47 cpu time, factor 1.02
- ML timing:
- 46.043s elapsed time, 47.129s cpu time, 1.093s GC time, factor 1.02
- ML stack maximum:
- 3 MiB
- ML stack average:
- 2.9 MiB
- ML heap maximum:
- 1.5 GiB
- ML heap average:
- 1.4 GiB
- Isabelle version:
- 4b7fdf77af07
- AFP version:
- 2f539b3aa0b8




Rankings
- data:
- CSV
- timing:
- 0:00:46 elapsed time, 0:00:47 cpu time, factor 1.02
- ML timing:
- 45.096s elapsed time, 45.996s cpu time, 1.362s GC time, factor 1.02
- ML stack maximum:
- 9 MiB
- ML stack average:
- 8.9 MiB
- ML heap maximum:
- 1.5 GiB
- ML heap average:
- 1.4 GiB
- Isabelle version:
- 4b7fdf77af07
- AFP version:
- 2f539b3aa0b8




Abortable_Linearizable_Modules
- data:
- CSV
- timing:
- 0:00:46 elapsed time, 0:00:46 cpu time, factor 1.00
- ML timing:
- 44.641s elapsed time, 44.932s cpu time, 2.266s GC time, factor 1.01
- ML stack maximum:
- 5 MiB
- ML stack average:
- 4.1 MiB
- ML heap maximum:
- 1.5 GiB
- ML heap average:
- 1.4 GiB
- Isabelle version:
- 4b7fdf77af07
- AFP version:
- 2f539b3aa0b8




UPF
- data:
- CSV
- timing:
- 0:00:46 elapsed time, 0:00:46 cpu time, factor 1.00
- ML timing:
- 38.621s elapsed time, 38.850s cpu time, 0.774s GC time, factor 1.01
- ML stack maximum:
- 2 MiB
- ML stack average:
- 1.9 MiB
- ML heap maximum:
- 1.5 GiB
- ML heap average:
- 1.2 GiB
- ML heap stored:
- 16.1 MiB
- Isabelle version:
- 4b7fdf77af07
- AFP version:
- 2f539b3aa0b8




Nat-Interval-Logic
- data:
- CSV
- timing:
- 0:00:45 elapsed time, 0:00:45 cpu time, factor 1.00
- ML timing:
- 34.873s elapsed time, 35.546s cpu time, 0.623s GC time, factor 1.02
- ML stack maximum:
- 5 MiB
- ML stack average:
- 4.2 MiB
- ML heap maximum:
- 1.5 GiB
- ML heap average:
- 1.1 GiB
- ML heap stored:
- 8.5 MiB
- Isabelle version:
- 4b7fdf77af07
- AFP version:
- 2f539b3aa0b8




IEEE_Floating_Point
- data:
- CSV
- timing:
- 0:00:45 elapsed time, 0:00:46 cpu time, factor 1.02
- ML timing:
- 44.060s elapsed time, 44.546s cpu time, 0.897s GC time, factor 1.01
- ML stack maximum:
- 5 MiB
- ML stack average:
- 4.4 MiB
- ML heap maximum:
- 1.5 GiB
- ML heap average:
- 1.4 GiB
- Isabelle version:
- 4b7fdf77af07
- AFP version:
- 2f539b3aa0b8




WHATandWHERE_Security
- data:
- CSV
- timing:
- 0:00:45 elapsed time, 0:00:45 cpu time, factor 1.00
- ML timing:
- 43.504s elapsed time, 43.743s cpu time, 1.962s GC time, factor 1.01
- ML stack maximum:
- 3 MiB
- ML stack average:
- 2.3 MiB
- ML heap maximum:
- 1.5 GiB
- ML heap average:
- 1.4 GiB
- Isabelle version:
- 4b7fdf77af07
- AFP version:
- 2f539b3aa0b8




pGCL
- data:
- CSV
- timing:
- 0:00:45 elapsed time, 0:00:46 cpu time, factor 1.02
- ML timing:
- 43.564s elapsed time, 44.564s cpu time, 0.821s GC time, factor 1.02
- ML stack maximum:
- 3 MiB
- ML stack average:
- 2.9 MiB
- ML heap maximum:
- 1.5 GiB
- ML heap average:
- 1.4 GiB
- Isabelle version:
- 4b7fdf77af07
- AFP version:
- 2f539b3aa0b8




Goedel_Incompleteness
- data:
- CSV
- timing:
- 0:00:45 elapsed time, 0:00:45 cpu time, factor 1.00
- ML timing:
- 38.846s elapsed time, 39.152s cpu time, 1.084s GC time, factor 1.01
- ML stack maximum:
- 1.5 MiB
- ML stack average:
- 1.5 MiB
- ML heap maximum:
- 1.5 GiB
- ML heap average:
- 1.2 GiB
- ML heap stored:
- 6 MiB
- Isabelle version:
- 4b7fdf77af07
- AFP version:
- 2f539b3aa0b8




Hidden_Markov_Models
- data:
- CSV
- timing:
- 0:00:45 elapsed time, 0:00:45 cpu time, factor 1.00
- ML timing:
- 42.386s elapsed time, 42.692s cpu time, 4.346s GC time, factor 1.01
- ML stack maximum:
- 3 MiB
- ML stack average:
- 2 MiB
- ML heap maximum:
- 2 GiB
- ML heap average:
- 1.4 GiB
- Isabelle version:
- 4b7fdf77af07
- AFP version:
- 2f539b3aa0b8




Lambda_Free_EPO
- data:
- CSV
- timing:
- 0:00:45 elapsed time, 0:00:45 cpu time, factor 1.00
- ML timing:
- 42.814s elapsed time, 43.459s cpu time, 2.030s GC time, factor 1.02
- ML stack maximum:
- 5 MiB
- ML stack average:
- 4.3 MiB
- ML heap maximum:
- 1.5 GiB
- ML heap average:
- 1.4 GiB
- Isabelle version:
- 4b7fdf77af07
- AFP version:
- 2f539b3aa0b8




Tree-Automata
- data:
- CSV
- timing:
- 0:00:45 elapsed time, 0:00:45 cpu time, factor 1.00
- ML timing:
- 42.671s elapsed time, 43.090s cpu time, 1.286s GC time, factor 1.01
- ML stack maximum:
- 5 MiB
- ML stack average:
- 4 MiB
- ML heap maximum:
- 1.5 GiB
- ML heap average:
- 1.4 GiB
- Isabelle version:
- 4b7fdf77af07
- AFP version:
- 2f539b3aa0b8




Modular_Assembly_Kit_Security
- data:
- CSV
- timing:
- 0:00:44 elapsed time, 0:00:45 cpu time, factor 1.02
- ML timing:
- 43.337s elapsed time, 44.503s cpu time, 1.163s GC time, factor 1.03
- ML stack maximum:
- 17 MiB
- ML stack average:
- 10.2 MiB
- ML heap maximum:
- 1.5 GiB
- ML heap average:
- 1.4 GiB
- Isabelle version:
- 4b7fdf77af07
- AFP version:
- 2f539b3aa0b8




Randomised_Social_Choice
- data:
- CSV
- timing:
- 0:00:44 elapsed time, 0:00:44 cpu time, factor 1.00
- ML timing:
- 27.512s elapsed time, 28.117s cpu time, 0.997s GC time, factor 1.02
- ML stack maximum:
- 3 MiB
- ML stack average:
- 2.3 MiB
- ML heap maximum:
- 1.5 GiB
- ML heap average:
- 983 MiB
- ML heap stored:
- 14.1 MiB
- Isabelle version:
- 4b7fdf77af07
- AFP version:
- 2f539b3aa0b8




Locally-Nameless-Sigma
- data:
- CSV
- timing:
- 0:00:44 elapsed time, 0:00:44 cpu time, factor 1.00
- ML timing:
- 43.164s elapsed time, 43.824s cpu time, 1.929s GC time, factor 1.02
- ML stack maximum:
- 5 MiB
- ML stack average:
- 4.6 MiB
- ML heap maximum:
- 1.5 GiB
- ML heap average:
- 1.4 GiB
- Isabelle version:
- 4b7fdf77af07
- AFP version:
- 2f539b3aa0b8




HOL-CSP_RS
- data:
- CSV
- timing:
- 0:00:44 elapsed time, 0:00:44 cpu time, factor 1.00
- ML timing:
- 34.428s elapsed time, 34.992s cpu time, 1.210s GC time, factor 1.02
- ML stack maximum:
- 5 MiB
- ML stack average:
- 4.2 MiB
- ML heap maximum:
- 1.5 GiB
- ML heap average:
- 1.2 GiB
- ML heap stored:
- 11 MiB
- Isabelle version:
- 4b7fdf77af07
- AFP version:
- 2f539b3aa0b8




Polynomial_Crit_Geometry
- data:
- CSV
- timing:
- 0:00:44 elapsed time, 0:00:45 cpu time, factor 1.02
- ML timing:
- 42.511s elapsed time, 43.127s cpu time, 1.562s GC time, factor 1.01
- ML stack maximum:
- 9 MiB
- ML stack average:
- 7 MiB
- ML heap maximum:
- 1.5 GiB
- ML heap average:
- 1.4 GiB
- Isabelle version:
- 4b7fdf77af07
- AFP version:
- 2f539b3aa0b8




Lambda_Free_RPOs
- data:
- CSV
- timing:
- 0:00:44 elapsed time, 0:00:44 cpu time, factor 1.00
- ML timing:
- 32.307s elapsed time, 32.850s cpu time, 1.710s GC time, factor 1.02
- ML stack maximum:
- 5 MiB
- ML stack average:
- 3.3 MiB
- ML heap maximum:
- 1.5 GiB
- ML heap average:
- 1.1 GiB
- ML heap stored:
- 13.3 MiB
- Isabelle version:
- 4b7fdf77af07
- AFP version:
- 2f539b3aa0b8




Kolmogorov_Chentsov
- data:
- CSV
- timing:
- 0:00:44 elapsed time, 0:00:43 cpu time, factor 0.98
- ML timing:
- 41.744s elapsed time, 41.526s cpu time, 3.376s GC time, factor 0.99
- ML stack maximum:
- 3 MiB
- ML stack average:
- 2.4 MiB
- ML heap maximum:
- 1.8 GiB
- ML heap average:
- 1.4 GiB
- Isabelle version:
- 4b7fdf77af07
- AFP version:
- 2f539b3aa0b8




Stratified_Datalog
- data:
- CSV
- timing:
- 0:00:43 elapsed time, 0:00:43 cpu time, factor 1.00
- ML timing:
- 40.962s elapsed time, 41.427s cpu time, 1.687s GC time, factor 1.01
- ML stack maximum:
- 3 MiB
- ML stack average:
- 3 MiB
- ML heap maximum:
- 1.5 GiB
- ML heap average:
- 1.4 GiB
- Isabelle version:
- 4b7fdf77af07
- AFP version:
- 2f539b3aa0b8




Nash_Williams
- data:
- CSV
- timing:
- 0:00:43 elapsed time, 0:00:43 cpu time, factor 1.00
- ML timing:
- 36.397s elapsed time, 36.632s cpu time, 0.699s GC time, factor 1.01
- ML stack maximum:
- 3 MiB
- ML stack average:
- 2.3 MiB
- ML heap maximum:
- 1.5 GiB
- ML heap average:
- 1.2 GiB
- ML heap stored:
- 8.6 MiB
- Isabelle version:
- 4b7fdf77af07
- AFP version:
- 2f539b3aa0b8




Possibilistic_Noninterference
- data:
- CSV
- timing:
- 0:00:43 elapsed time, 0:00:44 cpu time, factor 1.02
- ML timing:
- 42.006s elapsed time, 42.598s cpu time, 1.384s GC time, factor 1.01
- ML stack maximum:
- 5 MiB
- ML stack average:
- 3.7 MiB
- ML heap maximum:
- 1.5 GiB
- ML heap average:
- 1.4 GiB
- Isabelle version:
- 4b7fdf77af07
- AFP version:
- 2f539b3aa0b8




Floyd_Warshall
- data:
- CSV
- timing:
- 0:00:43 elapsed time, 0:00:43 cpu time, factor 1.00
- ML timing:
- 28.402s elapsed time, 28.677s cpu time, 0.541s GC time, factor 1.01
- ML stack maximum:
- 5 MiB
- ML stack average:
- 3.8 MiB
- ML heap maximum:
- 1.5 GiB
- ML heap average:
- 1004.8 MiB
- ML heap stored:
- 7.2 MiB
- Isabelle version:
- 4b7fdf77af07
- AFP version:
- 2f539b3aa0b8




VectorSpace
- data:
- CSV
- timing:
- 0:00:43 elapsed time, 0:00:43 cpu time, factor 1.00
- ML timing:
- 42.218s elapsed time, 42.512s cpu time, 3.518s GC time, factor 1.01
- ML stack maximum:
- 3 MiB
- ML stack average:
- 2.9 MiB
- ML heap maximum:
- 1.9 GiB
- ML heap average:
- 1.4 GiB
- Isabelle version:
- 4b7fdf77af07
- AFP version:
- 2f539b3aa0b8




Synthetic_Completeness
- data:
- CSV
- timing:
- 0:00:43 elapsed time, 0:00:43 cpu time, factor 1.00
- ML timing:
- 40.937s elapsed time, 41.531s cpu time, 3.316s GC time, factor 1.01
- ML stack maximum:
- 3 MiB
- ML stack average:
- 2.8 MiB
- ML heap maximum:
- 1.9 GiB
- ML heap average:
- 1.4 GiB
- Isabelle version:
- 4b7fdf77af07
- AFP version:
- 2f539b3aa0b8




Lp
- data:
- CSV
- timing:
- 0:00:43 elapsed time, 0:00:43 cpu time, factor 1.00
- ML timing:
- 41.197s elapsed time, 41.832s cpu time, 0.869s GC time, factor 1.02
- ML stack maximum:
- 5 MiB
- ML stack average:
- 4.2 MiB
- ML heap maximum:
- 1.5 GiB
- ML heap average:
- 1.4 GiB
- Isabelle version:
- 4b7fdf77af07
- AFP version:
- 2f539b3aa0b8




Architectural_Design_Patterns
- data:
- CSV
- timing:
- 0:00:42 elapsed time, 0:00:42 cpu time, factor 1.00
- ML timing:
- 40.251s elapsed time, 40.707s cpu time, 3.030s GC time, factor 1.01
- ML stack maximum:
- 5 MiB
- ML stack average:
- 4.6 MiB
- ML heap maximum:
- 1.8 GiB
- ML heap average:
- 1.4 GiB
- Isabelle version:
- 4b7fdf77af07
- AFP version:
- 2f539b3aa0b8




Sophie_Germain
- data:
- CSV
- timing:
- 0:00:42 elapsed time, 0:00:42 cpu time, factor 1.00
- ML timing:
- 40.904s elapsed time, 40.857s cpu time, 0.493s GC time, factor 1.00
- ML stack maximum:
- 17 MiB
- ML stack average:
- 7 MiB
- ML heap maximum:
- 1.5 GiB
- ML heap average:
- 1.4 GiB
- Isabelle version:
- 4b7fdf77af07
- AFP version:
- 2f539b3aa0b8




Optics
- data:
- CSV
- timing:
- 0:00:42 elapsed time, 0:00:42 cpu time, factor 1.00
- ML timing:
- 34.159s elapsed time, 34.585s cpu time, 0.986s GC time, factor 1.01
- ML stack maximum:
- 3 MiB
- ML stack average:
- 2.2 MiB
- ML heap maximum:
- 1.5 GiB
- ML heap average:
- 1.2 GiB
- ML heap stored:
- 16.1 MiB
- Isabelle version:
- 4b7fdf77af07
- AFP version:
- 2f539b3aa0b8




Myhill-Nerode
- data:
- CSV
- timing:
- 0:00:42 elapsed time, 0:00:42 cpu time, factor 1.00
- ML timing:
- 40.710s elapsed time, 41.083s cpu time, 1.074s GC time, factor 1.01
- ML stack maximum:
- 5 MiB
- ML stack average:
- 2.9 MiB
- ML heap maximum:
- 1.5 GiB
- ML heap average:
- 1.4 GiB
- Isabelle version:
- 4b7fdf77af07
- AFP version:
- 2f539b3aa0b8




Presburger-Automata
- data:
- CSV
- timing:
- 0:00:42 elapsed time, 0:00:42 cpu time, factor 1.00
- ML timing:
- 40.091s elapsed time, 40.733s cpu time, 0.767s GC time, factor 1.02
- ML stack maximum:
- 9 MiB
- ML stack average:
- 8.7 MiB
- ML heap maximum:
- 1.5 GiB
- ML heap average:
- 1.4 GiB
- Isabelle version:
- 4b7fdf77af07
- AFP version:
- 2f539b3aa0b8




- data:
- CSV
- timing:
- 0:00:42 elapsed time, 0:00:32 cpu time, factor 0.76
- ML timing:
- 40.383s elapsed time, 30.578s cpu time, 0.472s GC time, factor 0.76
- ML stack maximum:
- 5 MiB
- ML stack average:
- 5 MiB
- ML heap maximum:
- 1.5 GiB
- ML heap average:
- 1.4 GiB
- Isabelle version:
- 4b7fdf77af07
- AFP version:
- 2f539b3aa0b8




Auto2_HOL
- data:
- CSV
- timing:
- 0:00:41 elapsed time, 0:00:42 cpu time, factor 1.02
- ML timing:
- 34.569s elapsed time, 35.111s cpu time, 1.883s GC time, factor 1.02
- ML code maximum:
- 3.3 MiB
- ML code average:
- 2.6 MiB
- ML stack maximum:
- 9 MiB
- ML stack average:
- 7.3 MiB
- ML heap maximum:
- 1.5 GiB
- ML heap average:
- 1.2 GiB
- ML heap stored:
- 18.9 MiB
- Isabelle version:
- 4b7fdf77af07
- AFP version:
- 2f539b3aa0b8




Quick_Sort_Cost
- data:
- CSV
- timing:
- 0:00:41 elapsed time, 0:00:41 cpu time, factor 1.00
- ML timing:
- 25.001s elapsed time, 25.489s cpu time, 0.755s GC time, factor 1.02
- ML stack maximum:
- 3 MiB
- ML stack average:
- 2.1 MiB
- ML heap maximum:
- 1.5 GiB
- ML heap average:
- 920.8 MiB
- ML heap stored:
- 12.2 MiB
- Isabelle version:
- 4b7fdf77af07
- AFP version:
- 2f539b3aa0b8




PNT_with_Remainder
- data:
- CSV
- timing:
- 0:00:41 elapsed time, 0:00:41 cpu time, factor 1.00
- ML timing:
- 38.809s elapsed time, 39.443s cpu time, 0.875s GC time, factor 1.02
- ML stack maximum:
- 3 MiB
- ML stack average:
- 2.8 MiB
- ML heap maximum:
- 1.5 GiB
- ML heap average:
- 1.4 GiB
- Isabelle version:
- 4b7fdf77af07
- AFP version:
- 2f539b3aa0b8




Discrete-UCB
- data:
- CSV
- timing:
- 0:00:41 elapsed time, 0:00:41 cpu time, factor 1.00
- ML timing:
- 39.038s elapsed time, 39.126s cpu time, 0.343s GC time, factor 1.00
- ML stack maximum:
- 3 MiB
- ML stack average:
- 2.8 MiB
- ML heap maximum:
- 1.5 GiB
- ML heap average:
- 1.4 GiB
- Isabelle version:
- 4b7fdf77af07
- AFP version:
- 2f539b3aa0b8




Sepref_Basic
- data:
- CSV
- timing:
- 0:00:41 elapsed time, 0:00:41 cpu time, factor 1.00
- ML timing:
- 27.099s elapsed time, 27.643s cpu time, 0.876s GC time, factor 1.02
- ML code maximum:
- 1.7 MiB
- ML code average:
- 1.2 MiB
- ML stack maximum:
- 3 MiB
- ML stack average:
- 2.2 MiB
- ML heap maximum:
- 1.5 GiB
- ML heap average:
- 984.4 MiB
- ML heap stored:
- 12.2 MiB
- Isabelle version:
- 4b7fdf77af07
- AFP version:
- 2f539b3aa0b8




- data:
- CSV
- timing:
- 0:00:41 elapsed time, 0:00:41 cpu time, factor 1.00
- ML timing:
- 39.619s elapsed time, 39.705s cpu time, 6.133s GC time, factor 1.00
- ML stack maximum:
- 9 MiB
- ML stack average:
- 4.3 MiB
- ML heap maximum:
- 1.8 GiB
- ML heap average:
- 1.4 GiB
- Isabelle version:
- 4b7fdf77af07
- AFP version:
- 2f539b3aa0b8




ConcurrentIMP
- data:
- CSV
- timing:
- 0:00:41 elapsed time, 0:00:41 cpu time, factor 1.00
- ML timing:
- 39.162s elapsed time, 39.163s cpu time, 2.442s GC time, factor 1.00
- ML stack maximum:
- 2 MiB
- ML stack average:
- 2 MiB
- ML heap maximum:
- 2 GiB
- ML heap average:
- 1.5 GiB
- Isabelle version:
- 4b7fdf77af07
- AFP version:
- 2f539b3aa0b8




POPLmark-deBruijn
- data:
- CSV
- timing:
- 0:00:41 elapsed time, 0:00:37 cpu time, factor 0.90
- ML timing:
- 39.173s elapsed time, 35.717s cpu time, 0.943s GC time, factor 0.91
- ML stack maximum:
- 5 MiB
- ML stack average:
- 4.5 MiB
- ML heap maximum:
- 1.5 GiB
- ML heap average:
- 1.4 GiB
- Isabelle version:
- 4b7fdf77af07
- AFP version:
- 2f539b3aa0b8




CRDT
- data:
- CSV
- timing:
- 0:00:41 elapsed time, 0:00:41 cpu time, factor 1.00
- ML timing:
- 34.099s elapsed time, 34.314s cpu time, 3.078s GC time, factor 1.01
- ML stack maximum:
- 2 MiB
- ML stack average:
- 1.8 MiB
- ML heap maximum:
- 1.5 GiB
- ML heap average:
- 1.1 GiB
- ML heap stored:
- 11.6 MiB
- Isabelle version:
- 4b7fdf77af07
- AFP version:
- 2f539b3aa0b8




Heard_Of
- data:
- CSV
- timing:
- 0:00:41 elapsed time, 0:00:42 cpu time, factor 1.02
- ML timing:
- 39.878s elapsed time, 40.646s cpu time, 0.917s GC time, factor 1.02
- ML stack maximum:
- 3 MiB
- ML stack average:
- 2.7 MiB
- ML heap maximum:
- 1.5 GiB
- ML heap average:
- 1.4 GiB
- Isabelle version:
- 4b7fdf77af07
- AFP version:
- 2f539b3aa0b8




ROBDD
- data:
- CSV
- timing:
- 0:00:41 elapsed time, 0:00:41 cpu time, factor 1.00
- ML timing:
- 39.903s elapsed time, 39.443s cpu time, 0.847s GC time, factor 0.99
- ML stack maximum:
- 3 MiB
- ML stack average:
- 3 MiB
- ML heap maximum:
- 1.5 GiB
- ML heap average:
- 1.4 GiB
- Isabelle version:
- 4b7fdf77af07
- AFP version:
- 2f539b3aa0b8




- data:
- CSV
- timing:
- 0:00:40 elapsed time, 0:00:39 cpu time, factor 0.98
- ML timing:
- 37.954s elapsed time, 38.175s cpu time, 0.706s GC time, factor 1.01
- ML stack maximum:
- 5 MiB
- ML stack average:
- 4.9 MiB
- ML heap maximum:
- 1.5 GiB
- ML heap average:
- 1.4 GiB
- Isabelle version:
- 4b7fdf77af07
- AFP version:
- 2f539b3aa0b8




Monomorphic_Monad
- data:
- CSV
- timing:
- 0:00:40 elapsed time, 0:00:41 cpu time, factor 1.03
- ML timing:
- 38.163s elapsed time, 38.813s cpu time, 1.467s GC time, factor 1.02
- ML stack maximum:
- 9 MiB
- ML stack average:
- 8.5 MiB
- ML heap maximum:
- 1.5 GiB
- ML heap average:
- 1.4 GiB
- Isabelle version:
- 4b7fdf77af07
- AFP version:
- 2f539b3aa0b8




Logging_Independent_Anonymity
- data:
- CSV
- timing:
- 0:00:40 elapsed time, 0:00:40 cpu time, factor 1.00
- ML timing:
- 39.546s elapsed time, 39.600s cpu time, 1.339s GC time, factor 1.00
- ML stack maximum:
- 5 MiB
- ML stack average:
- 2.7 MiB
- ML heap maximum:
- 1.5 GiB
- ML heap average:
- 1.4 GiB
- Isabelle version:
- 4b7fdf77af07
- AFP version:
- 2f539b3aa0b8




Graph_Saturation
- data:
- CSV
- timing:
- 0:00:40 elapsed time, 0:00:41 cpu time, factor 1.03
- ML timing:
- 38.999s elapsed time, 39.449s cpu time, 0.720s GC time, factor 1.01
- ML stack maximum:
- 3 MiB
- ML stack average:
- 2.9 MiB
- ML heap maximum:
- 1.5 GiB
- ML heap average:
- 1.4 GiB
- Isabelle version:
- 4b7fdf77af07
- AFP version:
- 2f539b3aa0b8




RSAPSS
- data:
- CSV
- timing:
- 0:00:40 elapsed time, 0:00:40 cpu time, factor 1.00
- ML timing:
- 38.405s elapsed time, 38.846s cpu time, 0.608s GC time, factor 1.01
- ML stack maximum:
- 5 MiB
- ML stack average:
- 5 MiB
- ML heap maximum:
- 1.5 GiB
- ML heap average:
- 1.4 GiB
- Isabelle version:
- 4b7fdf77af07
- AFP version:
- 2f539b3aa0b8




Shivers-CFA
- data:
- CSV
- timing:
- 0:00:40 elapsed time, 0:00:40 cpu time, factor 1.00
- ML timing:
- 38.595s elapsed time, 38.785s cpu time, 0.999s GC time, factor 1.00
- ML stack maximum:
- 3 MiB
- ML stack average:
- 2 MiB
- ML heap maximum:
- 1.5 GiB
- ML heap average:
- 1.4 GiB
- Isabelle version:
- 4b7fdf77af07
- AFP version:
- 2f539b3aa0b8




Program-Conflict-Analysis
- data:
- CSV
- timing:
- 0:00:39 elapsed time, 0:00:39 cpu time, factor 1.00
- ML timing:
- 37.471s elapsed time, 38.087s cpu time, 0.971s GC time, factor 1.02
- ML stack maximum:
- 5 MiB
- ML stack average:
- 3.5 MiB
- ML heap maximum:
- 1.5 GiB
- ML heap average:
- 1.4 GiB
- Isabelle version:
- 4b7fdf77af07
- AFP version:
- 2f539b3aa0b8




Labeled_Transition_Systems
- data:
- CSV
- timing:
- 0:00:39 elapsed time, 0:00:39 cpu time, factor 1.00
- ML timing:
- 27.116s elapsed time, 27.266s cpu time, 1.568s GC time, factor 1.01
- ML stack maximum:
- 3 MiB
- ML stack average:
- 2.5 MiB
- ML heap maximum:
- 1.6 GiB
- ML heap average:
- 1.1 GiB
- ML heap stored:
- 6.6 MiB
- Isabelle version:
- 4b7fdf77af07
- AFP version:
- 2f539b3aa0b8




Special_Function_Bounds
- data:
- CSV
- timing:
- 0:00:39 elapsed time, 0:00:39 cpu time, factor 1.00
- ML timing:
- 38.572s elapsed time, 38.793s cpu time, 0.542s GC time, factor 1.01
- ML code maximum:
- 1.2 MiB
- ML code average:
- 1 MiB
- ML stack maximum:
- 3 MiB
- ML stack average:
- 3 MiB
- ML heap maximum:
- 1.5 GiB
- ML heap average:
- 1.4 GiB
- Isabelle version:
- 4b7fdf77af07
- AFP version:
- 2f539b3aa0b8




PLM
- data:
- CSV
- timing:
- 0:00:38 elapsed time, 0:00:36 cpu time, factor 0.95
- ML timing:
- 37.219s elapsed time, 35.601s cpu time, 0.880s GC time, factor 0.96
- ML stack maximum:
- 9 MiB
- ML stack average:
- 6.9 MiB
- ML heap maximum:
- 1.5 GiB
- ML heap average:
- 1.4 GiB
- Isabelle version:
- 4b7fdf77af07
- AFP version:
- 2f539b3aa0b8




Restriction_Spaces-Examples
- data:
- CSV
- timing:
- 0:00:38 elapsed time, 0:00:38 cpu time, factor 1.00
- ML timing:
- 35.742s elapsed time, 36.351s cpu time, 1.309s GC time, factor 1.02
- ML stack maximum:
- 5 MiB
- ML stack average:
- 4.7 MiB
- ML heap maximum:
- 1.5 GiB
- ML heap average:
- 1.4 GiB
- Isabelle version:
- 4b7fdf77af07
- AFP version:
- 2f539b3aa0b8




Separation_Logic_Unbounded
- data:
- CSV
- timing:
- 0:00:37 elapsed time, 0:00:37 cpu time, factor 1.00
- ML timing:
- 36.099s elapsed time, 36.341s cpu time, 2.565s GC time, factor 1.01
- ML stack maximum:
- 3 MiB
- ML stack average:
- 2.3 MiB
- ML heap maximum:
- 1.5 GiB
- ML heap average:
- 1.4 GiB
- Isabelle version:
- 4b7fdf77af07
- AFP version:
- 2f539b3aa0b8




Decreasing-Diagrams
- data:
- CSV
- timing:
- 0:00:37 elapsed time, 0:00:38 cpu time, factor 1.03
- ML timing:
- 35.910s elapsed time, 36.637s cpu time, 1.119s GC time, factor 1.02
- ML stack maximum:
- 9 MiB
- ML stack average:
- 8.9 MiB
- ML heap maximum:
- 1.5 GiB
- ML heap average:
- 1.4 GiB
- Isabelle version:
- 4b7fdf77af07
- AFP version:
- 2f539b3aa0b8




Abstract-Rewriting
- data:
- CSV
- timing:
- 0:00:37 elapsed time, 0:00:38 cpu time, factor 1.03
- ML timing:
- 30.254s elapsed time, 31.036s cpu time, 0.909s GC time, factor 1.03
- ML stack maximum:
- 5 MiB
- ML stack average:
- 4.4 MiB
- ML heap maximum:
- 1.5 GiB
- ML heap average:
- 1.2 GiB
- ML heap stored:
- 11.9 MiB
- Isabelle version:
- 4b7fdf77af07
- AFP version:
- 2f539b3aa0b8




Sturm_Tarski
- data:
- CSV
- timing:
- 0:00:37 elapsed time, 0:00:37 cpu time, factor 1.00
- ML timing:
- 35.288s elapsed time, 35.850s cpu time, 0.814s GC time, factor 1.02
- ML stack maximum:
- 5 MiB
- ML stack average:
- 4.5 MiB
- ML heap maximum:
- 1.5 GiB
- ML heap average:
- 1.4 GiB
- Isabelle version:
- 4b7fdf77af07
- AFP version:
- 2f539b3aa0b8




IFC_Tracking
- data:
- CSV
- timing:
- 0:00:37 elapsed time, 0:00:37 cpu time, factor 1.00
- ML timing:
- 35.501s elapsed time, 36.152s cpu time, 0.985s GC time, factor 1.02
- ML stack maximum:
- 9 MiB
- ML stack average:
- 8.9 MiB
- ML heap maximum:
- 1.5 GiB
- ML heap average:
- 1.4 GiB
- Isabelle version:
- 4b7fdf77af07
- AFP version:
- 2f539b3aa0b8




FOL-Fitting
- data:
- CSV
- timing:
- 0:00:37 elapsed time, 0:00:37 cpu time, factor 1.00
- ML timing:
- 25.948s elapsed time, 26.321s cpu time, 1.464s GC time, factor 1.01
- ML stack maximum:
- 9 MiB
- ML stack average:
- 6.9 MiB
- ML heap maximum:
- 1.6 GiB
- ML heap average:
- 1.1 GiB
- ML heap stored:
- 12 MiB
- Isabelle version:
- 4b7fdf77af07
- AFP version:
- 2f539b3aa0b8




Generic_Join
- data:
- CSV
- timing:
- 0:00:37 elapsed time, 0:00:38 cpu time, factor 1.03
- ML timing:
- 36.255s elapsed time, 36.622s cpu time, 1.533s GC time, factor 1.01
- ML stack maximum:
- 5 MiB
- ML stack average:
- 3.4 MiB
- ML heap maximum:
- 1.5 GiB
- ML heap average:
- 1.4 GiB
- Isabelle version:
- 4b7fdf77af07
- AFP version:
- 2f539b3aa0b8




Irrational_Series_Erdos_Straus
- data:
- CSV
- timing:
- 0:00:37 elapsed time, 0:00:37 cpu time, factor 1.00
- ML timing:
- 34.040s elapsed time, 34.423s cpu time, 0.478s GC time, factor 1.01
- ML stack maximum:
- 5 MiB
- ML stack average:
- 4.1 MiB
- ML heap maximum:
- 1.5 GiB
- ML heap average:
- 1.4 GiB
- Isabelle version:
- 4b7fdf77af07
- AFP version:
- 2f539b3aa0b8




Prop_Compactness
- data:
- CSV
- timing:
- 0:00:36 elapsed time, 0:00:37 cpu time, factor 1.03
- ML timing:
- 35.104s elapsed time, 35.938s cpu time, 1.899s GC time, factor 1.02
- ML stack maximum:
- 5 MiB
- ML stack average:
- 2.8 MiB
- ML heap maximum:
- 1.5 GiB
- ML heap average:
- 1.3 GiB
- Isabelle version:
- 4b7fdf77af07
- AFP version:
- 2f539b3aa0b8




Dict_Construction
- data:
- CSV
- timing:
- 0:00:36 elapsed time, 0:00:36 cpu time, factor 1.00
- ML timing:
- 34.921s elapsed time, 35.195s cpu time, 1.646s GC time, factor 1.01
- ML code maximum:
- 1.5 MiB
- ML code average:
- 1.3 MiB
- ML stack maximum:
- 3 MiB
- ML stack average:
- 3 MiB
- ML heap maximum:
- 1.5 GiB
- ML heap average:
- 1.4 GiB
- Isabelle version:
- 4b7fdf77af07
- AFP version:
- 2f539b3aa0b8




Combinatorial_Enumeration_Algorithms
- data:
- CSV
- timing:
- 0:00:36 elapsed time, 0:00:36 cpu time, factor 1.00
- ML timing:
- 34.409s elapsed time, 35.109s cpu time, 0.814s GC time, factor 1.02
- ML stack maximum:
- 5 MiB
- ML stack average:
- 4.4 MiB
- ML heap maximum:
- 1.5 GiB
- ML heap average:
- 1.4 GiB
- Isabelle version:
- 4b7fdf77af07
- AFP version:
- 2f539b3aa0b8




ML_Unification
- data:
- CSV
- timing:
- 0:00:36 elapsed time, 0:00:36 cpu time, factor 1.00
- ML timing:
- 34.784s elapsed time, 34.872s cpu time, 0.610s GC time, factor 1.00
- ML code maximum:
- 5.3 MiB
- ML code average:
- 4.5 MiB
- ML stack maximum:
- 2 MiB
- ML stack average:
- 2 MiB
- ML heap maximum:
- 1.5 GiB
- ML heap average:
- 1.4 GiB
- Isabelle version:
- 4b7fdf77af07
- AFP version:
- 2f539b3aa0b8




List_Inversions
- data:
- CSV
- timing:
- 0:00:36 elapsed time, 0:00:36 cpu time, factor 1.00
- ML timing:
- 34.628s elapsed time, 35.328s cpu time, 1.137s GC time, factor 1.02
- ML stack maximum:
- 9 MiB
- ML stack average:
- 8.7 MiB
- ML heap maximum:
- 1.5 GiB
- ML heap average:
- 1.4 GiB
- Isabelle version:
- 4b7fdf77af07
- AFP version:
- 2f539b3aa0b8




TESL_Language
- data:
- CSV
- timing:
- 0:00:36 elapsed time, 0:00:36 cpu time, factor 1.00
- ML timing:
- 34.321s elapsed time, 34.617s cpu time, 0.866s GC time, factor 1.01
- ML stack maximum:
- 3 MiB
- ML stack average:
- 2.8 MiB
- ML heap maximum:
- 1.5 GiB
- ML heap average:
- 1.4 GiB
- Isabelle version:
- 4b7fdf77af07
- AFP version:
- 2f539b3aa0b8




Bisimulation_Logic
- data:
- CSV
- timing:
- 0:00:36 elapsed time, 0:00:34 cpu time, factor 0.94
- ML timing:
- 34.653s elapsed time, 33.311s cpu time, 1.073s GC time, factor 0.96
- ML stack maximum:
- 3 MiB
- ML stack average:
- 2.8 MiB
- ML heap maximum:
- 1.5 GiB
- ML heap average:
- 1.4 GiB
- Isabelle version:
- 4b7fdf77af07
- AFP version:
- 2f539b3aa0b8




AxiomaticCategoryTheory
- data:
- CSV
- timing:
- 0:00:36 elapsed time, 0:00:23 cpu time, factor 0.64
- ML timing:
- 35.113s elapsed time, 22.545s cpu time, 1.825s GC time, factor 0.64
- ML stack maximum:
- 2 MiB
- ML stack average:
- 2 MiB
- ML heap maximum:
- 1.6 GiB
- ML heap average:
- 1.4 GiB
- Isabelle version:
- 4b7fdf77af07
- AFP version:
- 2f539b3aa0b8




Knuth_Morris_Pratt
- data:
- CSV
- timing:
- 0:00:36 elapsed time, 0:00:36 cpu time, factor 1.00
- ML timing:
- 34.567s elapsed time, 34.809s cpu time, 0.700s GC time, factor 1.01
- ML stack maximum:
- 3 MiB
- ML stack average:
- 3 MiB
- ML heap maximum:
- 1.5 GiB
- ML heap average:
- 1.4 GiB
- Isabelle version:
- 4b7fdf77af07
- AFP version:
- 2f539b3aa0b8




PSemigroupsConvolution
- data:
- CSV
- timing:
- 0:00:36 elapsed time, 0:00:36 cpu time, factor 1.00
- ML timing:
- 35.359s elapsed time, 35.587s cpu time, 2.953s GC time, factor 1.01
- ML stack maximum:
- 2 MiB
- ML stack average:
- 2 MiB
- ML heap maximum:
- 1.5 GiB
- ML heap average:
- 1.3 GiB
- Isabelle version:
- 4b7fdf77af07
- AFP version:
- 2f539b3aa0b8




Saturation_Framework
- data:
- CSV
- timing:
- 0:00:36 elapsed time, 0:00:34 cpu time, factor 0.94
- ML timing:
- 23.953s elapsed time, 22.811s cpu time, 0.701s GC time, factor 0.95
- ML stack maximum:
- 3 MiB
- ML stack average:
- 2.1 MiB
- ML heap maximum:
- 1.5 GiB
- ML heap average:
- 1023.5 MiB
- ML heap stored:
- 8.3 MiB
- Isabelle version:
- 4b7fdf77af07
- AFP version:
- 2f539b3aa0b8




Stern_Brocot
- data:
- CSV
- timing:
- 0:00:35 elapsed time, 0:00:35 cpu time, factor 1.00
- ML timing:
- 32.112s elapsed time, 32.258s cpu time, 1.469s GC time, factor 1.00
- ML stack maximum:
- 2 MiB
- ML stack average:
- 1.9 MiB
- ML heap maximum:
- 1.5 GiB
- ML heap average:
- 1.3 GiB
- Isabelle version:
- 4b7fdf77af07
- AFP version:
- 2f539b3aa0b8




Derangements
- data:
- CSV
- timing:
- 0:00:35 elapsed time, 0:00:35 cpu time, factor 1.00
- ML timing:
- 33.840s elapsed time, 34.532s cpu time, 1.125s GC time, factor 1.02
- ML stack maximum:
- 9 MiB
- ML stack average:
- 8.8 MiB
- ML heap maximum:
- 1.5 GiB
- ML heap average:
- 1.4 GiB
- Isabelle version:
- 4b7fdf77af07
- AFP version:
- 2f539b3aa0b8




List-Infinite
- data:
- CSV
- timing:
- 0:00:35 elapsed time, 0:00:36 cpu time, factor 1.03
- ML timing:
- 25.569s elapsed time, 26.356s cpu time, 0.806s GC time, factor 1.03
- ML stack maximum:
- 5 MiB
- ML stack average:
- 2.7 MiB
- ML heap maximum:
- 1.5 GiB
- ML heap average:
- 1 GiB
- ML heap stored:
- 12.1 MiB
- Isabelle version:
- 4b7fdf77af07
- AFP version:
- 2f539b3aa0b8




Secret_Directed_Unwinding
- data:
- CSV
- timing:
- 0:00:35 elapsed time, 0:00:35 cpu time, factor 1.00
- ML timing:
- 24.969s elapsed time, 25.055s cpu time, 1.361s GC time, factor 1.00
- ML stack maximum:
- 3 MiB
- ML stack average:
- 2.2 MiB
- ML heap maximum:
- 1.5 GiB
- ML heap average:
- 998.7 MiB
- ML heap stored:
- 11 MiB
- Isabelle version:
- 4b7fdf77af07
- AFP version:
- 2f539b3aa0b8




Cardinality_Continuum
- data:
- CSV
- timing:
- 0:00:35 elapsed time, 0:00:35 cpu time, factor 1.00
- ML timing:
- 32.736s elapsed time, 33.378s cpu time, 0.787s GC time, factor 1.02
- ML stack maximum:
- 5 MiB
- ML stack average:
- 3.9 MiB
- ML heap maximum:
- 1.5 GiB
- ML heap average:
- 1.4 GiB
- Isabelle version:
- 4b7fdf77af07
- AFP version:
- 2f539b3aa0b8




CSP_RefTK
- data:
- CSV
- timing:
- 0:00:35 elapsed time, 0:00:34 cpu time, factor 0.97
- ML timing:
- 33.689s elapsed time, 33.750s cpu time, 0.357s GC time, factor 1.00
- ML stack maximum:
- 3 MiB
- ML stack average:
- 3 MiB
- ML heap maximum:
- 1.5 GiB
- ML heap average:
- 1.4 GiB
- Isabelle version:
- 4b7fdf77af07
- AFP version:
- 2f539b3aa0b8




Splay_Tree
- data:
- CSV
- timing:
- 0:00:35 elapsed time, 0:00:34 cpu time, factor 0.97
- ML timing:
- 33.295s elapsed time, 33.401s cpu time, 0.540s GC time, factor 1.00
- ML stack maximum:
- 1.5 MiB
- ML stack average:
- 1.5 MiB
- ML heap maximum:
- 1.5 GiB
- ML heap average:
- 1.4 GiB
- Isabelle version:
- 4b7fdf77af07
- AFP version:
- 2f539b3aa0b8




Diophantine_Eqns_Lin_Hom
- data:
- CSV
- timing:
- 0:00:34 elapsed time, 0:00:32 cpu time, factor 0.94
- ML timing:
- 32.923s elapsed time, 31.306s cpu time, 0.623s GC time, factor 0.95
- ML stack maximum:
- 3 MiB
- ML stack average:
- 2.9 MiB
- ML heap maximum:
- 1.5 GiB
- ML heap average:
- 1.4 GiB
- Isabelle version:
- 4b7fdf77af07
- AFP version:
- 2f539b3aa0b8




Functional-Automata
- data:
- CSV
- timing:
- 0:00:34 elapsed time, 0:00:34 cpu time, factor 1.00
- ML timing:
- 23.713s elapsed time, 23.624s cpu time, 0.513s GC time, factor 1.00
- ML stack maximum:
- 2 MiB
- ML stack average:
- 1.4 MiB
- ML heap maximum:
- 1.5 GiB
- ML heap average:
- 1 GiB
- ML heap stored:
- 8.9 MiB
- Isabelle version:
- 4b7fdf77af07
- AFP version:
- 2f539b3aa0b8




Relational_Divisibility
- data:
- CSV
- timing:
- 0:00:34 elapsed time, 0:00:32 cpu time, factor 0.94
- ML timing:
- 33.174s elapsed time, 31.345s cpu time, 0.682s GC time, factor 0.94
- ML stack maximum:
- 5 MiB
- ML stack average:
- 4.2 MiB
- ML heap maximum:
- 1.5 GiB
- ML heap average:
- 1.4 GiB
- Isabelle version:
- 4b7fdf77af07
- AFP version:
- 2f539b3aa0b8




Saturation_Framework_Extensions
- data:
- CSV
- timing:
- 0:00:34 elapsed time, 0:00:33 cpu time, factor 0.97
- ML timing:
- 23.010s elapsed time, 22.137s cpu time, 0.718s GC time, factor 0.96
- ML stack maximum:
- 3 MiB
- ML stack average:
- 2.1 MiB
- ML heap maximum:
- 1.5 GiB
- ML heap average:
- 1023 MiB
- ML heap stored:
- 7.7 MiB
- Isabelle version:
- 4b7fdf77af07
- AFP version:
- 2f539b3aa0b8




Rewriting_Z
- data:
- CSV
- timing:
- 0:00:34 elapsed time, 0:00:34 cpu time, factor 1.00
- ML timing:
- 32.528s elapsed time, 32.857s cpu time, 0.895s GC time, factor 1.01
- ML stack maximum:
- 5 MiB
- ML stack average:
- 5 MiB
- ML heap maximum:
- 1.5 GiB
- ML heap average:
- 1.4 GiB
- Isabelle version:
- 4b7fdf77af07
- AFP version:
- 2f539b3aa0b8




Package_logic
- data:
- CSV
- timing:
- 0:00:34 elapsed time, 0:00:34 cpu time, factor 1.00
- ML timing:
- 27.209s elapsed time, 27.448s cpu time, 0.677s GC time, factor 1.01
- ML stack maximum:
- 5 MiB
- ML stack average:
- 3.9 MiB
- ML heap maximum:
- 1.5 GiB
- ML heap average:
- 1.2 GiB
- ML heap stored:
- 6.5 MiB
- Isabelle version:
- 4b7fdf77af07
- AFP version:
- 2f539b3aa0b8




Efficient-Mergesort
- data:
- CSV
- timing:
- 0:00:33 elapsed time, 0:00:33 cpu time, factor 1.00
- ML timing:
- 31.536s elapsed time, 32.113s cpu time, 1.172s GC time, factor 1.02
- ML stack maximum:
- 9 MiB
- ML stack average:
- 8.8 MiB
- ML heap maximum:
- 1.5 GiB
- ML heap average:
- 1.4 GiB
- Isabelle version:
- 4b7fdf77af07
- AFP version:
- 2f539b3aa0b8




Chomsky_Schuetzenberger
- data:
- CSV
- timing:
- 0:00:33 elapsed time, 0:00:33 cpu time, factor 1.00
- ML timing:
- 31.356s elapsed time, 31.424s cpu time, 1.231s GC time, factor 1.00
- ML stack maximum:
- 5 MiB
- ML stack average:
- 4.8 MiB
- ML heap maximum:
- 1.5 GiB
- ML heap average:
- 1.4 GiB
- Isabelle version:
- 4b7fdf77af07
- AFP version:
- 2f539b3aa0b8




Ramsey_Bounds
- data:
- CSV
- timing:
- 0:00:33 elapsed time, 0:00:33 cpu time, factor 1.00
- ML timing:
- 30.703s elapsed time, 30.807s cpu time, 0.729s GC time, factor 1.00
- ML stack maximum:
- 3 MiB
- ML stack average:
- 3 MiB
- ML heap maximum:
- 1.5 GiB
- ML heap average:
- 1.4 GiB
- Isabelle version:
- 4b7fdf77af07
- AFP version:
- 2f539b3aa0b8




Rensets
- data:
- CSV
- timing:
- 0:00:33 elapsed time, 0:00:30 cpu time, factor 0.91
- ML timing:
- 32.232s elapsed time, 28.565s cpu time, 0.796s GC time, factor 0.89
- ML stack maximum:
- 2 MiB
- ML stack average:
- 2 MiB
- ML heap maximum:
- 1.5 GiB
- ML heap average:
- 1.4 GiB
- Isabelle version:
- 4b7fdf77af07
- AFP version:
- 2f539b3aa0b8




Ramsey-Infinite
- data:
- CSV
- timing:
- 0:00:33 elapsed time, 0:00:33 cpu time, factor 1.00
- ML timing:
- 32.085s elapsed time, 32.265s cpu time, 0.685s GC time, factor 1.01
- ML stack maximum:
- 3 MiB
- ML stack average:
- 2.4 MiB
- ML heap maximum:
- 1.5 GiB
- ML heap average:
- 1.4 GiB
- Isabelle version:
- 4b7fdf77af07
- AFP version:
- 2f539b3aa0b8




AVL-Trees
- data:
- CSV
- timing:
- 0:00:33 elapsed time, 0:00:33 cpu time, factor 1.00
- ML timing:
- 32.043s elapsed time, 32.153s cpu time, 0.534s GC time, factor 1.00
- ML stack maximum:
- 2 MiB
- ML stack average:
- 2 MiB
- ML heap maximum:
- 1.5 GiB
- ML heap average:
- 1.4 GiB
- Isabelle version:
- 4b7fdf77af07
- AFP version:
- 2f539b3aa0b8




Kummer_Congruence
- data:
- CSV
- timing:
- 0:00:32 elapsed time, 0:00:32 cpu time, factor 1.00
- ML timing:
- 29.888s elapsed time, 30.209s cpu time, 0.456s GC time, factor 1.01
- ML stack maximum:
- 3 MiB
- ML stack average:
- 2.8 MiB
- ML heap maximum:
- 1.5 GiB
- ML heap average:
- 1.4 GiB
- Isabelle version:
- 4b7fdf77af07
- AFP version:
- 2f539b3aa0b8




Noninterference_Sequential_Composition
- data:
- CSV
- timing:
- 0:00:32 elapsed time, 0:00:30 cpu time, factor 0.94
- ML timing:
- 25.143s elapsed time, 23.714s cpu time, 0.843s GC time, factor 0.94
- ML stack maximum:
- 9 MiB
- ML stack average:
- 5.1 MiB
- ML heap maximum:
- 1.5 GiB
- ML heap average:
- 1.1 GiB
- ML heap stored:
- 7.2 MiB
- Isabelle version:
- 4b7fdf77af07
- AFP version:
- 2f539b3aa0b8




Hybrid_Logic
- data:
- CSV
- timing:
- 0:00:32 elapsed time, 0:00:32 cpu time, factor 1.00
- ML timing:
- 30.865s elapsed time, 31.453s cpu time, 0.815s GC time, factor 1.02
- ML stack maximum:
- 9 MiB
- ML stack average:
- 8.2 MiB
- ML heap maximum:
- 1.5 GiB
- ML heap average:
- 1.4 GiB
- Isabelle version:
- 4b7fdf77af07
- AFP version:
- 2f539b3aa0b8




Matrix_Tensor
- data:
- CSV
- timing:
- 0:00:32 elapsed time, 0:00:32 cpu time, factor 1.00
- ML timing:
- 24.638s elapsed time, 24.959s cpu time, 2.665s GC time, factor 1.01
- ML stack maximum:
- 9 MiB
- ML stack average:
- 7.6 MiB
- ML heap maximum:
- 1.8 GiB
- ML heap average:
- 1.1 GiB
- ML heap stored:
- 4 MiB
- Isabelle version:
- 4b7fdf77af07
- AFP version:
- 2f539b3aa0b8




Catoids
- data:
- CSV
- timing:
- 0:00:32 elapsed time, 0:00:32 cpu time, factor 1.00
- ML timing:
- 31.125s elapsed time, 30.694s cpu time, 1.235s GC time, factor 0.99
- ML stack maximum:
- 2 MiB
- ML stack average:
- 2 MiB
- ML heap maximum:
- 1.5 GiB
- ML heap average:
- 1.4 GiB
- Isabelle version:
- 4b7fdf77af07
- AFP version:
- 2f539b3aa0b8




Kuratowski_Closure_Complement
- data:
- CSV
- timing:
- 0:00:32 elapsed time, 0:00:31 cpu time, factor 0.97
- ML timing:
- 30.209s elapsed time, 29.934s cpu time, 1.795s GC time, factor 0.99
- ML stack maximum:
- 3 MiB
- ML stack average:
- 3 MiB
- ML heap maximum:
- 1.6 GiB
- ML heap average:
- 1.3 GiB
- Isabelle version:
- 4b7fdf77af07
- AFP version:
- 2f539b3aa0b8




Completeness
- data:
- CSV
- timing:
- 0:00:31 elapsed time, 0:00:31 cpu time, factor 1.00
- ML timing:
- 29.550s elapsed time, 30.063s cpu time, 0.861s GC time, factor 1.02
- ML stack maximum:
- 9 MiB
- ML stack average:
- 8 MiB
- ML heap maximum:
- 1.5 GiB
- ML heap average:
- 1.4 GiB
- Isabelle version:
- 4b7fdf77af07
- AFP version:
- 2f539b3aa0b8




Finite_Automata_HF
- data:
- CSV
- timing:
- 0:00:31 elapsed time, 0:00:30 cpu time, factor 0.97
- ML timing:
- 24.376s elapsed time, 24.468s cpu time, 0.595s GC time, factor 1.00
- ML stack maximum:
- 3 MiB
- ML stack average:
- 2.2 MiB
- ML heap maximum:
- 1.5 GiB
- ML heap average:
- 1.1 GiB
- ML heap stored:
- 11.1 MiB
- Isabelle version:
- 4b7fdf77af07
- AFP version:
- 2f539b3aa0b8




Farey_Sequences
- data:
- CSV
- timing:
- 0:00:31 elapsed time, 0:00:31 cpu time, factor 1.00
- ML timing:
- 28.955s elapsed time, 29.323s cpu time, 0.727s GC time, factor 1.01
- ML stack maximum:
- 3 MiB
- ML stack average:
- 2.9 MiB
- ML heap maximum:
- 1.5 GiB
- ML heap average:
- 1.4 GiB
- Isabelle version:
- 4b7fdf77af07
- AFP version:
- 2f539b3aa0b8




Complete_Non_Orders
- data:
- CSV
- timing:
- 0:00:31 elapsed time, 0:00:31 cpu time, factor 1.00
- ML timing:
- 29.596s elapsed time, 30.188s cpu time, 1.333s GC time, factor 1.02
- ML stack maximum:
- 5 MiB
- ML stack average:
- 5 MiB
- ML heap maximum:
- 1.5 GiB
- ML heap average:
- 1.4 GiB
- Isabelle version:
- 4b7fdf77af07
- AFP version:
- 2f539b3aa0b8




Budan_Fourier
- data:
- CSV
- timing:
- 0:00:31 elapsed time, 0:00:31 cpu time, factor 1.00
- ML timing:
- 29.647s elapsed time, 30.178s cpu time, 0.425s GC time, factor 1.02
- ML stack maximum:
- 5 MiB
- ML stack average:
- 5 MiB
- ML heap maximum:
- 1.5 GiB
- ML heap average:
- 1.4 GiB
- Isabelle version:
- 4b7fdf77af07
- AFP version:
- 2f539b3aa0b8




Coproduct_Measure
- data:
- CSV
- timing:
- 0:00:30 elapsed time, 0:00:30 cpu time, factor 1.00
- ML timing:
- 28.033s elapsed time, 28.262s cpu time, 0.397s GC time, factor 1.01
- ML stack maximum:
- 3 MiB
- ML stack average:
- 2.9 MiB
- ML heap maximum:
- 1.5 GiB
- ML heap average:
- 1.4 GiB
- Isabelle version:
- 4b7fdf77af07
- AFP version:
- 2f539b3aa0b8




Priority_Search_Trees
- data:
- CSV
- timing:
- 0:00:30 elapsed time, 0:00:29 cpu time, factor 0.97
- ML timing:
- 20.257s elapsed time, 20.394s cpu time, 1.671s GC time, factor 1.01
- ML stack maximum:
- 1.5 MiB
- ML stack average:
- 1.3 MiB
- ML heap maximum:
- 1.5 GiB
- ML heap average:
- 959.9 MiB
- ML heap stored:
- 13 MiB
- Isabelle version:
- 4b7fdf77af07
- AFP version:
- 2f539b3aa0b8




NormByEval
- data:
- CSV
- timing:
- 0:00:30 elapsed time, 0:00:30 cpu time, factor 1.00
- ML timing:
- 29.505s elapsed time, 29.773s cpu time, 1.104s GC time, factor 1.01
- ML stack maximum:
- 5 MiB
- ML stack average:
- 5 MiB
- ML heap maximum:
- 1.5 GiB
- ML heap average:
- 1.3 GiB
- Isabelle version:
- 4b7fdf77af07
- AFP version:
- 2f539b3aa0b8




Catalan_Numbers
- data:
- CSV
- timing:
- 0:00:30 elapsed time, 0:00:30 cpu time, factor 1.00
- ML timing:
- 16.833s elapsed time, 17.172s cpu time, 0.520s GC time, factor 1.02
- ML stack maximum:
- 3 MiB
- ML stack average:
- 1.9 MiB
- ML heap maximum:
- 1.5 GiB
- ML heap average:
- 825.4 MiB
- ML heap stored:
- 10.6 MiB
- Isabelle version:
- 4b7fdf77af07
- AFP version:
- 2f539b3aa0b8




FocusStreamsCaseStudies
- data:
- CSV
- timing:
- 0:00:30 elapsed time, 0:00:30 cpu time, factor 1.00
- ML timing:
- 28.682s elapsed time, 29.126s cpu time, 0.710s GC time, factor 1.02
- ML stack maximum:
- 3 MiB
- ML stack average:
- 2.7 MiB
- ML heap maximum:
- 1.5 GiB
- ML heap average:
- 1.4 GiB
- Isabelle version:
- 4b7fdf77af07
- AFP version:
- 2f539b3aa0b8




Path_Automation
- data:
- CSV
- timing:
- 0:00:30 elapsed time, 0:00:31 cpu time, factor 1.03
- ML timing:
- 28.514s elapsed time, 29.112s cpu time, 0.999s GC time, factor 1.02
- ML stack maximum:
- 3 MiB
- ML stack average:
- 3 MiB
- ML heap maximum:
- 1.5 GiB
- ML heap average:
- 1.4 GiB
- Isabelle version:
- 4b7fdf77af07
- AFP version:
- 2f539b3aa0b8




SCC_Bloemen_Sequential
- data:
- CSV
- timing:
- 0:00:30 elapsed time, 0:00:30 cpu time, factor 1.00
- ML timing:
- 28.787s elapsed time, 28.934s cpu time, 0.606s GC time, factor 1.01
- ML stack maximum:
- 5 MiB
- ML stack average:
- 5 MiB
- ML heap maximum:
- 1.5 GiB
- ML heap average:
- 1.4 GiB
- Isabelle version:
- 4b7fdf77af07
- AFP version:
- 2f539b3aa0b8




ADS_Functor
- data:
- CSV
- timing:
- 0:00:30 elapsed time, 0:00:30 cpu time, factor 1.00
- ML timing:
- 28.368s elapsed time, 28.689s cpu time, 2.809s GC time, factor 1.01
- ML stack maximum:
- 3 MiB
- ML stack average:
- 2.9 MiB
- ML heap maximum:
- 1.5 GiB
- ML heap average:
- 1.3 GiB
- Isabelle version:
- 4b7fdf77af07
- AFP version:
- 2f539b3aa0b8




Lambert_W
- data:
- CSV
- timing:
- 0:00:29 elapsed time, 0:00:29 cpu time, factor 1.00
- ML timing:
- 26.982s elapsed time, 27.560s cpu time, 0.766s GC time, factor 1.02
- ML stack maximum:
- 3 MiB
- ML stack average:
- 3 MiB
- ML heap maximum:
- 1.5 GiB
- ML heap average:
- 1.4 GiB
- Isabelle version:
- 4b7fdf77af07
- AFP version:
- 2f539b3aa0b8




Localization_Ring
- data:
- CSV
- timing:
- 0:00:29 elapsed time, 0:00:27 cpu time, factor 0.93
- ML timing:
- 28.153s elapsed time, 25.920s cpu time, 0.595s GC time, factor 0.92
- ML stack maximum:
- 5 MiB
- ML stack average:
- 5 MiB
- ML heap maximum:
- 1.5 GiB
- ML heap average:
- 1.4 GiB
- Isabelle version:
- 4b7fdf77af07
- AFP version:
- 2f539b3aa0b8




Relation_Algebra
- data:
- CSV
- timing:
- 0:00:29 elapsed time, 0:00:29 cpu time, factor 1.00
- ML timing:
- 20.891s elapsed time, 21.048s cpu time, 1.642s GC time, factor 1.01
- ML stack maximum:
- 1.5 MiB
- ML stack average:
- 1.4 MiB
- ML heap maximum:
- 1.5 GiB
- ML heap average:
- 1 GiB
- ML heap stored:
- 9 MiB
- Isabelle version:
- 4b7fdf77af07
- AFP version:
- 2f539b3aa0b8




- data:
- CSV
- timing:
- 0:00:29 elapsed time, 0:00:30 cpu time, factor 1.03
- ML timing:
- 27.771s elapsed time, 28.156s cpu time, 2.884s GC time, factor 1.01
- ML stack maximum:
- 5 MiB
- ML stack average:
- 5 MiB
- ML heap maximum:
- 1.5 GiB
- ML heap average:
- 1.3 GiB
- Isabelle version:
- 4b7fdf77af07
- AFP version:
- 2f539b3aa0b8




- data:
- CSV
- timing:
- 0:00:29 elapsed time, 0:00:25 cpu time, factor 0.86
- ML timing:
- 27.273s elapsed time, 24.384s cpu time, 0.903s GC time, factor 0.89
- ML stack maximum:
- 5 MiB
- ML stack average:
- 4.1 MiB
- ML heap maximum:
- 1.5 GiB
- ML heap average:
- 1.4 GiB
- Isabelle version:
- 4b7fdf77af07
- AFP version:
- 2f539b3aa0b8




OpSets
- data:
- CSV
- timing:
- 0:00:29 elapsed time, 0:00:29 cpu time, factor 1.00
- ML timing:
- 27.674s elapsed time, 28.045s cpu time, 0.569s GC time, factor 1.01
- ML stack maximum:
- 3 MiB
- ML stack average:
- 2.8 MiB
- ML heap maximum:
- 1.5 GiB
- ML heap average:
- 1.4 GiB
- Isabelle version:
- 4b7fdf77af07
- AFP version:
- 2f539b3aa0b8




Fermat3_4
- data:
- CSV
- timing:
- 0:00:28 elapsed time, 0:00:28 cpu time, factor 1.00
- ML timing:
- 20.716s elapsed time, 21.192s cpu time, 0.318s GC time, factor 1.02
- ML stack maximum:
- 3 MiB
- ML stack average:
- 2.4 MiB
- ML heap maximum:
- 1.5 GiB
- ML heap average:
- 1.1 GiB
- ML heap stored:
- 4.5 MiB
- Isabelle version:
- 4b7fdf77af07
- AFP version:
- 2f539b3aa0b8




Dedekind_Sums
- data:
- CSV
- timing:
- 0:00:28 elapsed time, 0:00:28 cpu time, factor 1.00
- ML timing:
- 26.568s elapsed time, 27.000s cpu time, 0.592s GC time, factor 1.02
- ML stack maximum:
- 3 MiB
- ML stack average:
- 2.8 MiB
- ML heap maximum:
- 1.5 GiB
- ML heap average:
- 1.4 GiB
- Isabelle version:
- 4b7fdf77af07
- AFP version:
- 2f539b3aa0b8




Finitely_Generated_Abelian_Groups
- data:
- CSV
- timing:
- 0:00:28 elapsed time, 0:00:28 cpu time, factor 1.00
- ML timing:
- 26.721s elapsed time, 27.405s cpu time, 2.254s GC time, factor 1.03
- ML stack maximum:
- 3 MiB
- ML stack average:
- 2.4 MiB
- ML heap maximum:
- 1.6 GiB
- ML heap average:
- 1.4 GiB
- Isabelle version:
- 4b7fdf77af07
- AFP version:
- 2f539b3aa0b8




BNF_CC
- data:
- CSV
- timing:
- 0:00:28 elapsed time, 0:00:29 cpu time, factor 1.04
- ML timing:
- 27.078s elapsed time, 27.458s cpu time, 2.018s GC time, factor 1.01
- ML stack maximum:
- 5 MiB
- ML stack average:
- 3.5 MiB
- ML heap maximum:
- 1.6 GiB
- ML heap average:
- 1.4 GiB
- Isabelle version:
- 4b7fdf77af07
- AFP version:
- 2f539b3aa0b8




Parikh
- data:
- CSV
- timing:
- 0:00:28 elapsed time, 0:00:28 cpu time, factor 1.00
- ML timing:
- 27.357s elapsed time, 27.144s cpu time, 0.928s GC time, factor 0.99
- ML stack maximum:
- 9 MiB
- ML stack average:
- 8.9 MiB
- ML heap maximum:
- 1.5 GiB
- ML heap average:
- 1.4 GiB
- Isabelle version:
- 4b7fdf77af07
- AFP version:
- 2f539b3aa0b8




Residuated_Lattices
- data:
- CSV
- timing:
- 0:00:28 elapsed time, 0:00:28 cpu time, factor 1.00
- ML timing:
- 26.992s elapsed time, 27.231s cpu time, 0.861s GC time, factor 1.01
- ML stack maximum:
- 2 MiB
- ML stack average:
- 2 MiB
- ML heap maximum:
- 1.5 GiB
- ML heap average:
- 1.4 GiB
- Isabelle version:
- 4b7fdf77af07
- AFP version:
- 2f539b3aa0b8




Stream_Fusion_Code
- data:
- CSV
- timing:
- 0:00:28 elapsed time, 0:00:28 cpu time, factor 1.00
- ML timing:
- 26.595s elapsed time, 26.836s cpu time, 0.596s GC time, factor 1.01
- ML stack maximum:
- 3 MiB
- ML stack average:
- 3 MiB
- ML heap maximum:
- 1.5 GiB
- ML heap average:
- 1.4 GiB
- Isabelle version:
- 4b7fdf77af07
- AFP version:
- 2f539b3aa0b8




VerifyThis2019
- data:
- CSV
- timing:
- 0:00:28 elapsed time, 0:00:21 cpu time, factor 0.75
- ML timing:
- 26.231s elapsed time, 19.474s cpu time, 0.385s GC time, factor 0.74
- ML stack maximum:
- 2 MiB
- ML stack average:
- 2 MiB
- ML heap maximum:
- 1.5 GiB
- ML heap average:
- 1.4 GiB
- Isabelle version:
- 4b7fdf77af07
- AFP version:
- 2f539b3aa0b8




Hahn_Jordan_Decomposition
- data:
- CSV
- timing:
- 0:00:28 elapsed time, 0:00:28 cpu time, factor 1.00
- ML timing:
- 26.640s elapsed time, 26.931s cpu time, 1.026s GC time, factor 1.01
- ML stack maximum:
- 5 MiB
- ML stack average:
- 4.5 MiB
- ML heap maximum:
- 1.5 GiB
- ML heap average:
- 1.4 GiB
- Isabelle version:
- 4b7fdf77af07
- AFP version:
- 2f539b3aa0b8




Optimal_BST
- data:
- CSV
- timing:
- 0:00:28 elapsed time, 0:00:28 cpu time, factor 1.00
- ML timing:
- 26.630s elapsed time, 26.738s cpu time, 0.379s GC time, factor 1.00
- ML stack maximum:
- 2 MiB
- ML stack average:
- 1.8 MiB
- ML heap maximum:
- 1.5 GiB
- ML heap average:
- 1.4 GiB
- Isabelle version:
- 4b7fdf77af07
- AFP version:
- 2f539b3aa0b8




Lambert_Series
- data:
- CSV
- timing:
- 0:00:28 elapsed time, 0:00:28 cpu time, factor 1.00
- ML timing:
- 13.489s elapsed time, 13.815s cpu time, 0.376s GC time, factor 1.02
- ML stack maximum:
- 5 MiB
- ML stack average:
- 2.3 MiB
- ML heap maximum:
- 1.5 GiB
- ML heap average:
- 684.2 MiB
- ML heap stored:
- 5.9 MiB
- Isabelle version:
- 4b7fdf77af07
- AFP version:
- 2f539b3aa0b8




DynamicArchitectures
- data:
- CSV
- timing:
- 0:00:28 elapsed time, 0:00:28 cpu time, factor 1.00
- ML timing:
- 19.237s elapsed time, 19.702s cpu time, 0.331s GC time, factor 1.02
- ML stack maximum:
- 5 MiB
- ML stack average:
- 3.9 MiB
- ML heap maximum:
- 1.5 GiB
- ML heap average:
- 1009.8 MiB
- ML heap stored:
- 4.3 MiB
- Isabelle version:
- 4b7fdf77af07
- AFP version:
- 2f539b3aa0b8




Generalized_Cauchy_Davenport
- data:
- CSV
- timing:
- 0:00:28 elapsed time, 0:00:28 cpu time, factor 1.00
- ML timing:
- 27.451s elapsed time, 27.620s cpu time, 0.623s GC time, factor 1.01
- ML stack maximum:
- 2 MiB
- ML stack average:
- 2 MiB
- ML heap maximum:
- 1.5 GiB
- ML heap average:
- 1.4 GiB
- Isabelle version:
- 4b7fdf77af07
- AFP version:
- 2f539b3aa0b8




Minsky_Machines
- data:
- CSV
- timing:
- 0:00:27 elapsed time, 0:00:28 cpu time, factor 1.04
- ML timing:
- 25.652s elapsed time, 26.718s cpu time, 0.702s GC time, factor 1.04
- ML stack maximum:
- 5 MiB
- ML stack average:
- 3.8 MiB
- ML heap maximum:
- 1.5 GiB
- ML heap average:
- 1.4 GiB
- Isabelle version:
- 4b7fdf77af07
- AFP version:
- 2f539b3aa0b8




GraphMarkingIBP
- data:
- CSV
- timing:
- 0:00:27 elapsed time, 0:00:27 cpu time, factor 1.00
- ML timing:
- 25.556s elapsed time, 25.741s cpu time, 0.335s GC time, factor 1.01
- ML stack maximum:
- 1.5 MiB
- ML stack average:
- 1.5 MiB
- ML heap maximum:
- 1.5 GiB
- ML heap average:
- 1.4 GiB
- Isabelle version:
- 4b7fdf77af07
- AFP version:
- 2f539b3aa0b8




Coinductive_Languages
- data:
- CSV
- timing:
- 0:00:27 elapsed time, 0:00:27 cpu time, factor 1.00
- ML timing:
- 26.072s elapsed time, 26.238s cpu time, 0.846s GC time, factor 1.01
- ML code maximum:
- 6.4 MiB
- ML code average:
- 1.5 MiB
- ML stack maximum:
- 5 MiB
- ML stack average:
- 4.1 MiB
- ML heap maximum:
- 1.5 GiB
- ML heap average:
- 1.4 GiB
- Isabelle version:
- 4b7fdf77af07
- AFP version:
- 2f539b3aa0b8




Polynomial_Interpolation
- data:
- CSV
- timing:
- 0:00:27 elapsed time, 0:00:27 cpu time, factor 1.00
- ML timing:
- 26.048s elapsed time, 26.497s cpu time, 0.871s GC time, factor 1.02
- ML stack maximum:
- 3 MiB
- ML stack average:
- 2.8 MiB
- ML heap maximum:
- 1.5 GiB
- ML heap average:
- 1.4 GiB
- Isabelle version:
- 4b7fdf77af07
- AFP version:
- 2f539b3aa0b8




Swap_Distance
- data:
- CSV
- timing:
- 0:00:27 elapsed time, 0:00:27 cpu time, factor 1.00
- ML timing:
- 20.632s elapsed time, 20.981s cpu time, 0.511s GC time, factor 1.02
- ML stack maximum:
- 3 MiB
- ML stack average:
- 2.3 MiB
- ML heap maximum:
- 1.5 GiB
- ML heap average:
- 1.1 GiB
- ML heap stored:
- 9.3 MiB
- Isabelle version:
- 4b7fdf77af07
- AFP version:
- 2f539b3aa0b8




Pushdown_Automata
- data:
- CSV
- timing:
- 0:00:27 elapsed time, 0:00:27 cpu time, factor 1.00
- ML timing:
- 26.079s elapsed time, 26.283s cpu time, 0.652s GC time, factor 1.01
- ML stack maximum:
- 2 MiB
- ML stack average:
- 2 MiB
- ML heap maximum:
- 1.5 GiB
- ML heap average:
- 1.4 GiB
- Isabelle version:
- 4b7fdf77af07
- AFP version:
- 2f539b3aa0b8




Isabelle_hoops
- data:
- CSV
- timing:
- 0:00:26 elapsed time, 0:00:26 cpu time, factor 1.00
- ML timing:
- 25.049s elapsed time, 25.354s cpu time, 0.953s GC time, factor 1.01
- ML stack maximum:
- 3 MiB
- ML stack average:
- 2.4 MiB
- ML heap maximum:
- 1.5 GiB
- ML heap average:
- 1.4 GiB
- Isabelle version:
- 4b7fdf77af07
- AFP version:
- 2f539b3aa0b8




Pre_Star_CFG
- data:
- CSV
- timing:
- 0:00:26 elapsed time, 0:00:26 cpu time, factor 1.00
- ML timing:
- 25.313s elapsed time, 25.535s cpu time, 0.534s GC time, factor 1.01
- ML code maximum:
- 1.3 MiB
- ML stack maximum:
- 3 MiB
- ML stack average:
- 2.1 MiB
- ML heap maximum:
- 1.5 GiB
- ML heap average:
- 1.4 GiB
- Isabelle version:
- 4b7fdf77af07
- AFP version:
- 2f539b3aa0b8




Pratt_Certificate
- data:
- CSV
- timing:
- 0:00:26 elapsed time, 0:00:26 cpu time, factor 1.00
- ML timing:
- 24.933s elapsed time, 25.073s cpu time, 0.256s GC time, factor 1.01
- ML stack maximum:
- 3 MiB
- ML stack average:
- 2.9 MiB
- ML heap maximum:
- 1.5 GiB
- ML heap average:
- 1.4 GiB
- Isabelle version:
- 4b7fdf77af07
- AFP version:
- 2f539b3aa0b8




Octonions
- data:
- CSV
- timing:
- 0:00:26 elapsed time, 0:00:26 cpu time, factor 1.00
- ML timing:
- 24.286s elapsed time, 24.435s cpu time, 0.325s GC time, factor 1.01
- ML stack maximum:
- 3 MiB
- ML stack average:
- 2.2 MiB
- ML heap maximum:
- 1.5 GiB
- ML heap average:
- 1.4 GiB
- Isabelle version:
- 4b7fdf77af07
- AFP version:
- 2f539b3aa0b8




SenSocialChoice
- data:
- CSV
- timing:
- 0:00:26 elapsed time, 0:00:26 cpu time, factor 1.00
- ML timing:
- 24.706s elapsed time, 24.928s cpu time, 0.928s GC time, factor 1.01
- ML stack maximum:
- 9 MiB
- ML stack average:
- 7.4 MiB
- ML heap maximum:
- 1.5 GiB
- ML heap average:
- 1.3 GiB
- Isabelle version:
- 4b7fdf77af07
- AFP version:
- 2f539b3aa0b8




Interpolation_Polynomials_HOL_Algebra
- data:
- CSV
- timing:
- 0:00:26 elapsed time, 0:00:26 cpu time, factor 1.00
- ML timing:
- 24.758s elapsed time, 24.860s cpu time, 3.066s GC time, factor 1.00
- ML stack maximum:
- 2 MiB
- ML stack average:
- 1.5 MiB
- ML heap maximum:
- 1.7 GiB
- ML heap average:
- 1.3 GiB
- Isabelle version:
- 4b7fdf77af07
- AFP version:
- 2f539b3aa0b8




Sumcheck_Protocol
- data:
- CSV
- timing:
- 0:00:26 elapsed time, 0:00:26 cpu time, factor 1.00
- ML timing:
- 23.633s elapsed time, 23.859s cpu time, 0.789s GC time, factor 1.01
- ML stack maximum:
- 3 MiB
- ML stack average:
- 2 MiB
- ML heap maximum:
- 1.5 GiB
- ML heap average:
- 1.4 GiB
- Isabelle version:
- 4b7fdf77af07
- AFP version:
- 2f539b3aa0b8




Bounded_Deducibility_Security
- data:
- CSV
- timing:
- 0:00:26 elapsed time, 0:00:26 cpu time, factor 1.00
- ML timing:
- 18.853s elapsed time, 19.214s cpu time, 0.698s GC time, factor 1.02
- ML stack maximum:
- 3 MiB
- ML stack average:
- 2.5 MiB
- ML heap maximum:
- 1.5 GiB
- ML heap average:
- 1 GiB
- ML heap stored:
- 13.1 MiB
- Isabelle version:
- 4b7fdf77af07
- AFP version:
- 2f539b3aa0b8




Restriction_Spaces-Ultrametric
- data:
- CSV
- timing:
- 0:00:26 elapsed time, 0:00:26 cpu time, factor 1.00
- ML timing:
- 24.133s elapsed time, 24.647s cpu time, 0.892s GC time, factor 1.02
- ML stack maximum:
- 5 MiB
- ML stack average:
- 4.8 MiB
- ML heap maximum:
- 1.5 GiB
- ML heap average:
- 1.4 GiB
- Isabelle version:
- 4b7fdf77af07
- AFP version:
- 2f539b3aa0b8




More_LazyLists
- data:
- CSV
- timing:
- 0:00:26 elapsed time, 0:00:26 cpu time, factor 1.00
- ML timing:
- 17.551s elapsed time, 17.261s cpu time, 0.912s GC time, factor 0.98
- ML stack maximum:
- 2 MiB
- ML stack average:
- 1.7 MiB
- ML heap maximum:
- 1.5 GiB
- ML heap average:
- 962.5 MiB
- ML heap stored:
- 4.5 MiB
- Isabelle version:
- 4b7fdf77af07
- AFP version:
- 2f539b3aa0b8




Euler_MacLaurin
- data:
- CSV
- timing:
- 0:00:26 elapsed time, 0:00:26 cpu time, factor 1.00
- ML timing:
- 23.874s elapsed time, 24.337s cpu time, 0.661s GC time, factor 1.02
- ML stack maximum:
- 5 MiB
- ML stack average:
- 5 MiB
- ML heap maximum:
- 1.5 GiB
- ML heap average:
- 1.4 GiB
- Isabelle version:
- 4b7fdf77af07
- AFP version:
- 2f539b3aa0b8




Cubic_Quartic_Equations
- data:
- CSV
- timing:
- 0:00:26 elapsed time, 0:00:26 cpu time, factor 1.00
- ML timing:
- 24.174s elapsed time, 24.320s cpu time, 0.703s GC time, factor 1.01
- ML stack maximum:
- 2 MiB
- ML stack average:
- 2 MiB
- ML heap maximum:
- 1.5 GiB
- ML heap average:
- 1.4 GiB
- Isabelle version:
- 4b7fdf77af07
- AFP version:
- 2f539b3aa0b8




Binomial-Heaps
- data:
- CSV
- timing:
- 0:00:26 elapsed time, 0:00:26 cpu time, factor 1.00
- ML timing:
- 24.077s elapsed time, 24.396s cpu time, 2.218s GC time, factor 1.01
- ML stack maximum:
- 5 MiB
- ML stack average:
- 4.5 MiB
- ML heap maximum:
- 1.5 GiB
- ML heap average:
- 1.3 GiB
- Isabelle version:
- 4b7fdf77af07
- AFP version:
- 2f539b3aa0b8




Weight_Balanced_Trees
- data:
- CSV
- timing:
- 0:00:25 elapsed time, 0:00:25 cpu time, factor 1.00
- ML timing:
- 23.815s elapsed time, 23.931s cpu time, 1.422s GC time, factor 1.00
- ML stack maximum:
- 2 MiB
- ML stack average:
- 1.9 MiB
- ML heap maximum:
- 1.5 GiB
- ML heap average:
- 1.3 GiB
- Isabelle version:
- 4b7fdf77af07
- AFP version:
- 2f539b3aa0b8




Name_Carrying_Type_Inference
- data:
- CSV
- timing:
- 0:00:25 elapsed time, 0:00:26 cpu time, factor 1.04
- ML timing:
- 24.297s elapsed time, 24.773s cpu time, 0.820s GC time, factor 1.02
- ML stack maximum:
- 5 MiB
- ML stack average:
- 3.9 MiB
- ML heap maximum:
- 1.5 GiB
- ML heap average:
- 1.4 GiB
- Isabelle version:
- 4b7fdf77af07
- AFP version:
- 2f539b3aa0b8




Two_Generated_Word_Monoids_Intersection
- data:
- CSV
- timing:
- 0:00:25 elapsed time, 0:00:25 cpu time, factor 1.00
- ML timing:
- 23.960s elapsed time, 24.205s cpu time, 2.517s GC time, factor 1.01
- ML stack maximum:
- 3 MiB
- ML stack average:
- 2.9 MiB
- ML heap maximum:
- 1.8 GiB
- ML heap average:
- 1.3 GiB
- Isabelle version:
- 4b7fdf77af07
- AFP version:
- 2f539b3aa0b8




CISC-Kernel
- data:
- CSV
- timing:
- 0:00:25 elapsed time, 0:00:25 cpu time, factor 1.00
- ML timing:
- 23.825s elapsed time, 24.208s cpu time, 0.653s GC time, factor 1.02
- ML stack maximum:
- 5 MiB
- ML stack average:
- 4.8 MiB
- ML heap maximum:
- 1.5 GiB
- ML heap average:
- 1.4 GiB
- Isabelle version:
- 4b7fdf77af07
- AFP version:
- 2f539b3aa0b8




Elimination_Of_Repeated_Factors
- data:
- CSV
- timing:
- 0:00:25 elapsed time, 0:00:24 cpu time, factor 0.96
- ML timing:
- 22.869s elapsed time, 22.744s cpu time, 0.495s GC time, factor 0.99
- ML stack maximum:
- 2 MiB
- ML stack average:
- 1.9 MiB
- ML heap maximum:
- 1.5 GiB
- ML heap average:
- 1.4 GiB
- Isabelle version:
- 4b7fdf77af07
- AFP version:
- 2f539b3aa0b8




Sliding_Window_Algorithm
- data:
- CSV
- timing:
- 0:00:25 elapsed time, 0:00:25 cpu time, factor 1.00
- ML timing:
- 24.278s elapsed time, 24.385s cpu time, 0.483s GC time, factor 1.00
- ML stack maximum:
- 3 MiB
- ML stack average:
- 3 MiB
- ML heap maximum:
- 1.5 GiB
- ML heap average:
- 1.3 GiB
- Isabelle version:
- 4b7fdf77af07
- AFP version:
- 2f539b3aa0b8




CCS
- data:
- CSV
- timing:
- 0:00:25 elapsed time, 0:00:25 cpu time, factor 1.00
- ML timing:
- 23.817s elapsed time, 24.084s cpu time, 0.405s GC time, factor 1.01
- ML stack maximum:
- 1.5 MiB
- ML stack average:
- 1.5 MiB
- ML heap maximum:
- 1.5 GiB
- ML heap average:
- 1.3 GiB
- Isabelle version:
- 4b7fdf77af07
- AFP version:
- 2f539b3aa0b8




Hales_Jewett
- data:
- CSV
- timing:
- 0:00:25 elapsed time, 0:00:25 cpu time, factor 1.00
- ML timing:
- 24.273s elapsed time, 24.507s cpu time, 0.356s GC time, factor 1.01
- ML stack maximum:
- 5 MiB
- ML stack average:
- 3.9 MiB
- ML heap maximum:
- 1.5 GiB
- ML heap average:
- 1.4 GiB
- Isabelle version:
- 4b7fdf77af07
- AFP version:
- 2f539b3aa0b8




Go_Test_Quick
- data:
- CSV
- timing:
- 0:00:25 elapsed time, 0:00:25 cpu time, factor 1.00
- ML timing:
- 23.929s elapsed time, 23.778s cpu time, 0.622s GC time, factor 0.99
- ML stack maximum:
- 1.5 MiB
- ML stack average:
- 1.5 MiB
- ML heap maximum:
- 1.5 GiB
- ML heap average:
- 1.4 GiB
- Isabelle version:
- 4b7fdf77af07
- AFP version:
- 2f539b3aa0b8




Perfect_Fields
- data:
- CSV
- timing:
- 0:00:25 elapsed time, 0:00:24 cpu time, factor 0.96
- ML timing:
- 9.915s elapsed time, 10.013s cpu time, 0.335s GC time, factor 1.01
- ML stack maximum:
- 2 MiB
- ML stack average:
- 1.4 MiB
- ML heap maximum:
- 1.5 GiB
- ML heap average:
- 559.2 MiB
- ML heap stored:
- 5.4 MiB
- Isabelle version:
- 4b7fdf77af07
- AFP version:
- 2f539b3aa0b8




KD_Tree
- data:
- CSV
- timing:
- 0:00:24 elapsed time, 0:00:24 cpu time, factor 1.00
- ML timing:
- 21.740s elapsed time, 21.976s cpu time, 0.464s GC time, factor 1.01
- ML stack maximum:
- 3 MiB
- ML stack average:
- 2.4 MiB
- ML heap maximum:
- 1.5 GiB
- ML heap average:
- 1.4 GiB
- Isabelle version:
- 4b7fdf77af07
- AFP version:
- 2f539b3aa0b8




Binary_Code_Imprimitive
- data:
- CSV
- timing:
- 0:00:24 elapsed time, 0:00:24 cpu time, factor 1.00
- ML timing:
- 22.624s elapsed time, 23.051s cpu time, 0.447s GC time, factor 1.02
- ML stack maximum:
- 3 MiB
- ML stack average:
- 3 MiB
- ML heap maximum:
- 1.5 GiB
- ML heap average:
- 1.4 GiB
- Isabelle version:
- 4b7fdf77af07
- AFP version:
- 2f539b3aa0b8




- data:
- CSV
- timing:
- 0:00:24 elapsed time, 0:00:24 cpu time, factor 1.00
- ML timing:
- 22.936s elapsed time, 23.493s cpu time, 0.845s GC time, factor 1.02
- ML stack maximum:
- 9 MiB
- ML stack average:
- 8.8 MiB
- ML heap maximum:
- 1.5 GiB
- ML heap average:
- 1.4 GiB
- Isabelle version:
- 4b7fdf77af07
- AFP version:
- 2f539b3aa0b8




- data:
- CSV
- timing:
- 0:00:24 elapsed time, 0:00:25 cpu time, factor 1.04
- ML timing:
- 23.266s elapsed time, 23.777s cpu time, 0.754s GC time, factor 1.02
- ML stack maximum:
- 5 MiB
- ML stack average:
- 3.5 MiB
- ML heap maximum:
- 1.5 GiB
- ML heap average:
- 1.4 GiB
- Isabelle version:
- 4b7fdf77af07
- AFP version:
- 2f539b3aa0b8




Efficient_Weighted_Path_Order
- data:
- CSV
- timing:
- 0:00:24 elapsed time, 0:00:24 cpu time, factor 1.00
- ML timing:
- 22.375s elapsed time, 22.591s cpu time, 0.801s GC time, factor 1.01
- ML stack maximum:
- 3 MiB
- ML stack average:
- 3 MiB
- ML heap maximum:
- 1.5 GiB
- ML heap average:
- 1.3 GiB
- Isabelle version:
- 4b7fdf77af07
- AFP version:
- 2f539b3aa0b8




CAVA_Base
- data:
- CSV
- timing:
- 0:00:24 elapsed time, 0:00:24 cpu time, factor 1.00
- ML timing:
- 11.876s elapsed time, 12.071s cpu time, 0.434s GC time, factor 1.02
- ML stack maximum:
- 2 MiB
- ML stack average:
- 1.4 MiB
- ML heap maximum:
- 1.5 GiB
- ML heap average:
- 673.1 MiB
- ML heap stored:
- 9.4 MiB
- Isabelle version:
- 4b7fdf77af07
- AFP version:
- 2f539b3aa0b8




Combinatorial_Q_Analogues
- data:
- CSV
- timing:
- 0:00:24 elapsed time, 0:00:24 cpu time, factor 1.00
- ML timing:
- 22.175s elapsed time, 22.629s cpu time, 0.466s GC time, factor 1.02
- ML stack maximum:
- 3 MiB
- ML stack average:
- 2.8 MiB
- ML heap maximum:
- 1.5 GiB
- ML heap average:
- 1.4 GiB
- Isabelle version:
- 4b7fdf77af07
- AFP version:
- 2f539b3aa0b8




- data:
- CSV
- timing:
- 0:00:24 elapsed time, 0:00:24 cpu time, factor 1.00
- ML timing:
- 22.270s elapsed time, 22.617s cpu time, 0.589s GC time, factor 1.02
- ML stack maximum:
- 9 MiB
- ML stack average:
- 9 MiB
- ML heap maximum:
- 1.5 GiB
- ML heap average:
- 1.4 GiB
- Isabelle version:
- 4b7fdf77af07
- AFP version:
- 2f539b3aa0b8




- data:
- CSV
- timing:
- 0:00:24 elapsed time, 0:00:24 cpu time, factor 1.00
- ML timing:
- 23.024s elapsed time, 22.741s cpu time, 1.229s GC time, factor 0.99
- ML stack maximum:
- 5 MiB
- ML stack average:
- 5 MiB
- ML heap maximum:
- 1.5 GiB
- ML heap average:
- 1.3 GiB
- Isabelle version:
- 4b7fdf77af07
- AFP version:
- 2f539b3aa0b8




Random_BSTs
- data:
- CSV
- timing:
- 0:00:23 elapsed time, 0:00:23 cpu time, factor 1.00
- ML timing:
- 8.600s elapsed time, 8.722s cpu time, 0.292s GC time, factor 1.01
- ML stack maximum:
- 3 MiB
- ML stack average:
- 1.6 MiB
- ML heap maximum:
- 1.5 GiB
- ML heap average:
- 534.8 MiB
- ML heap stored:
- 9.6 MiB
- Isabelle version:
- 4b7fdf77af07
- AFP version:
- 2f539b3aa0b8




IMAP-CRDT
- data:
- CSV
- timing:
- 0:00:23 elapsed time, 0:00:23 cpu time, factor 1.00
- ML timing:
- 22.117s elapsed time, 22.229s cpu time, 1.101s GC time, factor 1.01
- ML stack maximum:
- 2 MiB
- ML stack average:
- 1.7 MiB
- ML heap maximum:
- 1.5 GiB
- ML heap average:
- 1.4 GiB
- Isabelle version:
- 4b7fdf77af07
- AFP version:
- 2f539b3aa0b8




Category2
- data:
- CSV
- timing:
- 0:00:23 elapsed time, 0:00:24 cpu time, factor 1.04
- ML timing:
- 21.743s elapsed time, 22.461s cpu time, 0.899s GC time, factor 1.03
- ML stack maximum:
- 3 MiB
- ML stack average:
- 2.6 MiB
- ML heap maximum:
- 1.5 GiB
- ML heap average:
- 1.4 GiB
- Isabelle version:
- 4b7fdf77af07
- AFP version:
- 2f539b3aa0b8




Types_Tableaus_and_Goedels_God
- data:
- CSV
- timing:
- 0:00:23 elapsed time, 0:00:12 cpu time, factor 0.52
- ML timing:
- 22.174s elapsed time, 11.883s cpu time, 0.188s GC time, factor 0.54
- ML stack maximum:
- 2 MiB
- ML stack average:
- 1.8 MiB
- ML heap maximum:
- 1.5 GiB
- ML heap average:
- 1.3 GiB
- Isabelle version:
- 4b7fdf77af07
- AFP version:
- 2f539b3aa0b8




HereditarilyFinite
- data:
- CSV
- timing:
- 0:00:23 elapsed time, 0:00:23 cpu time, factor 1.00
- ML timing:
- 17.949s elapsed time, 18.136s cpu time, 0.406s GC time, factor 1.01
- ML stack maximum:
- 2 MiB
- ML stack average:
- 1.8 MiB
- ML heap maximum:
- 1.5 GiB
- ML heap average:
- 1.1 GiB
- ML heap stored:
- 6.9 MiB
- Isabelle version:
- 4b7fdf77af07
- AFP version:
- 2f539b3aa0b8




Neumann_Morgenstern_Utility
- data:
- CSV
- timing:
- 0:00:23 elapsed time, 0:00:23 cpu time, factor 1.00
- ML timing:
- 21.016s elapsed time, 21.333s cpu time, 0.599s GC time, factor 1.02
- ML stack maximum:
- 3 MiB
- ML stack average:
- 2.6 MiB
- ML heap maximum:
- 1.5 GiB
- ML heap average:
- 1.4 GiB
- Isabelle version:
- 4b7fdf77af07
- AFP version:
- 2f539b3aa0b8




TLA
- data:
- CSV
- timing:
- 0:00:23 elapsed time, 0:00:23 cpu time, factor 1.00
- ML timing:
- 22.424s elapsed time, 22.819s cpu time, 0.384s GC time, factor 1.02
- ML stack maximum:
- 3 MiB
- ML stack average:
- 2.9 MiB
- ML heap maximum:
- 1.5 GiB
- ML heap average:
- 1.4 GiB
- Isabelle version:
- 4b7fdf77af07
- AFP version:
- 2f539b3aa0b8




IMP2_Binary_Heap
- data:
- CSV
- timing:
- 0:00:23 elapsed time, 0:00:22 cpu time, factor 0.96
- ML timing:
- 21.889s elapsed time, 21.899s cpu time, 0.240s GC time, factor 1.00
- ML stack maximum:
- 5 MiB
- ML stack average:
- 4.6 MiB
- ML heap maximum:
- 1.5 GiB
- ML heap average:
- 1.3 GiB
- Isabelle version:
- 4b7fdf77af07
- AFP version:
- 2f539b3aa0b8




FLP
- data:
- CSV
- timing:
- 0:00:23 elapsed time, 0:00:23 cpu time, factor 1.00
- ML timing:
- 21.459s elapsed time, 21.793s cpu time, 0.624s GC time, factor 1.02
- ML stack maximum:
- 5 MiB
- ML stack average:
- 3.3 MiB
- ML heap maximum:
- 1.5 GiB
- ML heap average:
- 1.4 GiB
- Isabelle version:
- 4b7fdf77af07
- AFP version:
- 2f539b3aa0b8




Routing
- data:
- CSV
- timing:
- 0:00:22 elapsed time, 0:00:22 cpu time, factor 1.00
- ML timing:
- 14.876s elapsed time, 14.965s cpu time, 0.310s GC time, factor 1.01
- ML stack maximum:
- 2 MiB
- ML stack average:
- 1.7 MiB
- ML heap maximum:
- 1.5 GiB
- ML heap average:
- 935.5 MiB
- ML heap stored:
- 7.9 MiB
- Isabelle version:
- 4b7fdf77af07
- AFP version:
- 2f539b3aa0b8




Equivalence_Relation_Enumeration
- data:
- CSV
- timing:
- 0:00:22 elapsed time, 0:00:22 cpu time, factor 1.00
- ML timing:
- 20.300s elapsed time, 20.596s cpu time, 0.363s GC time, factor 1.01
- ML stack maximum:
- 2 MiB
- ML stack average:
- 2 MiB
- ML heap maximum:
- 1.5 GiB
- ML heap average:
- 1.4 GiB
- Isabelle version:
- 4b7fdf77af07
- AFP version:
- 2f539b3aa0b8




Euler_Partition
- data:
- CSV
- timing:
- 0:00:22 elapsed time, 0:00:22 cpu time, factor 1.00
- ML timing:
- 20.957s elapsed time, 21.532s cpu time, 0.753s GC time, factor 1.03
- ML stack maximum:
- 9 MiB
- ML stack average:
- 8.8 MiB
- ML heap maximum:
- 1.5 GiB
- ML heap average:
- 1.3 GiB
- Isabelle version:
- 4b7fdf77af07
- AFP version:
- 2f539b3aa0b8




Knuth_Bendix_Order
- data:
- CSV
- timing:
- 0:00:22 elapsed time, 0:00:22 cpu time, factor 1.00
- ML timing:
- 14.025s elapsed time, 14.317s cpu time, 0.348s GC time, factor 1.02
- ML stack maximum:
- 3 MiB
- ML stack average:
- 2.3 MiB
- ML heap maximum:
- 1.5 GiB
- ML heap average:
- 911.5 MiB
- ML heap stored:
- 6 MiB
- Isabelle version:
- 4b7fdf77af07
- AFP version:
- 2f539b3aa0b8




Pi_Irrational
- data:
- CSV
- timing:
- 0:00:22 elapsed time, 0:00:22 cpu time, factor 1.00
- ML timing:
- 20.150s elapsed time, 20.572s cpu time, 0.748s GC time, factor 1.02
- ML stack maximum:
- 3 MiB
- ML stack average:
- 2.5 MiB
- ML heap maximum:
- 1.5 GiB
- ML heap average:
- 1.3 GiB
- Isabelle version:
- 4b7fdf77af07
- AFP version:
- 2f539b3aa0b8




FunWithTilings
- data:
- CSV
- timing:
- 0:00:22 elapsed time, 0:00:21 cpu time, factor 0.95
- ML timing:
- 20.658s elapsed time, 20.696s cpu time, 0.118s GC time, factor 1.00
- ML stack maximum:
- 1.5 MiB
- ML stack average:
- 1.5 MiB
- ML heap maximum:
- 1.5 GiB
- ML heap average:
- 1.3 GiB
- Isabelle version:
- 4b7fdf77af07
- AFP version:
- 2f539b3aa0b8




BNF_Operations
- data:
- CSV
- timing:
- 0:00:22 elapsed time, 0:00:22 cpu time, factor 1.00
- ML timing:
- 20.460s elapsed time, 21.165s cpu time, 2.153s GC time, factor 1.03
- ML code maximum:
- 1.6 MiB
- ML code average:
- 1.3 MiB
- ML stack maximum:
- 9 MiB
- ML stack average:
- 8.1 MiB
- ML heap maximum:
- 1.6 GiB
- ML heap average:
- 1.4 GiB
- Isabelle version:
- 4b7fdf77af07
- AFP version:
- 2f539b3aa0b8




ABY3_Protocols
- data:
- CSV
- timing:
- 0:00:22 elapsed time, 0:00:22 cpu time, factor 1.00
- ML timing:
- 20.261s elapsed time, 20.460s cpu time, 0.465s GC time, factor 1.01
- ML stack maximum:
- 5 MiB
- ML stack average:
- 3.5 MiB
- ML heap maximum:
- 1.5 GiB
- ML heap average:
- 1.3 GiB
- Isabelle version:
- 4b7fdf77af07
- AFP version:
- 2f539b3aa0b8




Skip_Lists
- data:
- CSV
- timing:
- 0:00:22 elapsed time, 0:00:22 cpu time, factor 1.00
- ML timing:
- 20.249s elapsed time, 20.510s cpu time, 0.344s GC time, factor 1.01
- ML stack maximum:
- 3 MiB
- ML stack average:
- 2.7 MiB
- ML heap maximum:
- 1.5 GiB
- ML heap average:
- 1.4 GiB
- Isabelle version:
- 4b7fdf77af07
- AFP version:
- 2f539b3aa0b8




Polylog
- data:
- CSV
- timing:
- 0:00:22 elapsed time, 0:00:22 cpu time, factor 1.00
- ML timing:
- 20.425s elapsed time, 20.522s cpu time, 0.677s GC time, factor 1.00
- ML stack maximum:
- 3 MiB
- ML stack average:
- 2.6 MiB
- ML heap maximum:
- 1.5 GiB
- ML heap average:
- 1.3 GiB
- Isabelle version:
- 4b7fdf77af07
- AFP version:
- 2f539b3aa0b8




Card_Partitions
- data:
- CSV
- timing:
- 0:00:21 elapsed time, 0:00:21 cpu time, factor 1.00
- ML timing:
- 16.212s elapsed time, 16.346s cpu time, 0.275s GC time, factor 1.01
- ML stack maximum:
- 2 MiB
- ML stack average:
- 1.8 MiB
- ML heap maximum:
- 1.5 GiB
- ML heap average:
- 1.1 GiB
- ML heap stored:
- 4.6 MiB
- Isabelle version:
- 4b7fdf77af07
- AFP version:
- 2f539b3aa0b8




Abstract_Completeness
- data:
- CSV
- timing:
- 0:00:21 elapsed time, 0:00:21 cpu time, factor 1.00
- ML timing:
- 11.543s elapsed time, 11.621s cpu time, 0.234s GC time, factor 1.01
- ML stack maximum:
- 2 MiB
- ML stack average:
- 1.6 MiB
- ML heap maximum:
- 1.5 GiB
- ML heap average:
- 776 MiB
- ML heap stored:
- 8.3 MiB
- Isabelle version:
- 4b7fdf77af07
- AFP version:
- 2f539b3aa0b8




Rank_Nullity_Theorem
- data:
- CSV
- timing:
- 0:00:21 elapsed time, 0:00:21 cpu time, factor 1.00
- ML timing:
- 8.826s elapsed time, 9.013s cpu time, 0.357s GC time, factor 1.02
- ML stack maximum:
- 2 MiB
- ML stack average:
- 1.4 MiB
- ML heap maximum:
- 1.5 GiB
- ML heap average:
- 572.9 MiB
- ML heap stored:
- 7.2 MiB
- Isabelle version:
- 4b7fdf77af07
- AFP version:
- 2f539b3aa0b8




Mission_Time_LTL
- data:
- CSV
- timing:
- 0:00:20 elapsed time, 0:00:20 cpu time, factor 1.00
- ML timing:
- 10.303s elapsed time, 10.371s cpu time, 0.326s GC time, factor 1.01
- ML stack maximum:
- 3 MiB
- ML stack average:
- 1.7 MiB
- ML heap maximum:
- 1.5 GiB
- ML heap average:
- 715.1 MiB
- ML heap stored:
- 8.1 MiB
- Isabelle version:
- 4b7fdf77af07
- AFP version:
- 2f539b3aa0b8




Two_Way_DFA_HF
- data:
- CSV
- timing:
- 0:00:20 elapsed time, 0:00:18 cpu time, factor 0.90
- ML timing:
- 19.469s elapsed time, 17.745s cpu time, 0.452s GC time, factor 0.91
- ML stack maximum:
- 5 MiB
- ML stack average:
- 5 MiB
- ML heap maximum:
- 1.5 GiB
- ML heap average:
- 1.3 GiB
- Isabelle version:
- 4b7fdf77af07
- AFP version:
- 2f539b3aa0b8




Combinatorics_Words_Lyndon
- data:
- CSV
- timing:
- 0:00:20 elapsed time, 0:00:20 cpu time, factor 1.00
- ML timing:
- 19.191s elapsed time, 18.860s cpu time, 0.354s GC time, factor 0.98
- ML stack maximum:
- 3 MiB
- ML stack average:
- 2.6 MiB
- ML heap maximum:
- 1.5 GiB
- ML heap average:
- 1.3 GiB
- Isabelle version:
- 4b7fdf77af07
- AFP version:
- 2f539b3aa0b8




Error_Function
- data:
- CSV
- timing:
- 0:00:20 elapsed time, 0:00:20 cpu time, factor 1.00
- ML timing:
- 17.654s elapsed time, 17.979s cpu time, 0.517s GC time, factor 1.02
- ML stack maximum:
- 3 MiB
- ML stack average:
- 2.6 MiB
- ML heap maximum:
- 1.5 GiB
- ML heap average:
- 1.4 GiB
- Isabelle version:
- 4b7fdf77af07
- AFP version:
- 2f539b3aa0b8




Unconstrained_Optimization
- data:
- CSV
- timing:
- 0:00:20 elapsed time, 0:00:20 cpu time, factor 1.00
- ML timing:
- 18.632s elapsed time, 18.211s cpu time, 0.360s GC time, factor 0.98
- ML stack maximum:
- 5 MiB
- ML stack average:
- 3.6 MiB
- ML heap maximum:
- 1.5 GiB
- ML heap average:
- 1.3 GiB
- Isabelle version:
- 4b7fdf77af07
- AFP version:
- 2f539b3aa0b8




GewirthPGCProof
- data:
- CSV
- timing:
- 0:00:20 elapsed time, 0:00:13 cpu time, factor 0.65
- ML timing:
- 18.728s elapsed time, 12.442s cpu time, 0.139s GC time, factor 0.66
- ML stack maximum:
- 2 MiB
- ML stack average:
- 1.7 MiB
- ML heap maximum:
- 1.5 GiB
- ML heap average:
- 1.4 GiB
- Isabelle version:
- 4b7fdf77af07
- AFP version:
- 2f539b3aa0b8




LTL3_Semantics
- data:
- CSV
- timing:
- 0:00:19 elapsed time, 0:00:19 cpu time, factor 1.00
- ML timing:
- 17.916s elapsed time, 17.867s cpu time, 0.715s GC time, factor 1.00
- ML stack maximum:
- 2 MiB
- ML stack average:
- 1.9 MiB
- ML heap maximum:
- 1.5 GiB
- ML heap average:
- 1.3 GiB
- Isabelle version:
- 4b7fdf77af07
- AFP version:
- 2f539b3aa0b8




- data:
- CSV
- timing:
- 0:00:19 elapsed time, 0:00:19 cpu time, factor 1.00
- ML timing:
- 17.463s elapsed time, 17.707s cpu time, 0.244s GC time, factor 1.01
- ML stack maximum:
- 3 MiB
- ML stack average:
- 2.6 MiB
- ML heap maximum:
- 1.5 GiB
- ML heap average:
- 1.4 GiB
- Isabelle version:
- 4b7fdf77af07
- AFP version:
- 2f539b3aa0b8




Randomised_BSTs
- data:
- CSV
- timing:
- 0:00:19 elapsed time, 0:00:19 cpu time, factor 1.00
- ML timing:
- 17.286s elapsed time, 17.439s cpu time, 0.358s GC time, factor 1.01
- ML stack maximum:
- 5 MiB
- ML stack average:
- 4.8 MiB
- ML heap maximum:
- 1.5 GiB
- ML heap average:
- 1.3 GiB
- Isabelle version:
- 4b7fdf77af07
- AFP version:
- 2f539b3aa0b8




FOL_Harrison
- data:
- CSV
- timing:
- 0:00:19 elapsed time, 0:00:19 cpu time, factor 1.00
- ML timing:
- 17.522s elapsed time, 17.615s cpu time, 0.278s GC time, factor 1.01
- ML stack maximum:
- 9 MiB
- ML stack average:
- 9 MiB
- ML heap maximum:
- 1.5 GiB
- ML heap average:
- 1.3 GiB
- Isabelle version:
- 4b7fdf77af07
- AFP version:
- 2f539b3aa0b8




Lowe_Ontological_Argument
- data:
- CSV
- timing:
- 0:00:19 elapsed time, 0:00:08 cpu time, factor 0.42
- ML timing:
- 18.120s elapsed time, 7.554s cpu time, 0.136s GC time, factor 0.42
- ML stack maximum:
- 2 MiB
- ML stack average:
- 2 MiB
- ML heap maximum:
- 1.5 GiB
- ML heap average:
- 1.3 GiB
- Isabelle version:
- 4b7fdf77af07
- AFP version:
- 2f539b3aa0b8




Recursion-Theory-I
- data:
- CSV
- timing:
- 0:00:19 elapsed time, 0:00:20 cpu time, factor 1.05
- ML timing:
- 18.160s elapsed time, 18.940s cpu time, 0.639s GC time, factor 1.04
- ML stack maximum:
- 5 MiB
- ML stack average:
- 3.3 MiB
- ML heap maximum:
- 1.5 GiB
- ML heap average:
- 1.4 GiB
- Isabelle version:
- 4b7fdf77af07
- AFP version:
- 2f539b3aa0b8




Finger-Trees
- data:
- CSV
- timing:
- 0:00:19 elapsed time, 0:00:19 cpu time, factor 1.00
- ML timing:
- 17.922s elapsed time, 18.144s cpu time, 1.691s GC time, factor 1.01
- ML stack maximum:
- 5 MiB
- ML stack average:
- 5 MiB
- ML heap maximum:
- 1.5 GiB
- ML heap average:
- 1.3 GiB
- Isabelle version:
- 4b7fdf77af07
- AFP version:
- 2f539b3aa0b8




Sqrt_Babylonian
- data:
- CSV
- timing:
- 0:00:19 elapsed time, 0:00:19 cpu time, factor 1.00
- ML timing:
- 14.179s elapsed time, 14.382s cpu time, 0.255s GC time, factor 1.01
- ML stack maximum:
- 3 MiB
- ML stack average:
- 2.5 MiB
- ML heap maximum:
- 1.5 GiB
- ML heap average:
- 1 GiB
- ML heap stored:
- 3.8 MiB
- Isabelle version:
- 4b7fdf77af07
- AFP version:
- 2f539b3aa0b8




Jordan_Hoelder
- data:
- CSV
- timing:
- 0:00:19 elapsed time, 0:00:19 cpu time, factor 1.00
- ML timing:
- 18.109s elapsed time, 18.519s cpu time, 0.744s GC time, factor 1.02
- ML stack maximum:
- 3 MiB
- ML stack average:
- 2.6 MiB
- ML heap maximum:
- 1.5 GiB
- ML heap average:
- 1.4 GiB
- Isabelle version:
- 4b7fdf77af07
- AFP version:
- 2f539b3aa0b8




Ordinal
- data:
- CSV
- timing:
- 0:00:18 elapsed time, 0:00:18 cpu time, factor 1.00
- ML timing:
- 12.885s elapsed time, 12.632s cpu time, 0.280s GC time, factor 0.98
- ML stack maximum:
- 1.5 MiB
- ML stack average:
- 1.4 MiB
- ML heap maximum:
- 1.5 GiB
- ML heap average:
- 961.1 MiB
- ML heap stored:
- 5.8 MiB
- Isabelle version:
- 4b7fdf77af07
- AFP version:
- 2f539b3aa0b8




FOL_Seq_Calc3
- data:
- CSV
- timing:
- 0:00:18 elapsed time, 0:00:18 cpu time, factor 1.00
- ML timing:
- 16.891s elapsed time, 17.063s cpu time, 0.433s GC time, factor 1.01
- ML stack maximum:
- 2 MiB
- ML stack average:
- 1.9 MiB
- ML heap maximum:
- 1.5 GiB
- ML heap average:
- 1.3 GiB
- Isabelle version:
- 4b7fdf77af07
- AFP version:
- 2f539b3aa0b8




Strong_Security
- data:
- CSV
- timing:
- 0:00:18 elapsed time, 0:00:18 cpu time, factor 1.00
- ML timing:
- 17.009s elapsed time, 17.157s cpu time, 0.539s GC time, factor 1.01
- ML stack maximum:
- 2 MiB
- ML stack average:
- 1.7 MiB
- ML heap maximum:
- 1.5 GiB
- ML heap average:
- 1.3 GiB
- Isabelle version:
- 4b7fdf77af07
- AFP version:
- 2f539b3aa0b8




CondNormReasHOL
- data:
- CSV
- timing:
- 0:00:18 elapsed time, 0:00:08 cpu time, factor 0.44
- ML timing:
- 16.853s elapsed time, 6.978s cpu time, 0.072s GC time, factor 0.41
- ML stack maximum:
- 2 MiB
- ML stack average:
- 2 MiB
- ML heap maximum:
- 1.5 GiB
- ML heap average:
- 1.2 GiB
- Isabelle version:
- 4b7fdf77af07
- AFP version:
- 2f539b3aa0b8




Inductive_Confidentiality
- data:
- CSV
- timing:
- 0:00:18 elapsed time, 0:00:18 cpu time, factor 1.00
- ML timing:
- 17.502s elapsed time, 17.791s cpu time, 0.551s GC time, factor 1.02
- ML stack maximum:
- 2 MiB
- ML stack average:
- 2 MiB
- ML heap maximum:
- 1.5 GiB
- ML heap average:
- 1.3 GiB
- Isabelle version:
- 4b7fdf77af07
- AFP version:
- 2f539b3aa0b8




Ribbon_Proofs
- data:
- CSV
- timing:
- 0:00:18 elapsed time, 0:00:18 cpu time, factor 1.00
- ML timing:
- 16.387s elapsed time, 16.546s cpu time, 0.635s GC time, factor 1.01
- ML stack maximum:
- 3 MiB
- ML stack average:
- 2.3 MiB
- ML heap maximum:
- 1.5 GiB
- ML heap average:
- 1.3 GiB
- Isabelle version:
- 4b7fdf77af07
- AFP version:
- 2f539b3aa0b8




Card_Multisets
- data:
- CSV
- timing:
- 0:00:17 elapsed time, 0:00:17 cpu time, factor 1.00
- ML timing:
- 16.266s elapsed time, 16.675s cpu time, 0.597s GC time, factor 1.03
- ML stack maximum:
- 9 MiB
- ML stack average:
- 8.8 MiB
- ML heap maximum:
- 1.5 GiB
- ML heap average:
- 1.3 GiB
- Isabelle version:
- 4b7fdf77af07
- AFP version:
- 2f539b3aa0b8




Digit_Expansions
- data:
- CSV
- timing:
- 0:00:17 elapsed time, 0:00:17 cpu time, factor 1.00
- ML timing:
- 16.173s elapsed time, 16.088s cpu time, 0.259s GC time, factor 0.99
- ML stack maximum:
- 2 MiB
- ML stack average:
- 2 MiB
- ML heap maximum:
- 1.5 GiB
- ML heap average:
- 1.4 GiB
- Isabelle version:
- 4b7fdf77af07
- AFP version:
- 2f539b3aa0b8




Transitive-Closure-II
- data:
- CSV
- timing:
- 0:00:17 elapsed time, 0:00:17 cpu time, factor 1.00
- ML timing:
- 15.833s elapsed time, 15.767s cpu time, 0.505s GC time, factor 1.00
- ML stack maximum:
- 3 MiB
- ML stack average:
- 2.3 MiB
- ML heap maximum:
- 1.5 GiB
- ML heap average:
- 1.3 GiB
- Isabelle version:
- 4b7fdf77af07
- AFP version:
- 2f539b3aa0b8




- data:
- CSV
- timing:
- 0:00:17 elapsed time, 0:00:17 cpu time, factor 1.00
- ML timing:
- 15.792s elapsed time, 15.860s cpu time, 0.466s GC time, factor 1.00
- ML stack maximum:
- 2 MiB
- ML stack average:
- 1.7 MiB
- ML heap maximum:
- 1.5 GiB
- ML heap average:
- 1.4 GiB
- Isabelle version:
- 4b7fdf77af07
- AFP version:
- 2f539b3aa0b8




Noninterference_Ipurge_Unwinding
- data:
- CSV
- timing:
- 0:00:17 elapsed time, 0:00:15 cpu time, factor 0.88
- ML timing:
- 10.793s elapsed time, 9.310s cpu time, 0.354s GC time, factor 0.86
- ML stack maximum:
- 5 MiB
- ML stack average:
- 3.3 MiB
- ML heap maximum:
- 1.5 GiB
- ML heap average:
- 906.8 MiB
- ML heap stored:
- 3.7 MiB
- Isabelle version:
- 4b7fdf77af07
- AFP version:
- 2f539b3aa0b8




Separata
- data:
- CSV
- timing:
- 0:00:17 elapsed time, 0:00:17 cpu time, factor 1.00
- ML timing:
- 16.181s elapsed time, 16.316s cpu time, 0.335s GC time, factor 1.01
- ML stack maximum:
- 3 MiB
- ML stack average:
- 2.7 MiB
- ML heap maximum:
- 1.5 GiB
- ML heap average:
- 1.3 GiB
- Isabelle version:
- 4b7fdf77af07
- AFP version:
- 2f539b3aa0b8




Boolean_Expression_Checkers
- data:
- CSV
- timing:
- 0:00:17 elapsed time, 0:00:17 cpu time, factor 1.00
- ML timing:
- 16.017s elapsed time, 16.078s cpu time, 0.754s GC time, factor 1.00
- ML stack maximum:
- 1.5 MiB
- ML stack average:
- 1.5 MiB
- ML heap maximum:
- 1.5 GiB
- ML heap average:
- 1.3 GiB
- Isabelle version:
- 4b7fdf77af07
- AFP version:
- 2f539b3aa0b8




Combinable_Wands
- data:
- CSV
- timing:
- 0:00:17 elapsed time, 0:00:17 cpu time, factor 1.00
- ML timing:
- 16.176s elapsed time, 16.391s cpu time, 0.416s GC time, factor 1.01
- ML stack maximum:
- 3 MiB
- ML stack average:
- 2.3 MiB
- ML heap maximum:
- 1.5 GiB
- ML heap average:
- 1.4 GiB
- Isabelle version:
- 4b7fdf77af07
- AFP version:
- 2f539b3aa0b8




BurrowsWheeler
- data:
- CSV
- timing:
- 0:00:17 elapsed time, 0:00:17 cpu time, factor 1.00
- ML timing:
- 15.364s elapsed time, 15.677s cpu time, 0.403s GC time, factor 1.02
- ML stack maximum:
- 2 MiB
- ML stack average:
- 1.7 MiB
- ML heap maximum:
- 1.5 GiB
- ML heap average:
- 1.4 GiB
- Isabelle version:
- 4b7fdf77af07
- AFP version:
- 2f539b3aa0b8




Countable_Sums_and_Discrete_Distributions
- data:
- CSV
- timing:
- 0:00:17 elapsed time, 0:00:17 cpu time, factor 1.00
- ML timing:
- 16.175s elapsed time, 16.231s cpu time, 0.310s GC time, factor 1.00
- ML stack maximum:
- 3 MiB
- ML stack average:
- 3 MiB
- ML heap maximum:
- 1.5 GiB
- ML heap average:
- 1.4 GiB
- Isabelle version:
- 4b7fdf77af07
- AFP version:
- 2f539b3aa0b8




PropResPI
- data:
- CSV
- timing:
- 0:00:17 elapsed time, 0:00:17 cpu time, factor 1.00
- ML timing:
- 16.288s elapsed time, 16.660s cpu time, 1.104s GC time, factor 1.02
- ML stack maximum:
- 5 MiB
- ML stack average:
- 5 MiB
- ML heap maximum:
- 1.6 GiB
- ML heap average:
- 1.3 GiB
- Isabelle version:
- 4b7fdf77af07
- AFP version:
- 2f539b3aa0b8




Trie
- data:
- CSV
- timing:
- 0:00:16 elapsed time, 0:00:16 cpu time, factor 1.00
- ML timing:
- 15.225s elapsed time, 15.355s cpu time, 0.466s GC time, factor 1.01
- ML stack maximum:
- 2 MiB
- ML stack average:
- 2 MiB
- ML heap maximum:
- 1.5 GiB
- ML heap average:
- 1.3 GiB
- Isabelle version:
- 4b7fdf77af07
- AFP version:
- 2f539b3aa0b8




Abstract_Soundness
- data:
- CSV
- timing:
- 0:00:16 elapsed time, 0:00:16 cpu time, factor 1.00
- ML timing:
- 14.841s elapsed time, 14.919s cpu time, 0.435s GC time, factor 1.01
- ML stack maximum:
- 2 MiB
- ML stack average:
- 2 MiB
- ML heap maximum:
- 1.5 GiB
- ML heap average:
- 1.3 GiB
- Isabelle version:
- 4b7fdf77af07
- AFP version:
- 2f539b3aa0b8




Noninterference_Generic_Unwinding
- data:
- CSV
- timing:
- 0:00:16 elapsed time, 0:00:15 cpu time, factor 0.94
- ML timing:
- 14.741s elapsed time, 14.800s cpu time, 0.128s GC time, factor 1.00
- ML stack maximum:
- 3 MiB
- ML stack average:
- 3 MiB
- ML heap maximum:
- 1.5 GiB
- ML heap average:
- 1.3 GiB
- Isabelle version:
- 4b7fdf77af07
- AFP version:
- 2f539b3aa0b8




HyperCTL
- data:
- CSV
- timing:
- 0:00:16 elapsed time, 0:00:16 cpu time, factor 1.00
- ML timing:
- 14.614s elapsed time, 14.806s cpu time, 0.568s GC time, factor 1.01
- ML stack maximum:
- 3 MiB
- ML stack average:
- 2.4 MiB
- ML heap maximum:
- 1.5 GiB
- ML heap average:
- 1.3 GiB
- Isabelle version:
- 4b7fdf77af07
- AFP version:
- 2f539b3aa0b8




Random_Graph_Subgraph_Threshold
- data:
- CSV
- timing:
- 0:00:16 elapsed time, 0:00:16 cpu time, factor 1.00
- ML timing:
- 14.171s elapsed time, 14.393s cpu time, 0.319s GC time, factor 1.02
- ML stack maximum:
- 3 MiB
- ML stack average:
- 2.3 MiB
- ML heap maximum:
- 1.5 GiB
- ML heap average:
- 1.4 GiB
- Isabelle version:
- 4b7fdf77af07
- AFP version:
- 2f539b3aa0b8




Noninterference_Concurrent_Composition
- data:
- CSV
- timing:
- 0:00:16 elapsed time, 0:00:16 cpu time, factor 1.00
- ML timing:
- 15.416s elapsed time, 15.654s cpu time, 0.317s GC time, factor 1.02
- ML stack maximum:
- 9 MiB
- ML stack average:
- 9 MiB
- ML heap maximum:
- 1.5 GiB
- ML heap average:
- 1.4 GiB
- Isabelle version:
- 4b7fdf77af07
- AFP version:
- 2f539b3aa0b8




Stone_Cech
- data:
- CSV
- timing:
- 0:00:15 elapsed time, 0:00:15 cpu time, factor 1.00
- ML timing:
- 12.949s elapsed time, 13.059s cpu time, 0.285s GC time, factor 1.01
- ML stack maximum:
- 5 MiB
- ML stack average:
- 5 MiB
- ML heap maximum:
- 1.5 GiB
- ML heap average:
- 1.4 GiB
- Isabelle version:
- 4b7fdf77af07
- AFP version:
- 2f539b3aa0b8




First_Welfare_Theorem
- data:
- CSV
- timing:
- 0:00:15 elapsed time, 0:00:16 cpu time, factor 1.07
- ML timing:
- 13.841s elapsed time, 14.061s cpu time, 0.390s GC time, factor 1.02
- ML stack maximum:
- 2 MiB
- ML stack average:
- 2 MiB
- ML heap maximum:
- 1.5 GiB
- ML heap average:
- 1.3 GiB
- Isabelle version:
- 4b7fdf77af07
- AFP version:
- 2f539b3aa0b8




Delta_System_Lemma
- data:
- CSV
- timing:
- 0:00:15 elapsed time, 0:00:15 cpu time, factor 1.00
- ML timing:
- 13.667s elapsed time, 13.965s cpu time, 0.198s GC time, factor 1.02
- ML stack maximum:
- 3 MiB
- ML stack average:
- 2.7 MiB
- ML heap maximum:
- 1.5 GiB
- ML heap average:
- 1.3 GiB
- ML heap stored:
- 1.6 MiB
- Isabelle version:
- 4b7fdf77af07
- AFP version:
- 2f539b3aa0b8




StrictOmegaCategories
- data:
- CSV
- timing:
- 0:00:15 elapsed time, 0:00:15 cpu time, factor 1.00
- ML timing:
- 14.364s elapsed time, 14.410s cpu time, 0.393s GC time, factor 1.00
- ML stack maximum:
- 2 MiB
- ML stack average:
- 2 MiB
- ML heap maximum:
- 1.5 GiB
- ML heap average:
- 1.3 GiB
- Isabelle version:
- 4b7fdf77af07
- AFP version:
- 2f539b3aa0b8




Quaternions
- data:
- CSV
- timing:
- 0:00:15 elapsed time, 0:00:15 cpu time, factor 1.00
- ML timing:
- 13.455s elapsed time, 13.525s cpu time, 0.182s GC time, factor 1.01
- ML stack maximum:
- 2 MiB
- ML stack average:
- 2 MiB
- ML heap maximum:
- 1.5 GiB
- ML heap average:
- 1.3 GiB
- Isabelle version:
- 4b7fdf77af07
- AFP version:
- 2f539b3aa0b8




Bell_Numbers_Spivey
- data:
- CSV
- timing:
- 0:00:15 elapsed time, 0:00:15 cpu time, factor 1.00
- ML timing:
- 10.821s elapsed time, 10.915s cpu time, 0.194s GC time, factor 1.01
- ML stack maximum:
- 2 MiB
- ML stack average:
- 1.7 MiB
- ML heap maximum:
- 1.5 GiB
- ML heap average:
- 988.3 MiB
- ML heap stored:
- 2.7 MiB
- Isabelle version:
- 4b7fdf77af07
- AFP version:
- 2f539b3aa0b8




Elementary_Ultrametric_Spaces
- data:
- CSV
- timing:
- 0:00:15 elapsed time, 0:00:15 cpu time, factor 1.00
- ML timing:
- 2.786s elapsed time, 2.832s cpu time, 0.042s GC time, factor 1.02
- ML stack maximum:
- 2 MiB
- ML stack average:
- 1.1 MiB
- ML heap maximum:
- 1.2 GiB
- ML heap average:
- 176.8 MiB
- ML heap stored:
- 3.3 MiB
- Isabelle version:
- 4b7fdf77af07
- AFP version:
- 2f539b3aa0b8




FeatherweightJava
- data:
- CSV
- timing:
- 0:00:15 elapsed time, 0:00:15 cpu time, factor 1.00
- ML timing:
- 14.125s elapsed time, 14.353s cpu time, 0.377s GC time, factor 1.02
- ML stack maximum:
- 3 MiB
- ML stack average:
- 2.4 MiB
- ML heap maximum:
- 1.5 GiB
- ML heap average:
- 1.3 GiB
- Isabelle version:
- 4b7fdf77af07
- AFP version:
- 2f539b3aa0b8




JiveDataStoreModel
- data:
- CSV
- timing:
- 0:00:15 elapsed time, 0:00:15 cpu time, factor 1.00
- ML timing:
- 14.032s elapsed time, 14.252s cpu time, 0.396s GC time, factor 1.02
- ML stack maximum:
- 2 MiB
- ML stack average:
- 1.6 MiB
- ML heap maximum:
- 1.5 GiB
- ML heap average:
- 1.3 GiB
- Isabelle version:
- 4b7fdf77af07
- AFP version:
- 2f539b3aa0b8




Landau_Symbols
- data:
- CSV
- timing:
- 0:00:15 elapsed time, 0:00:15 cpu time, factor 1.00
- ML timing:
- 13.194s elapsed time, 13.445s cpu time, 0.426s GC time, factor 1.02
- ML stack maximum:
- 3 MiB
- ML stack average:
- 2.6 MiB
- ML heap maximum:
- 1.5 GiB
- ML heap average:
- 1.3 GiB
- Isabelle version:
- 4b7fdf77af07
- AFP version:
- 2f539b3aa0b8




Eudoxus_Reals
- data:
- CSV
- timing:
- 0:00:15 elapsed time, 0:00:15 cpu time, factor 1.00
- ML timing:
- 14.501s elapsed time, 14.728s cpu time, 0.312s GC time, factor 1.02
- ML stack maximum:
- 3 MiB
- ML stack average:
- 2.7 MiB
- ML heap maximum:
- 1.5 GiB
- ML heap average:
- 1.3 GiB
- Isabelle version:
- 4b7fdf77af07
- AFP version:
- 2f539b3aa0b8




Abstract-Hoare-Logics
- data:
- CSV
- timing:
- 0:00:15 elapsed time, 0:00:15 cpu time, factor 1.00
- ML timing:
- 13.784s elapsed time, 14.033s cpu time, 0.617s GC time, factor 1.02
- ML stack maximum:
- 2 MiB
- ML stack average:
- 1.8 MiB
- ML heap maximum:
- 1.5 GiB
- ML heap average:
- 1.3 GiB
- Isabelle version:
- 4b7fdf77af07
- AFP version:
- 2f539b3aa0b8




Serializable
- data:
- CSV
- timing:
- 0:00:15 elapsed time, 0:00:15 cpu time, factor 1.00
- ML timing:
- 14.056s elapsed time, 14.122s cpu time, 0.195s GC time, factor 1.00
- ML stack maximum:
- 2 MiB
- ML stack average:
- 2 MiB
- ML heap maximum:
- 1.5 GiB
- ML heap average:
- 1.3 GiB
- Isabelle version:
- 4b7fdf77af07
- AFP version:
- 2f539b3aa0b8




Belief_Revision
- data:
- CSV
- timing:
- 0:00:15 elapsed time, 0:00:15 cpu time, factor 1.00
- ML timing:
- 14.659s elapsed time, 14.800s cpu time, 0.392s GC time, factor 1.01
- ML stack maximum:
- 2 MiB
- ML stack average:
- 2 MiB
- ML heap maximum:
- 1.5 GiB
- ML heap average:
- 1.4 GiB
- Isabelle version:
- 4b7fdf77af07
- AFP version:
- 2f539b3aa0b8




FOL_Axiomatic
- data:
- CSV
- timing:
- 0:00:14 elapsed time, 0:00:14 cpu time, factor 1.00
- ML timing:
- 13.221s elapsed time, 13.516s cpu time, 0.584s GC time, factor 1.02
- ML stack maximum:
- 2 MiB
- ML stack average:
- 1.9 MiB
- ML heap maximum:
- 1.5 GiB
- ML heap average:
- 1.3 GiB
- Isabelle version:
- 4b7fdf77af07
- AFP version:
- 2f539b3aa0b8




WorkerWrapper
- data:
- CSV
- timing:
- 0:00:14 elapsed time, 0:00:13 cpu time, factor 0.93
- ML timing:
- 12.606s elapsed time, 12.409s cpu time, 0.377s GC time, factor 0.98
- ML stack maximum:
- 1.5 MiB
- ML stack average:
- 1.5 MiB
- ML heap maximum:
- 1.5 GiB
- ML heap average:
- 1.3 GiB
- Isabelle version:
- 4b7fdf77af07
- AFP version:
- 2f539b3aa0b8




Restriction_Spaces-HOLCF
- data:
- CSV
- timing:
- 0:00:14 elapsed time, 0:00:14 cpu time, factor 1.00
- ML timing:
- 13.384s elapsed time, 13.704s cpu time, 0.525s GC time, factor 1.02
- ML stack maximum:
- 5 MiB
- ML stack average:
- 4.9 MiB
- ML heap maximum:
- 1.5 GiB
- ML heap average:
- 1.3 GiB
- Isabelle version:
- 4b7fdf77af07
- AFP version:
- 2f539b3aa0b8




Van_der_Waerden
- data:
- CSV
- timing:
- 0:00:14 elapsed time, 0:00:14 cpu time, factor 1.00
- ML timing:
- 13.111s elapsed time, 13.112s cpu time, 0.218s GC time, factor 1.00
- ML stack maximum:
- 3 MiB
- ML stack average:
- 2.5 MiB
- ML heap maximum:
- 1.5 GiB
- ML heap average:
- 1.3 GiB
- Isabelle version:
- 4b7fdf77af07
- AFP version:
- 2f539b3aa0b8




Dilworth
- data:
- CSV
- timing:
- 0:00:14 elapsed time, 0:00:11 cpu time, factor 0.79
- ML timing:
- 13.447s elapsed time, 10.629s cpu time, 0.239s GC time, factor 0.79
- ML stack maximum:
- 5 MiB
- ML stack average:
- 5 MiB
- ML heap maximum:
- 1.5 GiB
- ML heap average:
- 1.3 GiB
- Isabelle version:
- 4b7fdf77af07
- AFP version:
- 2f539b3aa0b8




Doob_Convergence
- data:
- CSV
- timing:
- 0:00:14 elapsed time, 0:00:14 cpu time, factor 1.00
- ML timing:
- 12.530s elapsed time, 12.709s cpu time, 0.213s GC time, factor 1.01
- ML stack maximum:
- 3 MiB
- ML stack average:
- 2.5 MiB
- ML heap maximum:
- 1.5 GiB
- ML heap average:
- 1.3 GiB
- Isabelle version:
- 4b7fdf77af07
- AFP version:
- 2f539b3aa0b8




MuchAdoAboutTwo
- data:
- CSV
- timing:
- 0:00:14 elapsed time, 0:00:15 cpu time, factor 1.07
- ML timing:
- 13.295s elapsed time, 13.673s cpu time, 0.448s GC time, factor 1.03
- ML stack maximum:
- 5 MiB
- ML stack average:
- 4.9 MiB
- ML heap maximum:
- 1.5 GiB
- ML heap average:
- 1.3 GiB
- Isabelle version:
- 4b7fdf77af07
- AFP version:
- 2f539b3aa0b8




Sum_Of_Squares_Count
- data:
- CSV
- timing:
- 0:00:14 elapsed time, 0:00:14 cpu time, factor 1.00
- ML timing:
- 13.386s elapsed time, 13.657s cpu time, 0.267s GC time, factor 1.02
- ML stack maximum:
- 3 MiB
- ML stack average:
- 2.6 MiB
- ML heap maximum:
- 1.5 GiB
- ML heap average:
- 1.3 GiB
- Isabelle version:
- 4b7fdf77af07
- AFP version:
- 2f539b3aa0b8




Impossible_Geometry
- data:
- CSV
- timing:
- 0:00:13 elapsed time, 0:00:10 cpu time, factor 0.77
- ML timing:
- 11.554s elapsed time, 9.452s cpu time, 0.171s GC time, factor 0.82
- ML stack maximum:
- 5 MiB
- ML stack average:
- 3.9 MiB
- ML heap maximum:
- 1.5 GiB
- ML heap average:
- 1.3 GiB
- Isabelle version:
- 4b7fdf77af07
- AFP version:
- 2f539b3aa0b8




Case_Labeling
- data:
- CSV
- timing:
- 0:00:13 elapsed time, 0:00:12 cpu time, factor 0.92
- ML timing:
- 11.594s elapsed time, 11.696s cpu time, 0.236s GC time, factor 1.01
- ML stack maximum:
- 2 MiB
- ML stack average:
- 2 MiB
- ML heap maximum:
- 1.5 GiB
- ML heap average:
- 1.3 GiB
- Isabelle version:
- 4b7fdf77af07
- AFP version:
- 2f539b3aa0b8




MiniML
- data:
- CSV
- timing:
- 0:00:13 elapsed time, 0:00:12 cpu time, factor 0.92
- ML timing:
- 11.853s elapsed time, 11.772s cpu time, 0.281s GC time, factor 0.99
- ML stack maximum:
- 2 MiB
- ML stack average:
- 2 MiB
- ML heap maximum:
- 1.5 GiB
- ML heap average:
- 1.2 GiB
- Isabelle version:
- 4b7fdf77af07
- AFP version:
- 2f539b3aa0b8




Nullstellensatz
- data:
- CSV
- timing:
- 0:00:13 elapsed time, 0:00:13 cpu time, factor 1.00
- ML timing:
- 11.280s elapsed time, 11.610s cpu time, 0.457s GC time, factor 1.03
- ML stack maximum:
- 3 MiB
- ML stack average:
- 2.7 MiB
- ML heap maximum:
- 1.5 GiB
- ML heap average:
- 1.2 GiB
- Isabelle version:
- 4b7fdf77af07
- AFP version:
- 2f539b3aa0b8




Parallel_Shear_Sort
- data:
- CSV
- timing:
- 0:00:13 elapsed time, 0:00:13 cpu time, factor 1.00
- ML timing:
- 11.237s elapsed time, 11.376s cpu time, 0.234s GC time, factor 1.01
- ML stack maximum:
- 3 MiB
- ML stack average:
- 3 MiB
- ML heap maximum:
- 1.5 GiB
- ML heap average:
- 1.3 GiB
- Isabelle version:
- 4b7fdf77af07
- AFP version:
- 2f539b3aa0b8




Selection_Heap_Sort
- data:
- CSV
- timing:
- 0:00:13 elapsed time, 0:00:12 cpu time, factor 0.92
- ML timing:
- 11.298s elapsed time, 11.484s cpu time, 0.377s GC time, factor 1.02
- ML stack maximum:
- 3 MiB
- ML stack average:
- 2.4 MiB
- ML heap maximum:
- 1.5 GiB
- ML heap average:
- 1.2 GiB
- Isabelle version:
- 4b7fdf77af07
- AFP version:
- 2f539b3aa0b8




Restriction_Spaces
- data:
- CSV
- timing:
- 0:00:13 elapsed time, 0:00:13 cpu time, factor 1.00
- ML timing:
- 11.772s elapsed time, 12.041s cpu time, 0.439s GC time, factor 1.02
- ML stack maximum:
- 5 MiB
- ML stack average:
- 4.7 MiB
- ML heap maximum:
- 1.5 GiB
- ML heap average:
- 1.3 GiB
- Isabelle version:
- 4b7fdf77af07
- AFP version:
- 2f539b3aa0b8




Huffman
- data:
- CSV
- timing:
- 0:00:13 elapsed time, 0:00:13 cpu time, factor 1.00
- ML timing:
- 12.522s elapsed time, 12.647s cpu time, 0.220s GC time, factor 1.01
- ML stack maximum:
- 5 MiB
- ML stack average:
- 5 MiB
- ML heap maximum:
- 1.5 GiB
- ML heap average:
- 1.2 GiB
- Isabelle version:
- 4b7fdf77af07
- AFP version:
- 2f539b3aa0b8




Lower_Semicontinuous
- data:
- CSV
- timing:
- 0:00:13 elapsed time, 0:00:13 cpu time, factor 1.00
- ML timing:
- 11.852s elapsed time, 12.083s cpu time, 0.209s GC time, factor 1.02
- ML stack maximum:
- 5 MiB
- ML stack average:
- 5 MiB
- ML heap maximum:
- 1.5 GiB
- ML heap average:
- 1.3 GiB
- Isabelle version:
- 4b7fdf77af07
- AFP version:
- 2f539b3aa0b8




- data:
- CSV
- timing:
- 0:00:13 elapsed time, 0:00:13 cpu time, factor 1.00
- ML timing:
- 11.513s elapsed time, 11.739s cpu time, 0.340s GC time, factor 1.02
- ML stack maximum:
- 5 MiB
- ML stack average:
- 4.5 MiB
- ML heap maximum:
- 1.5 GiB
- ML heap average:
- 1.3 GiB
- Isabelle version:
- 4b7fdf77af07
- AFP version:
- 2f539b3aa0b8




Noninterference_Inductive_Unwinding
- data:
- CSV
- timing:
- 0:00:13 elapsed time, 0:00:13 cpu time, factor 1.00
- ML timing:
- 11.826s elapsed time, 12.237s cpu time, 0.507s GC time, factor 1.03
- ML stack maximum:
- 5 MiB
- ML stack average:
- 4.3 MiB
- ML heap maximum:
- 1.5 GiB
- ML heap average:
- 1.3 GiB
- Isabelle version:
- 4b7fdf77af07
- AFP version:
- 2f539b3aa0b8




Epistemic_Logic
- data:
- CSV
- timing:
- 0:00:13 elapsed time, 0:00:13 cpu time, factor 1.00
- ML timing:
- 7.698s elapsed time, 7.847s cpu time, 0.225s GC time, factor 1.02
- ML stack maximum:
- 3 MiB
- ML stack average:
- 2.2 MiB
- ML heap maximum:
- 1.5 GiB
- ML heap average:
- 817.2 MiB
- ML heap stored:
- 6.2 MiB
- Isabelle version:
- 4b7fdf77af07
- AFP version:
- 2f539b3aa0b8




Noninterference_CSP
- data:
- CSV
- timing:
- 0:00:13 elapsed time, 0:00:13 cpu time, factor 1.00
- ML timing:
- 7.246s elapsed time, 7.481s cpu time, 0.250s GC time, factor 1.03
- ML stack maximum:
- 5 MiB
- ML stack average:
- 3.1 MiB
- ML heap maximum:
- 1.5 GiB
- ML heap average:
- 746 MiB
- ML heap stored:
- 5.2 MiB
- Isabelle version:
- 4b7fdf77af07
- AFP version:
- 2f539b3aa0b8




FOL_Seq_Calc1
- data:
- CSV
- timing:
- 0:00:13 elapsed time, 0:00:11 cpu time, factor 0.85
- ML timing:
- 11.401s elapsed time, 10.022s cpu time, 0.173s GC time, factor 0.88
- ML stack maximum:
- 2 MiB
- ML stack average:
- 2 MiB
- ML heap maximum:
- 1.5 GiB
- ML heap average:
- 1.3 GiB
- Isabelle version:
- 4b7fdf77af07
- AFP version:
- 2f539b3aa0b8




Birkhoff_Finite_Distributive_Lattices
- data:
- CSV
- timing:
- 0:00:13 elapsed time, 0:00:13 cpu time, factor 1.00
- ML timing:
- 12.487s elapsed time, 12.615s cpu time, 1.202s GC time, factor 1.01
- ML stack maximum:
- 2 MiB
- ML stack average:
- 1.9 MiB
- ML heap maximum:
- 1.5 GiB
- ML heap average:
- 1.1 GiB
- Isabelle version:
- 4b7fdf77af07
- AFP version:
- 2f539b3aa0b8




Attack_Trees
- data:
- CSV
- timing:
- 0:00:12 elapsed time, 0:00:12 cpu time, factor 1.00
- ML timing:
- 11.171s elapsed time, 11.288s cpu time, 0.318s GC time, factor 1.01
- ML stack maximum:
- 3 MiB
- ML stack average:
- 2.9 MiB
- ML heap maximum:
- 1.5 GiB
- ML heap average:
- 1.3 GiB
- Isabelle version:
- 4b7fdf77af07
- AFP version:
- 2f539b3aa0b8




Comparison_Sort_Lower_Bound
- data:
- CSV
- timing:
- 0:00:12 elapsed time, 0:00:12 cpu time, factor 1.00
- ML timing:
- 10.563s elapsed time, 10.761s cpu time, 0.329s GC time, factor 1.02
- ML stack maximum:
- 2 MiB
- ML stack average:
- 2 MiB
- ML heap maximum:
- 1.5 GiB
- ML heap average:
- 1.2 GiB
- Isabelle version:
- 4b7fdf77af07
- AFP version:
- 2f539b3aa0b8




Szpilrajn
- data:
- CSV
- timing:
- 0:00:12 elapsed time, 0:00:11 cpu time, factor 0.92
- ML timing:
- 11.332s elapsed time, 10.910s cpu time, 0.215s GC time, factor 0.96
- ML stack maximum:
- 3 MiB
- ML stack average:
- 2.9 MiB
- ML heap maximum:
- 1.5 GiB
- ML heap average:
- 1.3 GiB
- Isabelle version:
- 4b7fdf77af07
- AFP version:
- 2f539b3aa0b8




- data:
- CSV
- timing:
- 0:00:12 elapsed time, 0:00:12 cpu time, factor 1.00
- ML timing:
- 9.791s elapsed time, 9.925s cpu time, 0.237s GC time, factor 1.01
- ML stack maximum:
- 3 MiB
- ML stack average:
- 2.5 MiB
- ML heap maximum:
- 1.5 GiB
- ML heap average:
- 1.3 GiB
- Isabelle version:
- 4b7fdf77af07
- AFP version:
- 2f539b3aa0b8




Shallow_Expressions
- data:
- CSV
- timing:
- 0:00:12 elapsed time, 0:00:12 cpu time, factor 1.00
- ML timing:
- 11.558s elapsed time, 11.713s cpu time, 0.263s GC time, factor 1.01
- ML stack maximum:
- 2 MiB
- ML stack average:
- 1.8 MiB
- ML heap maximum:
- 1.5 GiB
- ML heap average:
- 1.3 GiB
- Isabelle version:
- 4b7fdf77af07
- AFP version:
- 2f539b3aa0b8




Minimal_SSA
- data:
- CSV
- timing:
- 0:00:12 elapsed time, 0:00:12 cpu time, factor 1.00
- ML timing:
- 10.577s elapsed time, 10.663s cpu time, 0.193s GC time, factor 1.01
- ML stack maximum:
- 3 MiB
- ML stack average:
- 3 MiB
- ML heap maximum:
- 1.5 GiB
- ML heap average:
- 1.3 GiB
- Isabelle version:
- 4b7fdf77af07
- AFP version:
- 2f539b3aa0b8




Arbitrage_Probability_Correspondence
- data:
- CSV
- timing:
- 0:00:12 elapsed time, 0:00:12 cpu time, factor 1.00
- ML timing:
- 11.137s elapsed time, 11.228s cpu time, 0.219s GC time, factor 1.01
- ML stack maximum:
- 3 MiB
- ML stack average:
- 3 MiB
- ML heap maximum:
- 1.5 GiB
- ML heap average:
- 1.3 GiB
- Isabelle version:
- 4b7fdf77af07
- AFP version:
- 2f539b3aa0b8




Menger
- data:
- CSV
- timing:
- 0:00:12 elapsed time, 0:00:12 cpu time, factor 1.00
- ML timing:
- 11.167s elapsed time, 11.389s cpu time, 0.372s GC time, factor 1.02
- ML stack maximum:
- 2 MiB
- ML stack average:
- 2 MiB
- ML heap maximum:
- 1.5 GiB
- ML heap average:
- 1.3 GiB
- Isabelle version:
- 4b7fdf77af07
- AFP version:
- 2f539b3aa0b8




Youngs_Inequality
- data:
- CSV
- timing:
- 0:00:12 elapsed time, 0:00:12 cpu time, factor 1.00
- ML timing:
- 10.551s elapsed time, 10.467s cpu time, 0.206s GC time, factor 0.99
- ML stack maximum:
- 2 MiB
- ML stack average:
- 2 MiB
- ML heap maximum:
- 1.5 GiB
- ML heap average:
- 1.3 GiB
- Isabelle version:
- 4b7fdf77af07
- AFP version:
- 2f539b3aa0b8




Cube_Dissection
- data:
- CSV
- timing:
- 0:00:12 elapsed time, 0:00:11 cpu time, factor 0.92
- ML timing:
- 10.335s elapsed time, 10.445s cpu time, 0.150s GC time, factor 1.01
- ML stack maximum:
- 3 MiB
- ML stack average:
- 3 MiB
- ML heap maximum:
- 1.5 GiB
- ML heap average:
- 1.2 GiB
- Isabelle version:
- 4b7fdf77af07
- AFP version:
- 2f539b3aa0b8




CryptoBasedCompositionalProperties
- data:
- CSV
- timing:
- 0:00:12 elapsed time, 0:00:12 cpu time, factor 1.00
- ML timing:
- 11.544s elapsed time, 11.696s cpu time, 0.258s GC time, factor 1.01
- ML stack maximum:
- 2 MiB
- ML stack average:
- 1.8 MiB
- ML heap maximum:
- 1.5 GiB
- ML heap average:
- 1.3 GiB
- Isabelle version:
- 4b7fdf77af07
- AFP version:
- 2f539b3aa0b8




Real_Power
- data:
- CSV
- timing:
- 0:00:12 elapsed time, 0:00:12 cpu time, factor 1.00
- ML timing:
- 10.898s elapsed time, 11.102s cpu time, 0.164s GC time, factor 1.02
- ML stack maximum:
- 3 MiB
- ML stack average:
- 2.6 MiB
- ML heap maximum:
- 1.5 GiB
- ML heap average:
- 1.3 GiB
- Isabelle version:
- 4b7fdf77af07
- AFP version:
- 2f539b3aa0b8




Tycon
- data:
- CSV
- timing:
- 0:00:12 elapsed time, 0:00:12 cpu time, factor 1.00
- ML timing:
- 11.178s elapsed time, 11.437s cpu time, 0.486s GC time, factor 1.02
- ML stack maximum:
- 3 MiB
- ML stack average:
- 2.8 MiB
- ML heap maximum:
- 1.5 GiB
- ML heap average:
- 1.2 GiB
- Isabelle version:
- 4b7fdf77af07
- AFP version:
- 2f539b3aa0b8




Integration
- data:
- CSV
- timing:
- 0:00:11 elapsed time, 0:00:11 cpu time, factor 1.00
- ML timing:
- 9.801s elapsed time, 10.135s cpu time, 0.259s GC time, factor 1.03
- ML stack maximum:
- 5 MiB
- ML stack average:
- 4.1 MiB
- ML heap maximum:
- 1.5 GiB
- ML heap average:
- 1.3 GiB
- Isabelle version:
- 4b7fdf77af07
- AFP version:
- 2f539b3aa0b8




Topology
- data:
- CSV
- timing:
- 0:00:11 elapsed time, 0:00:11 cpu time, factor 1.00
- ML timing:
- 9.695s elapsed time, 10.171s cpu time, 0.557s GC time, factor 1.05
- ML stack maximum:
- 3 MiB
- ML stack average:
- 3 MiB
- ML heap maximum:
- 1.5 GiB
- ML heap average:
- 1.3 GiB
- Isabelle version:
- 4b7fdf77af07
- AFP version:
- 2f539b3aa0b8




Lam-ml-Normalization
- data:
- CSV
- timing:
- 0:00:11 elapsed time, 0:00:11 cpu time, factor 1.00
- ML timing:
- 10.035s elapsed time, 10.206s cpu time, 0.299s GC time, factor 1.02
- ML stack maximum:
- 5 MiB
- ML stack average:
- 5 MiB
- ML heap maximum:
- 1.5 GiB
- ML heap average:
- 1.2 GiB
- Isabelle version:
- 4b7fdf77af07
- AFP version:
- 2f539b3aa0b8




RefinementReactive
- data:
- CSV
- timing:
- 0:00:11 elapsed time, 0:00:11 cpu time, factor 1.00
- ML timing:
- 10.138s elapsed time, 10.303s cpu time, 0.241s GC time, factor 1.02
- ML stack maximum:
- 3 MiB
- ML stack average:
- 2.7 MiB
- ML heap maximum:
- 1.5 GiB
- ML heap average:
- 1.3 GiB
- Isabelle version:
- 4b7fdf77af07
- AFP version:
- 2f539b3aa0b8




PAL
- data:
- CSV
- timing:
- 0:00:11 elapsed time, 0:00:10 cpu time, factor 0.91
- ML timing:
- 10.107s elapsed time, 9.593s cpu time, 0.266s GC time, factor 0.95
- ML stack maximum:
- 1.5 MiB
- ML stack average:
- 1.3 MiB
- ML heap maximum:
- 1.5 GiB
- ML heap average:
- 1.4 GiB
- Isabelle version:
- 4b7fdf77af07
- AFP version:
- 2f539b3aa0b8




SumSquares
- data:
- CSV
- timing:
- 0:00:11 elapsed time, 0:00:11 cpu time, factor 1.00
- ML timing:
- 9.965s elapsed time, 10.121s cpu time, 0.142s GC time, factor 1.02
- ML stack maximum:
- 2 MiB
- ML stack average:
- 2 MiB
- ML heap maximum:
- 1.5 GiB
- ML heap average:
- 1.2 GiB
- Isabelle version:
- 4b7fdf77af07
- AFP version:
- 2f539b3aa0b8




IMO2019
- data:
- CSV
- timing:
- 0:00:11 elapsed time, 0:00:11 cpu time, factor 1.00
- ML timing:
- 8.532s elapsed time, 8.611s cpu time, 0.148s GC time, factor 1.01
- ML stack maximum:
- 3 MiB
- ML stack average:
- 2.1 MiB
- ML heap maximum:
- 1.5 GiB
- ML heap average:
- 1.2 GiB
- Isabelle version:
- 4b7fdf77af07
- AFP version:
- 2f539b3aa0b8




Szemeredi_Regularity
- data:
- CSV
- timing:
- 0:00:11 elapsed time, 0:00:10 cpu time, factor 0.91
- ML timing:
- 8.742s elapsed time, 8.509s cpu time, 0.120s GC time, factor 0.97
- ML stack maximum:
- 3 MiB
- ML stack average:
- 3 MiB
- ML heap maximum:
- 1.5 GiB
- ML heap average:
- 1.2 GiB
- Isabelle version:
- 4b7fdf77af07
- AFP version:
- 2f539b3aa0b8




ArrowImpossibilityGS
- data:
- CSV
- timing:
- 0:00:11 elapsed time, 0:00:11 cpu time, factor 1.00
- ML timing:
- 10.566s elapsed time, 10.584s cpu time, 0.928s GC time, factor 1.00
- ML stack maximum:
- 5 MiB
- ML stack average:
- 3.5 MiB
- ML heap maximum:
- 1.5 GiB
- ML heap average:
- 1.1 GiB
- Isabelle version:
- 4b7fdf77af07
- AFP version:
- 2f539b3aa0b8




Dynamic_Tables
- data:
- CSV
- timing:
- 0:00:11 elapsed time, 0:00:11 cpu time, factor 1.00
- ML timing:
- 9.525s elapsed time, 9.665s cpu time, 0.199s GC time, factor 1.01
- ML stack maximum:
- 2 MiB
- ML stack average:
- 1.8 MiB
- ML heap maximum:
- 1.5 GiB
- ML heap average:
- 1.2 GiB
- Isabelle version:
- 4b7fdf77af07
- AFP version:
- 2f539b3aa0b8




Dedekind_Real
- data:
- CSV
- timing:
- 0:00:11 elapsed time, 0:00:11 cpu time, factor 1.00
- ML timing:
- 10.350s elapsed time, 10.508s cpu time, 0.137s GC time, factor 1.02
- ML stack maximum:
- 3 MiB
- ML stack average:
- 3 MiB
- ML heap maximum:
- 1.5 GiB
- ML heap average:
- 1.3 GiB
- Isabelle version:
- 4b7fdf77af07
- AFP version:
- 2f539b3aa0b8




Substitutions_Lambda_Free
- data:
- CSV
- timing:
- 0:00:11 elapsed time, 0:00:11 cpu time, factor 1.00
- ML timing:
- 10.168s elapsed time, 10.231s cpu time, 0.229s GC time, factor 1.01
- ML stack maximum:
- 3 MiB
- ML stack average:
- 2.5 MiB
- ML heap maximum:
- 1.5 GiB
- ML heap average:
- 1.2 GiB
- Isabelle version:
- 4b7fdf77af07
- AFP version:
- 2f539b3aa0b8




Risk_Free_Lending
- data:
- CSV
- timing:
- 0:00:11 elapsed time, 0:00:11 cpu time, factor 1.00
- ML timing:
- 9.992s elapsed time, 10.174s cpu time, 0.209s GC time, factor 1.02
- ML stack maximum:
- 5 MiB
- ML stack average:
- 5 MiB
- ML heap maximum:
- 1.5 GiB
- ML heap average:
- 1.2 GiB
- Isabelle version:
- 4b7fdf77af07
- AFP version:
- 2f539b3aa0b8




MonoBoolTranAlgebra
- data:
- CSV
- timing:
- 0:00:11 elapsed time, 0:00:11 cpu time, factor 1.00
- ML timing:
- 10.279s elapsed time, 10.509s cpu time, 0.385s GC time, factor 1.02
- ML stack maximum:
- 2 MiB
- ML stack average:
- 1.9 MiB
- ML heap maximum:
- 1.5 GiB
- ML heap average:
- 1.2 GiB
- Isabelle version:
- 4b7fdf77af07
- AFP version:
- 2f539b3aa0b8




Implicational_Logic
- data:
- CSV
- timing:
- 0:00:11 elapsed time, 0:00:10 cpu time, factor 0.91
- ML timing:
- 9.504s elapsed time, 9.541s cpu time, 0.269s GC time, factor 1.00
- ML stack maximum:
- 1.5 MiB
- ML stack average:
- 1.5 MiB
- ML heap maximum:
- 1.5 GiB
- ML heap average:
- 1.2 GiB
- Isabelle version:
- 4b7fdf77af07
- AFP version:
- 2f539b3aa0b8




Latin_Square
- data:
- CSV
- timing:
- 0:00:11 elapsed time, 0:00:11 cpu time, factor 1.00
- ML timing:
- 10.563s elapsed time, 10.687s cpu time, 0.134s GC time, factor 1.01
- ML stack maximum:
- 2 MiB
- ML stack average:
- 1.9 MiB
- ML heap maximum:
- 1.5 GiB
- ML heap average:
- 1.3 GiB
- Isabelle version:
- 4b7fdf77af07
- AFP version:
- 2f539b3aa0b8




Verified-Prover
- data:
- CSV
- timing:
- 0:00:11 elapsed time, 0:00:11 cpu time, factor 1.00
- ML timing:
- 10.457s elapsed time, 10.522s cpu time, 0.206s GC time, factor 1.01
- ML stack maximum:
- 3 MiB
- ML stack average:
- 3 MiB
- ML heap maximum:
- 1.5 GiB
- ML heap average:
- 1.2 GiB
- Isabelle version:
- 4b7fdf77af07
- AFP version:
- 2f539b3aa0b8




Ceva
- data:
- CSV
- timing:
- 0:00:11 elapsed time, 0:00:11 cpu time, factor 1.00
- ML timing:
- 9.841s elapsed time, 9.774s cpu time, 0.246s GC time, factor 0.99
- ML stack maximum:
- 2 MiB
- ML stack average:
- 1.8 MiB
- ML heap maximum:
- 1.5 GiB
- ML heap average:
- 1.2 GiB
- Isabelle version:
- 4b7fdf77af07
- AFP version:
- 2f539b3aa0b8




HotelKeyCards
- data:
- CSV
- timing:
- 0:00:11 elapsed time, 0:00:09 cpu time, factor 0.82
- ML timing:
- 10.279s elapsed time, 8.570s cpu time, 0.126s GC time, factor 0.83
- ML stack maximum:
- 2 MiB
- ML stack average:
- 2 MiB
- ML heap maximum:
- 1.5 GiB
- ML heap average:
- 1.3 GiB
- Isabelle version:
- 4b7fdf77af07
- AFP version:
- 2f539b3aa0b8




Karatsuba_Sqrt
- data:
- CSV
- timing:
- 0:00:10 elapsed time, 0:00:10 cpu time, factor 1.00
- ML timing:
- 8.632s elapsed time, 8.734s cpu time, 0.135s GC time, factor 1.01
- ML stack maximum:
- 2 MiB
- ML stack average:
- 2 MiB
- ML heap maximum:
- 1.5 GiB
- ML heap average:
- 1.2 GiB
- Isabelle version:
- 4b7fdf77af07
- AFP version:
- 2f539b3aa0b8




Pop_Refinement
- data:
- CSV
- timing:
- 0:00:10 elapsed time, 0:00:10 cpu time, factor 1.00
- ML timing:
- 9.178s elapsed time, 9.261s cpu time, 0.211s GC time, factor 1.01
- ML stack maximum:
- 3 MiB
- ML stack average:
- 2.8 MiB
- ML heap maximum:
- 1.5 GiB
- ML heap average:
- 1.2 GiB
- Isabelle version:
- 4b7fdf77af07
- AFP version:
- 2f539b3aa0b8




Boolos_Curious_Inference_Automated
- data:
- CSV
- timing:
- 0:00:10 elapsed time, 0:00:09 cpu time, factor 0.90
- ML timing:
- 8.930s elapsed time, 8.597s cpu time, 1.387s GC time, factor 0.96
- ML stack maximum:
- 1.5 MiB
- ML stack average:
- 1.5 MiB
- ML heap maximum:
- 1.5 GiB
- ML heap average:
- 1.2 GiB
- Isabelle version:
- 4b7fdf77af07
- AFP version:
- 2f539b3aa0b8




Category
- data:
- CSV
- timing:
- 0:00:10 elapsed time, 0:00:10 cpu time, factor 1.00
- ML timing:
- 8.761s elapsed time, 8.786s cpu time, 0.212s GC time, factor 1.00
- ML stack maximum:
- 2 MiB
- ML stack average:
- 2 MiB
- ML heap maximum:
- 1.5 GiB
- ML heap average:
- 1.3 GiB
- Isabelle version:
- 4b7fdf77af07
- AFP version:
- 2f539b3aa0b8




FileRefinement
- data:
- CSV
- timing:
- 0:00:10 elapsed time, 0:00:10 cpu time, factor 1.00
- ML timing:
- 8.952s elapsed time, 9.004s cpu time, 0.068s GC time, factor 1.01
- ML stack maximum:
- 2 MiB
- ML stack average:
- 2 MiB
- ML heap maximum:
- 1.5 GiB
- ML heap average:
- 1.2 GiB
- Isabelle version:
- 4b7fdf77af07
- AFP version:
- 2f539b3aa0b8




Conditional_Transfer_Rule
- data:
- CSV
- timing:
- 0:00:10 elapsed time, 0:00:09 cpu time, factor 0.90
- ML timing:
- 4.010s elapsed time, 4.045s cpu time, 0.089s GC time, factor 1.01
- ML stack maximum:
- 2 MiB
- ML stack average:
- 1.4 MiB
- ML heap maximum:
- 1.5 GiB
- ML heap average:
- 488.3 MiB
- ML heap stored:
- 4.5 MiB
- Isabelle version:
- 4b7fdf77af07
- AFP version:
- 2f539b3aa0b8




No_Free_Lunch_ML
- data:
- CSV
- timing:
- 0:00:10 elapsed time, 0:00:10 cpu time, factor 1.00
- ML timing:
- 8.463s elapsed time, 8.534s cpu time, 0.115s GC time, factor 1.01
- ML stack maximum:
- 3 MiB
- ML stack average:
- 2.1 MiB
- ML heap maximum:
- 1.5 GiB
- ML heap average:
- 1.3 GiB
- Isabelle version:
- 4b7fdf77af07
- AFP version:
- 2f539b3aa0b8




Concurrent_Ref_Alg
- data:
- CSV
- timing:
- 0:00:10 elapsed time, 0:00:10 cpu time, factor 1.00
- ML timing:
- 9.435s elapsed time, 9.584s cpu time, 0.331s GC time, factor 1.02
- ML stack maximum:
- 1.5 MiB
- ML stack average:
- 1.4 MiB
- ML heap maximum:
- 1.5 GiB
- ML heap average:
- 1.3 GiB
- Isabelle version:
- 4b7fdf77af07
- AFP version:
- 2f539b3aa0b8




Rogers_Ramanujan
- data:
- CSV
- timing:
- 0:00:10 elapsed time, 0:00:10 cpu time, factor 1.00
- ML timing:
- 7.915s elapsed time, 8.005s cpu time, 0.109s GC time, factor 1.01
- ML stack maximum:
- 3 MiB
- ML stack average:
- 3 MiB
- ML heap maximum:
- 1.5 GiB
- ML heap average:
- 1.2 GiB
- Isabelle version:
- 4b7fdf77af07
- AFP version:
- 2f539b3aa0b8




Buffons_Needle
- data:
- CSV
- timing:
- 0:00:10 elapsed time, 0:00:10 cpu time, factor 1.00
- ML timing:
- 8.297s elapsed time, 8.353s cpu time, 0.104s GC time, factor 1.01
- ML stack maximum:
- 2 MiB
- ML stack average:
- 2 MiB
- ML heap maximum:
- 1.5 GiB
- ML heap average:
- 1.2 GiB
- Isabelle version:
- 4b7fdf77af07
- AFP version:
- 2f539b3aa0b8




Banach_Steinhaus
- data:
- CSV
- timing:
- 0:00:10 elapsed time, 0:00:09 cpu time, factor 0.90
- ML timing:
- 8.112s elapsed time, 8.148s cpu time, 0.182s GC time, factor 1.00
- ML stack maximum:
- 3 MiB
- ML stack average:
- 3 MiB
- ML heap maximum:
- 1.5 GiB
- ML heap average:
- 1.3 GiB
- Isabelle version:
- 4b7fdf77af07
- AFP version:
- 2f539b3aa0b8




VolpanoSmith
- data:
- CSV
- timing:
- 0:00:10 elapsed time, 0:00:10 cpu time, factor 1.00
- ML timing:
- 9.129s elapsed time, 9.217s cpu time, 0.226s GC time, factor 1.01
- ML stack maximum:
- 2 MiB
- ML stack average:
- 1.7 MiB
- ML heap maximum:
- 1.5 GiB
- ML heap average:
- 1.2 GiB
- Isabelle version:
- 4b7fdf77af07
- AFP version:
- 2f539b3aa0b8




Zeckendorf
- data:
- CSV
- timing:
- 0:00:10 elapsed time, 0:00:09 cpu time, factor 0.90
- ML timing:
- 8.654s elapsed time, 8.701s cpu time, 0.078s GC time, factor 1.01
- ML stack maximum:
- 2 MiB
- ML stack average:
- 1.5 MiB
- ML heap maximum:
- 1.5 GiB
- ML heap average:
- 1.3 GiB
- Isabelle version:
- 4b7fdf77af07
- AFP version:
- 2f539b3aa0b8




Orbit_Stabiliser
- data:
- CSV
- timing:
- 0:00:10 elapsed time, 0:00:10 cpu time, factor 1.00
- ML timing:
- 9.211s elapsed time, 9.385s cpu time, 0.177s GC time, factor 1.02
- ML stack maximum:
- 3 MiB
- ML stack average:
- 2.9 MiB
- ML heap maximum:
- 1.5 GiB
- ML heap average:
- 1.3 GiB
- Isabelle version:
- 4b7fdf77af07
- AFP version:
- 2f539b3aa0b8




Robbins-Conjecture
- data:
- CSV
- timing:
- 0:00:10 elapsed time, 0:00:10 cpu time, factor 1.00
- ML timing:
- 8.764s elapsed time, 8.874s cpu time, 0.294s GC time, factor 1.01
- ML stack maximum:
- 2 MiB
- ML stack average:
- 2 MiB
- ML heap maximum:
- 1.5 GiB
- ML heap average:
- 1.3 GiB
- Isabelle version:
- 4b7fdf77af07
- AFP version:
- 2f539b3aa0b8




LambdaMu
- data:
- CSV
- timing:
- 0:00:10 elapsed time, 0:00:10 cpu time, factor 1.00
- ML timing:
- 8.965s elapsed time, 9.025s cpu time, 0.202s GC time, factor 1.01
- ML stack maximum:
- 1.5 MiB
- ML stack average:
- 1.2 MiB
- ML heap maximum:
- 1.5 GiB
- ML heap average:
- 1.2 GiB
- Isabelle version:
- 4b7fdf77af07
- AFP version:
- 2f539b3aa0b8




LP_Duality
- data:
- CSV
- timing:
- 0:00:09 elapsed time, 0:00:08 cpu time, factor 0.89
- ML timing:
- 6.897s elapsed time, 6.985s cpu time, 0.100s GC time, factor 1.01
- ML stack maximum:
- 2 MiB
- ML stack average:
- 2 MiB
- ML heap maximum:
- 1.5 GiB
- ML heap average:
- 1.1 GiB
- Isabelle version:
- 4b7fdf77af07
- AFP version:
- 2f539b3aa0b8




Sunflowers
- data:
- CSV
- timing:
- 0:00:09 elapsed time, 0:00:09 cpu time, factor 1.00
- ML timing:
- 8.100s elapsed time, 8.095s cpu time, 0.145s GC time, factor 1.00
- ML stack maximum:
- 2 MiB
- ML stack average:
- 2 MiB
- ML heap maximum:
- 1.5 GiB
- ML heap average:
- 1.2 GiB
- Isabelle version:
- 4b7fdf77af07
- AFP version:
- 2f539b3aa0b8




Tree_Decomposition
- data:
- CSV
- timing:
- 0:00:09 elapsed time, 0:00:09 cpu time, factor 1.00
- ML timing:
- 8.205s elapsed time, 8.353s cpu time, 0.264s GC time, factor 1.02
- ML stack maximum:
- 1.5 MiB
- ML stack average:
- 1.5 MiB
- ML heap maximum:
- 1.5 GiB
- ML heap average:
- 1.3 GiB
- Isabelle version:
- 4b7fdf77af07
- AFP version:
- 2f539b3aa0b8




Fixed_Length_Vector
- data:
- CSV
- timing:
- 0:00:09 elapsed time, 0:00:08 cpu time, factor 0.89
- ML timing:
- 8.262s elapsed time, 7.131s cpu time, 0.210s GC time, factor 0.86
- ML stack maximum:
- 2 MiB
- ML stack average:
- 1.8 MiB
- ML heap maximum:
- 1.5 GiB
- ML heap average:
- 1.2 GiB
- Isabelle version:
- 4b7fdf77af07
- AFP version:
- 2f539b3aa0b8




Old_Datatype_Show
- data:
- CSV
- timing:
- 0:00:09 elapsed time, 0:00:08 cpu time, factor 0.89
- ML timing:
- 7.065s elapsed time, 7.103s cpu time, 0.188s GC time, factor 1.01
- ML stack maximum:
- 1.5 MiB
- ML stack average:
- 1.5 MiB
- ML heap maximum:
- 1.5 GiB
- ML heap average:
- 1.1 GiB
- Isabelle version:
- 4b7fdf77af07
- AFP version:
- 2f539b3aa0b8




GPU_Kernel_PL
- data:
- CSV
- timing:
- 0:00:09 elapsed time, 0:00:08 cpu time, factor 0.89
- ML timing:
- 7.499s elapsed time, 7.556s cpu time, 0.209s GC time, factor 1.01
- ML stack maximum:
- 1.5 MiB
- ML stack average:
- 1.2 MiB
- ML heap maximum:
- 1.5 GiB
- ML heap average:
- 1.1 GiB
- Isabelle version:
- 4b7fdf77af07
- AFP version:
- 2f539b3aa0b8




Stellar_Quorums
- data:
- CSV
- timing:
- 0:00:09 elapsed time, 0:00:09 cpu time, factor 1.00
- ML timing:
- 8.346s elapsed time, 8.140s cpu time, 0.200s GC time, factor 0.98
- ML stack maximum:
- 2 MiB
- ML stack average:
- 2 MiB
- ML heap maximum:
- 1.5 GiB
- ML heap average:
- 1.2 GiB
- Isabelle version:
- 4b7fdf77af07
- AFP version:
- 2f539b3aa0b8




Binomial-Queues
- data:
- CSV
- timing:
- 0:00:09 elapsed time, 0:00:09 cpu time, factor 1.00
- ML timing:
- 8.210s elapsed time, 8.394s cpu time, 0.267s GC time, factor 1.02
- ML stack maximum:
- 2 MiB
- ML stack average:
- 2 MiB
- ML heap maximum:
- 1.5 GiB
- ML heap average:
- 1.2 GiB
- Isabelle version:
- 4b7fdf77af07
- AFP version:
- 2f539b3aa0b8




VeriComp
- data:
- CSV
- timing:
- 0:00:09 elapsed time, 0:00:09 cpu time, factor 1.00
- ML timing:
- 8.288s elapsed time, 8.443s cpu time, 0.199s GC time, factor 1.02
- ML stack maximum:
- 3 MiB
- ML stack average:
- 2.3 MiB
- ML heap maximum:
- 1.5 GiB
- ML heap average:
- 1.2 GiB
- Isabelle version:
- 4b7fdf77af07
- AFP version:
- 2f539b3aa0b8




Cauchy
- data:
- CSV
- timing:
- 0:00:09 elapsed time, 0:00:09 cpu time, factor 1.00
- ML timing:
- 4.332s elapsed time, 4.418s cpu time, 0.056s GC time, factor 1.02
- ML stack maximum:
- 2 MiB
- ML stack average:
- 1.4 MiB
- ML heap maximum:
- 1.5 GiB
- ML heap average:
- 574.9 MiB
- ML heap stored:
- 2.4 MiB
- Isabelle version:
- 4b7fdf77af07
- AFP version:
- 2f539b3aa0b8




Public_Announcement_Logic
- data:
- CSV
- timing:
- 0:00:09 elapsed time, 0:00:09 cpu time, factor 1.00
- ML timing:
- 7.980s elapsed time, 8.052s cpu time, 0.302s GC time, factor 1.01
- ML stack maximum:
- 3 MiB
- ML stack average:
- 3 MiB
- ML heap maximum:
- 1.5 GiB
- ML heap average:
- 1.2 GiB
- Isabelle version:
- 4b7fdf77af07
- AFP version:
- 2f539b3aa0b8




Falling_Factorial_Sum
- data:
- CSV
- timing:
- 0:00:09 elapsed time, 0:00:09 cpu time, factor 1.00
- ML timing:
- 8.187s elapsed time, 8.323s cpu time, 0.130s GC time, factor 1.02
- ML stack maximum:
- 2 MiB
- ML stack average:
- 2 MiB
- ML heap maximum:
- 1.5 GiB
- ML heap average:
- 1.3 GiB
- Isabelle version:
- 4b7fdf77af07
- AFP version:
- 2f539b3aa0b8




Relational-Incorrectness-Logic
- data:
- CSV
- timing:
- 0:00:08 elapsed time, 0:00:08 cpu time, factor 1.00
- ML timing:
- 6.948s elapsed time, 6.986s cpu time, 0.080s GC time, factor 1.01
- ML stack maximum:
- 2 MiB
- ML stack average:
- 2 MiB
- ML heap maximum:
- 1.5 GiB
- ML heap average:
- 1.2 GiB
- Isabelle version:
- 4b7fdf77af07
- AFP version:
- 2f539b3aa0b8




Secondary_Sylow
- data:
- CSV
- timing:
- 0:00:08 elapsed time, 0:00:08 cpu time, factor 1.00
- ML timing:
- 6.796s elapsed time, 7.005s cpu time, 0.195s GC time, factor 1.03
- ML stack maximum:
- 2 MiB
- ML stack average:
- 2 MiB
- ML heap maximum:
- 1.5 GiB
- ML heap average:
- 1.2 GiB
- Isabelle version:
- 4b7fdf77af07
- AFP version:
- 2f539b3aa0b8




Source_Coding_Theorem
- data:
- CSV
- timing:
- 0:00:08 elapsed time, 0:00:08 cpu time, factor 1.00
- ML timing:
- 6.343s elapsed time, 6.397s cpu time, 0.113s GC time, factor 1.01
- ML stack maximum:
- 2 MiB
- ML stack average:
- 2 MiB
- ML heap maximum:
- 1.5 GiB
- ML heap average:
- 1.2 GiB
- Isabelle version:
- 4b7fdf77af07
- AFP version:
- 2f539b3aa0b8




Wooley_Elementary_Discrete_Inequality
- data:
- CSV
- timing:
- 0:00:08 elapsed time, 0:00:08 cpu time, factor 1.00
- ML timing:
- 7.401s elapsed time, 6.952s cpu time, 0.121s GC time, factor 0.94
- ML stack maximum:
- 2 MiB
- ML stack average:
- 2 MiB
- ML heap maximum:
- 1.5 GiB
- ML heap average:
- 1.1 GiB
- Isabelle version:
- 4b7fdf77af07
- AFP version:
- 2f539b3aa0b8




Imperative_Insertion_Sort
- data:
- CSV
- timing:
- 0:00:08 elapsed time, 0:00:08 cpu time, factor 1.00
- ML timing:
- 6.971s elapsed time, 7.045s cpu time, 0.098s GC time, factor 1.01
- ML stack maximum:
- 2 MiB
- ML stack average:
- 1.9 MiB
- ML heap maximum:
- 1.5 GiB
- ML heap average:
- 1.2 GiB
- Isabelle version:
- 4b7fdf77af07
- AFP version:
- 2f539b3aa0b8




Cayley_Hamilton
- data:
- CSV
- timing:
- 0:00:08 elapsed time, 0:00:08 cpu time, factor 1.00
- ML timing:
- 6.148s elapsed time, 6.281s cpu time, 0.188s GC time, factor 1.02
- ML stack maximum:
- 2 MiB
- ML stack average:
- 1.9 MiB
- ML heap maximum:
- 1.5 GiB
- ML heap average:
- 1 GiB
- Isabelle version:
- 4b7fdf77af07
- AFP version:
- 2f539b3aa0b8




BinarySearchTree
- data:
- CSV
- timing:
- 0:00:08 elapsed time, 0:00:08 cpu time, factor 1.00
- ML timing:
- 7.444s elapsed time, 7.493s cpu time, 0.143s GC time, factor 1.01
- ML stack maximum:
- 1.5 MiB
- ML stack average:
- 1.5 MiB
- ML heap maximum:
- 1.5 GiB
- ML heap average:
- 1.1 GiB
- Isabelle version:
- 4b7fdf77af07
- AFP version:
- 2f539b3aa0b8




Transitive_Union_Closed_Families
- data:
- CSV
- timing:
- 0:00:08 elapsed time, 0:00:08 cpu time, factor 1.00
- ML timing:
- 7.143s elapsed time, 7.180s cpu time, 0.110s GC time, factor 1.01
- ML stack maximum:
- 1.5 MiB
- ML stack average:
- 1.5 MiB
- ML heap maximum:
- 1.5 GiB
- ML heap average:
- 1.2 GiB
- Isabelle version:
- 4b7fdf77af07
- AFP version:
- 2f539b3aa0b8




Matroids
- data:
- CSV
- timing:
- 0:00:08 elapsed time, 0:00:08 cpu time, factor 1.00
- ML timing:
- 7.486s elapsed time, 7.692s cpu time, 0.147s GC time, factor 1.03
- ML stack maximum:
- 3 MiB
- ML stack average:
- 2.8 MiB
- ML heap maximum:
- 1.5 GiB
- ML heap average:
- 1.1 GiB
- Isabelle version:
- 4b7fdf77af07
- AFP version:
- 2f539b3aa0b8




GaleStewart_Games
- data:
- CSV
- timing:
- 0:00:08 elapsed time, 0:00:08 cpu time, factor 1.00
- ML timing:
- 7.130s elapsed time, 7.086s cpu time, 0.123s GC time, factor 0.99
- ML stack maximum:
- 2 MiB
- ML stack average:
- 1.9 MiB
- ML heap maximum:
- 1.5 GiB
- ML heap average:
- 1.2 GiB
- Isabelle version:
- 4b7fdf77af07
- AFP version:
- 2f539b3aa0b8




Stream-Fusion
- data:
- CSV
- timing:
- 0:00:08 elapsed time, 0:00:08 cpu time, factor 1.00
- ML timing:
- 7.223s elapsed time, 7.315s cpu time, 0.228s GC time, factor 1.01
- ML stack maximum:
- 2 MiB
- ML stack average:
- 1.7 MiB
- ML heap maximum:
- 1.5 GiB
- ML heap average:
- 1 GiB
- Isabelle version:
- 4b7fdf77af07
- AFP version:
- 2f539b3aa0b8




FinFun
- data:
- CSV
- timing:
- 0:00:08 elapsed time, 0:00:08 cpu time, factor 1.00
- ML timing:
- 7.215s elapsed time, 7.479s cpu time, 0.250s GC time, factor 1.04
- ML stack maximum:
- 3 MiB
- ML stack average:
- 2.5 MiB
- ML heap maximum:
- 1.5 GiB
- ML heap average:
- 1.1 GiB
- Isabelle version:
- 4b7fdf77af07
- AFP version:
- 2f539b3aa0b8




Certification_Monads
- data:
- CSV
- timing:
- 0:00:08 elapsed time, 0:00:08 cpu time, factor 1.00
- ML timing:
- 7.252s elapsed time, 7.406s cpu time, 0.327s GC time, factor 1.02
- ML stack maximum:
- 2 MiB
- ML stack average:
- 1.6 MiB
- ML heap maximum:
- 1.5 GiB
- ML heap average:
- 1.1 GiB
- Isabelle version:
- 4b7fdf77af07
- AFP version:
- 2f539b3aa0b8




Tail_Recursive_Functions
- data:
- CSV
- timing:
- 0:00:08 elapsed time, 0:00:08 cpu time, factor 1.00
- ML timing:
- 6.557s elapsed time, 6.628s cpu time, 0.291s GC time, factor 1.01
- ML stack maximum:
- 2 MiB
- ML stack average:
- 1.9 MiB
- ML heap maximum:
- 1.4 GiB
- ML heap average:
- 1.1 GiB
- Isabelle version:
- 4b7fdf77af07
- AFP version:
- 2f539b3aa0b8




TortoiseHare
- data:
- CSV
- timing:
- 0:00:08 elapsed time, 0:00:07 cpu time, factor 0.88
- ML timing:
- 6.193s elapsed time, 6.275s cpu time, 0.114s GC time, factor 1.01
- ML stack maximum:
- 1.5 MiB
- ML stack average:
- 1.5 MiB
- ML heap maximum:
- 1.5 GiB
- ML heap average:
- 1.2 GiB
- Isabelle version:
- 4b7fdf77af07
- AFP version:
- 2f539b3aa0b8




Chord_Segments
- data:
- CSV
- timing:
- 0:00:07 elapsed time, 0:00:07 cpu time, factor 1.00
- ML timing:
- 5.194s elapsed time, 5.276s cpu time, 0.110s GC time, factor 1.02
- ML stack maximum:
- 2 MiB
- ML stack average:
- 1.6 MiB
- ML heap maximum:
- 1.5 GiB
- ML heap average:
- 1.1 GiB
- Isabelle version:
- 4b7fdf77af07
- AFP version:
- 2f539b3aa0b8




Discrete_Summation
- data:
- CSV
- timing:
- 0:00:07 elapsed time, 0:00:07 cpu time, factor 1.00
- ML timing:
- 5.867s elapsed time, 5.968s cpu time, 0.094s GC time, factor 1.02
- ML stack maximum:
- 1.5 MiB
- ML stack average:
- 1.5 MiB
- ML heap maximum:
- 1.5 GiB
- ML heap average:
- 1.1 GiB
- Isabelle version:
- 4b7fdf77af07
- AFP version:
- 2f539b3aa0b8




Gray_Codes
- data:
- CSV
- timing:
- 0:00:07 elapsed time, 0:00:07 cpu time, factor 1.00
- ML timing:
- 6.113s elapsed time, 6.172s cpu time, 0.100s GC time, factor 1.01
- ML stack maximum:
- 1.5 MiB
- ML stack average:
- 1.3 MiB
- ML heap maximum:
- 1.5 GiB
- ML heap average:
- 1.1 GiB
- Isabelle version:
- 4b7fdf77af07
- AFP version:
- 2f539b3aa0b8




Mereology
- data:
- CSV
- timing:
- 0:00:07 elapsed time, 0:00:06 cpu time, factor 0.86
- ML timing:
- 5.818s elapsed time, 5.677s cpu time, 0.224s GC time, factor 0.98
- ML stack maximum:
- 3 MiB
- ML stack average:
- 2.7 MiB
- ML heap maximum:
- 1.5 GiB
- ML heap average:
- 1.1 GiB
- Isabelle version:
- 4b7fdf77af07
- AFP version:
- 2f539b3aa0b8




Card_Number_Partitions
- data:
- CSV
- timing:
- 0:00:07 elapsed time, 0:00:07 cpu time, factor 1.00
- ML timing:
- 5.529s elapsed time, 5.638s cpu time, 0.070s GC time, factor 1.02
- ML stack maximum:
- 2 MiB
- ML stack average:
- 1.9 MiB
- ML heap maximum:
- 1.5 GiB
- ML heap average:
- 1.1 GiB
- Isabelle version:
- 4b7fdf77af07
- AFP version:
- 2f539b3aa0b8




Arith_Prog_Rel_Primes
- data:
- CSV
- timing:
- 0:00:07 elapsed time, 0:00:07 cpu time, factor 1.00
- ML timing:
- 6.185s elapsed time, 6.065s cpu time, 0.117s GC time, factor 0.98
- ML stack maximum:
- 3 MiB
- ML stack average:
- 3 MiB
- ML heap maximum:
- 1.5 GiB
- ML heap average:
- 1.3 GiB
- Isabelle version:
- 4b7fdf77af07
- AFP version:
- 2f539b3aa0b8




ClockSynchInst
- data:
- CSV
- timing:
- 0:00:07 elapsed time, 0:00:06 cpu time, factor 0.86
- ML timing:
- 6.172s elapsed time, 5.176s cpu time, 0.080s GC time, factor 0.84
- ML stack maximum:
- 2 MiB
- ML stack average:
- 2 MiB
- ML heap maximum:
- 1.5 GiB
- ML heap average:
- 1.2 GiB
- Isabelle version:
- 4b7fdf77af07
- AFP version:
- 2f539b3aa0b8




CYK
- data:
- CSV
- timing:
- 0:00:07 elapsed time, 0:00:07 cpu time, factor 1.00
- ML timing:
- 6.079s elapsed time, 6.191s cpu time, 0.156s GC time, factor 1.02
- ML stack maximum:
- 3 MiB
- ML stack average:
- 3 MiB
- ML heap maximum:
- 1.5 GiB
- ML heap average:
- 1.2 GiB
- Isabelle version:
- 4b7fdf77af07
- AFP version:
- 2f539b3aa0b8




Pairing_Heap
- data:
- CSV
- timing:
- 0:00:07 elapsed time, 0:00:07 cpu time, factor 1.00
- ML timing:
- 5.287s elapsed time, 5.348s cpu time, 0.187s GC time, factor 1.01
- ML stack maximum:
- 1.5 MiB
- ML stack average:
- 1.3 MiB
- ML heap maximum:
- 1.5 GiB
- ML heap average:
- 1 GiB
- Isabelle version:
- 4b7fdf77af07
- AFP version:
- 2f539b3aa0b8




Prefix_Free_Code_Combinators
- data:
- CSV
- timing:
- 0:00:07 elapsed time, 0:00:07 cpu time, factor 1.00
- ML timing:
- 5.477s elapsed time, 5.567s cpu time, 0.098s GC time, factor 1.02
- ML stack maximum:
- 2 MiB
- ML stack average:
- 2 MiB
- ML heap maximum:
- 1.5 GiB
- ML heap average:
- 1 GiB
- Isabelle version:
- 4b7fdf77af07
- AFP version:
- 2f539b3aa0b8




Constructor_Funs
- data:
- CSV
- timing:
- 0:00:07 elapsed time, 0:00:05 cpu time, factor 0.71
- ML timing:
- 6.181s elapsed time, 4.130s cpu time, 0.142s GC time, factor 0.67
- ML stack maximum:
- 1.5 MiB
- ML stack average:
- 1.3 MiB
- ML heap maximum:
- 1.4 GiB
- ML heap average:
- 1 GiB
- Isabelle version:
- 4b7fdf77af07
- AFP version:
- 2f539b3aa0b8




Abel_Limit_Theorem
- data:
- CSV
- timing:
- 0:00:07 elapsed time, 0:00:07 cpu time, factor 1.00
- ML timing:
- 5.216s elapsed time, 5.226s cpu time, 0.132s GC time, factor 1.00
- ML stack maximum:
- 2 MiB
- ML stack average:
- 1.9 MiB
- ML heap maximum:
- 1.5 GiB
- ML heap average:
- 1 GiB
- Isabelle version:
- 4b7fdf77af07
- AFP version:
- 2f539b3aa0b8




GenClock
- data:
- CSV
- timing:
- 0:00:06 elapsed time, 0:00:06 cpu time, factor 1.00
- ML timing:
- 5.271s elapsed time, 5.392s cpu time, 0.079s GC time, factor 1.02
- ML stack maximum:
- 3 MiB
- ML stack average:
- 3 MiB
- ML heap maximum:
- 1.5 GiB
- ML heap average:
- 1.1 GiB
- Isabelle version:
- 4b7fdf77af07
- AFP version:
- 2f539b3aa0b8




Fresh_Identifiers
- data:
- CSV
- timing:
- 0:00:06 elapsed time, 0:00:06 cpu time, factor 1.00
- ML timing:
- 5.450s elapsed time, 5.495s cpu time, 0.089s GC time, factor 1.01
- ML stack maximum:
- 1.5 MiB
- ML stack average:
- 1.4 MiB
- ML heap maximum:
- 1.5 GiB
- ML heap average:
- 1.1 GiB
- Isabelle version:
- 4b7fdf77af07
- AFP version:
- 2f539b3aa0b8




Go
- data:
- CSV
- timing:
- 0:00:06 elapsed time, 0:00:05 cpu time, factor 0.83
- ML timing:
- 0.765s elapsed time, 0.752s cpu time, 0.000s GC time, factor 0.98
- ML stack maximum:
- 3 MiB
- ML stack average:
- 1.2 MiB
- ML heap maximum:
- 477 MiB
- ML heap average:
- 51.3 MiB
- ML heap stored:
- 2.1 MiB
- Isabelle version:
- 4b7fdf77af07
- AFP version:
- 2f539b3aa0b8




DataRefinementIBP
- data:
- CSV
- timing:
- 0:00:06 elapsed time, 0:00:05 cpu time, factor 0.83
- ML timing:
- 4.681s elapsed time, 4.790s cpu time, 0.107s GC time, factor 1.02
- ML stack maximum:
- 1.5 MiB
- ML stack average:
- 1.5 MiB
- ML heap maximum:
- 1.5 GiB
- ML heap average:
- 936.7 MiB
- Isabelle version:
- 4b7fdf77af07
- AFP version:
- 2f539b3aa0b8




DigitsInBase
- data:
- CSV
- timing:
- 0:00:06 elapsed time, 0:00:05 cpu time, factor 0.83
- ML timing:
- 5.010s elapsed time, 4.793s cpu time, 0.107s GC time, factor 0.96
- ML stack maximum:
- 2 MiB
- ML stack average:
- 2 MiB
- ML heap maximum:
- 1.5 GiB
- ML heap average:
- 1 GiB
- Isabelle version:
- 4b7fdf77af07
- AFP version:
- 2f539b3aa0b8




Stewart_Apollonius
- data:
- CSV
- timing:
- 0:00:06 elapsed time, 0:00:06 cpu time, factor 1.00
- ML timing:
- 4.606s elapsed time, 4.680s cpu time, 0.114s GC time, factor 1.02
- ML stack maximum:
- 2 MiB
- ML stack average:
- 1.6 MiB
- ML heap maximum:
- 1.5 GiB
- ML heap average:
- 1.1 GiB
- Isabelle version:
- 4b7fdf77af07
- AFP version:
- 2f539b3aa0b8




LatticeProperties
- data:
- CSV
- timing:
- 0:00:06 elapsed time, 0:00:06 cpu time, factor 1.00
- ML timing:
- 5.129s elapsed time, 5.253s cpu time, 0.163s GC time, factor 1.02
- ML stack maximum:
- 1.5 MiB
- ML stack average:
- 1.5 MiB
- ML heap maximum:
- 1.5 GiB
- ML heap average:
- 1.1 GiB
- Isabelle version:
- 4b7fdf77af07
- AFP version:
- 2f539b3aa0b8




Partial_Function_MR
- data:
- CSV
- timing:
- 0:00:06 elapsed time, 0:00:06 cpu time, factor 1.00
- ML timing:
- 5.511s elapsed time, 5.515s cpu time, 0.184s GC time, factor 1.00
- ML stack maximum:
- 2 MiB
- ML stack average:
- 1.7 MiB
- ML heap maximum:
- 1.5 GiB
- ML heap average:
- 1015.6 MiB
- Isabelle version:
- 4b7fdf77af07
- AFP version:
- 2f539b3aa0b8




ShortestPath
- data:
- CSV
- timing:
- 0:00:06 elapsed time, 0:00:05 cpu time, factor 0.83
- ML timing:
- 4.869s elapsed time, 4.919s cpu time, 0.227s GC time, factor 1.01
- ML stack maximum:
- 1.5 MiB
- ML stack average:
- 1.5 MiB
- ML heap maximum:
- 1.5 GiB
- ML heap average:
- 991.8 MiB
- Isabelle version:
- 4b7fdf77af07
- AFP version:
- 2f539b3aa0b8




Irrationals_From_THEBOOK
- data:
- CSV
- timing:
- 0:00:06 elapsed time, 0:00:06 cpu time, factor 1.00
- ML timing:
- 4.360s elapsed time, 4.333s cpu time, 0.046s GC time, factor 0.99
- ML stack maximum:
- 2 MiB
- ML stack average:
- 1.6 MiB
- ML heap maximum:
- 1.5 GiB
- ML heap average:
- 1.1 GiB
- Isabelle version:
- 4b7fdf77af07
- AFP version:
- 2f539b3aa0b8




Goodstein_Lambda
- data:
- CSV
- timing:
- 0:00:06 elapsed time, 0:00:06 cpu time, factor 1.00
- ML timing:
- 5.377s elapsed time, 5.451s cpu time, 0.112s GC time, factor 1.01
- ML stack maximum:
- 2 MiB
- ML stack average:
- 2 MiB
- ML heap maximum:
- 1.5 GiB
- ML heap average:
- 1 GiB
- Isabelle version:
- 4b7fdf77af07
- AFP version:
- 2f539b3aa0b8




Uncertainty_Principle
- data:
- CSV
- timing:
- 0:00:06 elapsed time, 0:00:06 cpu time, factor 1.00
- ML timing:
- 4.399s elapsed time, 4.406s cpu time, 0.061s GC time, factor 1.00
- ML stack maximum:
- 2 MiB
- ML stack average:
- 1.6 MiB
- ML heap maximum:
- 1.5 GiB
- ML heap average:
- 1.1 GiB
- Isabelle version:
- 4b7fdf77af07
- AFP version:
- 2f539b3aa0b8




- data:
- CSV
- timing:
- 0:00:06 elapsed time, 0:00:06 cpu time, factor 1.00
- ML timing:
- 4.186s elapsed time, 4.143s cpu time, 0.067s GC time, factor 0.99
- ML stack maximum:
- 3 MiB
- ML stack average:
- 3 MiB
- ML heap maximum:
- 1.5 GiB
- ML heap average:
- 1007.9 MiB
- Isabelle version:
- 4b7fdf77af07
- AFP version:
- 2f539b3aa0b8




Stalnaker_Logic
- data:
- CSV
- timing:
- 0:00:06 elapsed time, 0:00:04 cpu time, factor 0.67
- ML timing:
- 5.536s elapsed time, 3.969s cpu time, 0.069s GC time, factor 0.72
- ML stack maximum:
- 2 MiB
- ML stack average:
- 2 MiB
- ML heap maximum:
- 1.5 GiB
- ML heap average:
- 1.2 GiB
- Isabelle version:
- 4b7fdf77af07
- AFP version:
- 2f539b3aa0b8




Fisher_Yates
- data:
- CSV
- timing:
- 0:00:06 elapsed time, 0:00:05 cpu time, factor 0.83
- ML timing:
- 4.069s elapsed time, 4.108s cpu time, 0.092s GC time, factor 1.01
- ML stack maximum:
- 3 MiB
- ML stack average:
- 1.7 MiB
- ML heap maximum:
- 1.5 GiB
- ML heap average:
- 1 GiB
- Isabelle version:
- 4b7fdf77af07
- AFP version:
- 2f539b3aa0b8




Transitive-Closure
- data:
- CSV
- timing:
- 0:00:06 elapsed time, 0:00:06 cpu time, factor 1.00
- ML timing:
- 4.489s elapsed time, 4.647s cpu time, 0.143s GC time, factor 1.04
- ML stack maximum:
- 2 MiB
- ML stack average:
- 1.9 MiB
- ML heap maximum:
- 1.4 GiB
- ML heap average:
- 1014.7 MiB
- Isabelle version:
- 4b7fdf77af07
- AFP version:
- 2f539b3aa0b8




Descartes_Sign_Rule
- data:
- CSV
- timing:
- 0:00:06 elapsed time, 0:00:05 cpu time, factor 0.83
- ML timing:
- 4.441s elapsed time, 4.530s cpu time, 0.043s GC time, factor 1.02
- ML stack maximum:
- 3 MiB
- ML stack average:
- 3 MiB
- ML heap maximum:
- 1.5 GiB
- ML heap average:
- 1 GiB
- Isabelle version:
- 4b7fdf77af07
- AFP version:
- 2f539b3aa0b8




Stuttering_Equivalence
- data:
- CSV
- timing:
- 0:00:06 elapsed time, 0:00:06 cpu time, factor 1.00
- ML timing:
- 5.132s elapsed time, 5.282s cpu time, 0.131s GC time, factor 1.03
- ML stack maximum:
- 2 MiB
- ML stack average:
- 2 MiB
- ML heap maximum:
- 1.5 GiB
- ML heap average:
- 1.1 GiB
- Isabelle version:
- 4b7fdf77af07
- AFP version:
- 2f539b3aa0b8




Triangle
- data:
- CSV
- timing:
- 0:00:06 elapsed time, 0:00:06 cpu time, factor 1.00
- ML timing:
- 4.371s elapsed time, 4.437s cpu time, 0.094s GC time, factor 1.02
- ML stack maximum:
- 1.5 MiB
- ML stack average:
- 1.5 MiB
- ML heap maximum:
- 1.5 GiB
- ML heap average:
- 929 MiB
- Isabelle version:
- 4b7fdf77af07
- AFP version:
- 2f539b3aa0b8




Nano_JSON
- data:
- CSV
- timing:
- 0:00:05 elapsed time, 0:00:05 cpu time, factor 1.00
- ML timing:
- 4.022s elapsed time, 4.054s cpu time, 0.155s GC time, factor 1.01
- ML stack maximum:
- 2 MiB
- ML stack average:
- 2 MiB
- ML heap maximum:
- 1.4 GiB
- ML heap average:
- 952.4 MiB
- Isabelle version:
- 4b7fdf77af07
- AFP version:
- 2f539b3aa0b8




List-Index
- data:
- CSV
- timing:
- 0:00:05 elapsed time, 0:00:05 cpu time, factor 1.00
- ML timing:
- 4.047s elapsed time, 4.112s cpu time, 0.060s GC time, factor 1.02
- ML stack maximum:
- 2 MiB
- ML stack average:
- 2 MiB
- ML heap maximum:
- 1.5 GiB
- ML heap average:
- 1014 MiB
- Isabelle version:
- 4b7fdf77af07
- AFP version:
- 2f539b3aa0b8




Maximum_Segment_Sum
- data:
- CSV
- timing:
- 0:00:05 elapsed time, 0:00:05 cpu time, factor 1.00
- ML timing:
- 4.579s elapsed time, 4.549s cpu time, 0.085s GC time, factor 0.99
- ML stack maximum:
- 1.5 MiB
- ML stack average:
- 1.3 MiB
- ML heap maximum:
- 1.5 GiB
- ML heap average:
- 1.1 GiB
- Isabelle version:
- 4b7fdf77af07
- AFP version:
- 2f539b3aa0b8




Cartan_FP
- data:
- CSV
- timing:
- 0:00:05 elapsed time, 0:00:05 cpu time, factor 1.00
- ML timing:
- 3.173s elapsed time, 3.237s cpu time, 0.065s GC time, factor 1.02
- ML stack maximum:
- 2 MiB
- ML stack average:
- 2 MiB
- ML heap maximum:
- 1.5 GiB
- ML heap average:
- 993.9 MiB
- Isabelle version:
- 4b7fdf77af07
- AFP version:
- 2f539b3aa0b8




Mason_Stothers
- data:
- CSV
- timing:
- 0:00:05 elapsed time, 0:00:05 cpu time, factor 1.00
- ML timing:
- 3.926s elapsed time, 3.970s cpu time, 0.064s GC time, factor 1.01
- ML stack maximum:
- 2 MiB
- ML stack average:
- 1.6 MiB
- ML heap maximum:
- 1.5 GiB
- ML heap average:
- 1 GiB
- Isabelle version:
- 4b7fdf77af07
- AFP version:
- 2f539b3aa0b8




Open_Induction
- data:
- CSV
- timing:
- 0:00:05 elapsed time, 0:00:05 cpu time, factor 1.00
- ML timing:
- 4.011s elapsed time, 4.093s cpu time, 0.043s GC time, factor 1.02
- ML stack maximum:
- 2 MiB
- ML stack average:
- 2 MiB
- ML heap maximum:
- 1.5 GiB
- ML heap average:
- 1 GiB
- Isabelle version:
- 4b7fdf77af07
- AFP version:
- 2f539b3aa0b8




List_Interleaving
- data:
- CSV
- timing:
- 0:00:05 elapsed time, 0:00:05 cpu time, factor 1.00
- ML timing:
- 4.216s elapsed time, 4.325s cpu time, 0.173s GC time, factor 1.03
- ML stack maximum:
- 3 MiB
- ML stack average:
- 3 MiB
- ML heap maximum:
- 1.5 GiB
- ML heap average:
- 1.1 GiB
- Isabelle version:
- 4b7fdf77af07
- AFP version:
- 2f539b3aa0b8




Sophomores_Dream
- data:
- CSV
- timing:
- 0:00:05 elapsed time, 0:00:04 cpu time, factor 0.80
- ML timing:
- 2.910s elapsed time, 2.962s cpu time, 0.038s GC time, factor 1.02
- ML stack maximum:
- 2 MiB
- ML stack average:
- 2 MiB
- ML heap maximum:
- 1.4 GiB
- ML heap average:
- 927 MiB
- Isabelle version:
- 4b7fdf77af07
- AFP version:
- 2f539b3aa0b8




Gauss-Jordan-Elim-Fun
- data:
- CSV
- timing:
- 0:00:05 elapsed time, 0:00:04 cpu time, factor 0.80
- ML timing:
- 3.781s elapsed time, 3.813s cpu time, 0.043s GC time, factor 1.01
- ML stack maximum:
- 1.5 MiB
- ML stack average:
- 1.5 MiB
- ML heap maximum:
- 1.5 GiB
- ML heap average:
- 958.4 MiB
- Isabelle version:
- 4b7fdf77af07
- AFP version:
- 2f539b3aa0b8




Compiling-Exceptions-Correctly
- data:
- CSV
- timing:
- 0:00:05 elapsed time, 0:00:04 cpu time, factor 0.80
- ML timing:
- 3.901s elapsed time, 3.925s cpu time, 0.100s GC time, factor 1.01
- ML stack maximum:
- 1.5 MiB
- ML stack average:
- 1.3 MiB
- ML heap maximum:
- 1.5 GiB
- ML heap average:
- 887.3 MiB
- Isabelle version:
- 4b7fdf77af07
- AFP version:
- 2f539b3aa0b8




Combinatorics_Words_Graph_Lemma
- data:
- CSV
- timing:
- 0:00:05 elapsed time, 0:00:05 cpu time, factor 1.00
- ML timing:
- 4.469s elapsed time, 4.541s cpu time, 0.088s GC time, factor 1.02
- ML stack maximum:
- 2 MiB
- ML stack average:
- 2 MiB
- ML heap maximum:
- 1.5 GiB
- ML heap average:
- 1 GiB
- Isabelle version:
- 4b7fdf77af07
- AFP version:
- 2f539b3aa0b8




DPT-SAT-Solver
- data:
- CSV
- timing:
- 0:00:05 elapsed time, 0:00:05 cpu time, factor 1.00
- ML timing:
- 4.448s elapsed time, 4.459s cpu time, 0.031s GC time, factor 1.00
- ML stack maximum:
- 3 MiB
- ML stack average:
- 3 MiB
- ML heap maximum:
- 1.5 GiB
- ML heap average:
- 1.1 GiB
- Isabelle version:
- 4b7fdf77af07
- AFP version:
- 2f539b3aa0b8




GoedelGod
- data:
- CSV
- timing:
- 0:00:05 elapsed time, 0:00:04 cpu time, factor 0.80
- ML timing:
- 3.768s elapsed time, 3.408s cpu time, 0.064s GC time, factor 0.90
- ML stack maximum:
- 1.5 MiB
- ML stack average:
- 1.5 MiB
- ML heap maximum:
- 1.5 GiB
- ML heap average:
- 1.2 GiB
- Isabelle version:
- 4b7fdf77af07
- AFP version:
- 2f539b3aa0b8




Liouville_Numbers
- data:
- CSV
- timing:
- 0:00:04 elapsed time, 0:00:04 cpu time, factor 1.00
- ML timing:
- 2.710s elapsed time, 2.769s cpu time, 0.032s GC time, factor 1.02
- ML stack maximum:
- 2 MiB
- ML stack average:
- 2 MiB
- ML heap maximum:
- 1.1 GiB
- ML heap average:
- 760 MiB
- Isabelle version:
- 4b7fdf77af07
- AFP version:
- 2f539b3aa0b8




Lazy-Lists-II
- data:
- CSV
- timing:
- 0:00:04 elapsed time, 0:00:04 cpu time, factor 1.00
- ML timing:
- 3.317s elapsed time, 3.449s cpu time, 0.108s GC time, factor 1.04
- ML stack maximum:
- 3 MiB
- ML stack average:
- 3 MiB
- ML heap maximum:
- 1.4 GiB
- ML heap average:
- 843 MiB
- Isabelle version:
- 4b7fdf77af07
- AFP version:
- 2f539b3aa0b8




Lucas_Theorem
- data:
- CSV
- timing:
- 0:00:04 elapsed time, 0:00:04 cpu time, factor 1.00
- ML timing:
- 3.374s elapsed time, 3.402s cpu time, 0.044s GC time, factor 1.01
- ML stack maximum:
- 2 MiB
- ML stack average:
- 1.9 MiB
- ML heap maximum:
- 1.5 GiB
- ML heap average:
- 774.5 MiB
- Isabelle version:
- 4b7fdf77af07
- AFP version:
- 2f539b3aa0b8




Perfect-Number-Thm
- data:
- CSV
- timing:
- 0:00:04 elapsed time, 0:00:04 cpu time, factor 1.00
- ML timing:
- 2.913s elapsed time, 2.960s cpu time, 0.027s GC time, factor 1.02
- ML stack maximum:
- 1.5 MiB
- ML stack average:
- 1.3 MiB
- ML heap maximum:
- 1.4 GiB
- ML heap average:
- 877.5 MiB
- Isabelle version:
- 4b7fdf77af07
- AFP version:
- 2f539b3aa0b8




Lifting_the_Exponent
- data:
- CSV
- timing:
- 0:00:04 elapsed time, 0:00:04 cpu time, factor 1.00
- ML timing:
- 3.019s elapsed time, 3.074s cpu time, 0.055s GC time, factor 1.02
- ML stack maximum:
- 2 MiB
- ML stack average:
- 1.6 MiB
- ML heap maximum:
- 1.5 GiB
- ML heap average:
- 850.4 MiB
- Isabelle version:
- 4b7fdf77af07
- AFP version:
- 2f539b3aa0b8




Lazy_Case
- data:
- CSV
- timing:
- 0:00:04 elapsed time, 0:00:04 cpu time, factor 1.00
- ML timing:
- 3.276s elapsed time, 3.295s cpu time, 0.051s GC time, factor 1.01
- ML stack maximum:
- 1.5 MiB
- ML stack average:
- 1.3 MiB
- ML heap maximum:
- 1.4 GiB
- ML heap average:
- 882.9 MiB
- Isabelle version:
- 4b7fdf77af07
- AFP version:
- 2f539b3aa0b8




C2KA_DistributedSystems
- data:
- CSV
- timing:
- 0:00:04 elapsed time, 0:00:04 cpu time, factor 1.00
- ML timing:
- 3.343s elapsed time, 3.418s cpu time, 0.117s GC time, factor 1.02
- ML stack maximum:
- 2 MiB
- ML stack average:
- 1.9 MiB
- ML heap maximum:
- 1.5 GiB
- ML heap average:
- 805.1 MiB
- Isabelle version:
- 4b7fdf77af07
- AFP version:
- 2f539b3aa0b8




Ptolemys_Theorem
- data:
- CSV
- timing:
- 0:00:04 elapsed time, 0:00:04 cpu time, factor 1.00
- ML timing:
- 2.202s elapsed time, 2.250s cpu time, 0.036s GC time, factor 1.02
- ML stack maximum:
- 2 MiB
- ML stack average:
- 1.8 MiB
- ML heap maximum:
- 860 MiB
- ML heap average:
- 530.3 MiB
- Isabelle version:
- 4b7fdf77af07
- AFP version:
- 2f539b3aa0b8




MHComputation
- data:
- CSV
- timing:
- 0:00:04 elapsed time, 0:00:04 cpu time, factor 1.00
- ML timing:
- 3.505s elapsed time, 3.519s cpu time, 0.169s GC time, factor 1.00
- ML stack maximum:
- 1.5 MiB
- ML stack average:
- 1.5 MiB
- ML heap maximum:
- 1.4 GiB
- ML heap average:
- 1022.1 MiB
- Isabelle version:
- 4b7fdf77af07
- AFP version:
- 2f539b3aa0b8




Laws_of_Large_Numbers
- data:
- CSV
- timing:
- 0:00:04 elapsed time, 0:00:04 cpu time, factor 1.00
- ML timing:
- 2.126s elapsed time, 2.160s cpu time, 0.060s GC time, factor 1.02
- ML stack maximum:
- 3 MiB
- ML stack average:
- 1.7 MiB
- ML heap maximum:
- 843 MiB
- ML heap average:
- 694.7 MiB
- Isabelle version:
- 4b7fdf77af07
- AFP version:
- 2f539b3aa0b8




Involutions2Squares
- data:
- CSV
- timing:
- 0:00:04 elapsed time, 0:00:04 cpu time, factor 1.00
- ML timing:
- 3.395s elapsed time, 3.424s cpu time, 0.060s GC time, factor 1.01
- ML stack maximum:
- 1.5 MiB
- ML stack average:
- 1.5 MiB
- ML heap maximum:
- 1.5 GiB
- ML heap average:
- 983.4 MiB
- Isabelle version:
- 4b7fdf77af07
- AFP version:
- 2f539b3aa0b8




Wlog
- data:
- CSV
- timing:
- 0:00:04 elapsed time, 0:00:03 cpu time, factor 0.75
- ML timing:
- 3.193s elapsed time, 2.905s cpu time, 0.072s GC time, factor 0.91
- ML stack maximum:
- 2 MiB
- ML stack average:
- 2 MiB
- ML heap maximum:
- 1.5 GiB
- ML heap average:
- 928.7 MiB
- Isabelle version:
- 4b7fdf77af07
- AFP version:
- 2f539b3aa0b8




Marriage
- data:
- CSV
- timing:
- 0:00:04 elapsed time, 0:00:04 cpu time, factor 1.00
- ML timing:
- 3.105s elapsed time, 3.151s cpu time, 0.046s GC time, factor 1.01
- ML stack maximum:
- 1.5 MiB
- ML stack average:
- 1.5 MiB
- ML heap maximum:
- 1.5 GiB
- ML heap average:
- 922.1 MiB
- Isabelle version:
- 4b7fdf77af07
- AFP version:
- 2f539b3aa0b8




Minkowskis_Theorem
- data:
- CSV
- timing:
- 0:00:04 elapsed time, 0:00:04 cpu time, factor 1.00
- ML timing:
- 3.078s elapsed time, 3.141s cpu time, 0.063s GC time, factor 1.02
- ML stack maximum:
- 2 MiB
- ML stack average:
- 2 MiB
- ML heap maximum:
- 1.5 GiB
- ML heap average:
- 923.6 MiB
- Isabelle version:
- 4b7fdf77af07
- AFP version:
- 2f539b3aa0b8




Hello_World
- data:
- CSV
- timing:
- 0:00:04 elapsed time
- ML timing:
- 3.186s elapsed time, 1.454s cpu time, 0.032s GC time, factor 0.46
- ML stack maximum:
- 1.5 MiB
- ML stack average:
- 1.5 MiB
- ML heap maximum:
- 757 MiB
- ML heap average:
- 560.5 MiB
- Isabelle version:
- 4b7fdf77af07
- AFP version:
- 2f539b3aa0b8




Lifting_Definition_Option
- data:
- CSV
- timing:
- 0:00:03 elapsed time, 0:00:03 cpu time, factor 1.00
- ML timing:
- 2.194s elapsed time, 2.208s cpu time, 0.047s GC time, factor 1.01
- ML stack maximum:
- 1.3 MiB
- ML stack average:
- 1.2 MiB
- ML heap maximum:
- 759 MiB
- ML heap average:
- 499.8 MiB
- Isabelle version:
- 4b7fdf77af07
- AFP version:
- 2f539b3aa0b8




Sauer_Shelah_Lemma
- data:
- CSV
- timing:
- 0:00:03 elapsed time, 0:00:03 cpu time, factor 1.00
- ML timing:
- 2.127s elapsed time, 2.182s cpu time, 0.041s GC time, factor 1.03
- ML stack maximum:
- 1.5 MiB
- ML stack average:
- 1.5 MiB
- ML heap maximum:
- 758 MiB
- ML heap average:
- 619.2 MiB
- Isabelle version:
- 4b7fdf77af07
- AFP version:
- 2f539b3aa0b8




CofGroups
- data:
- CSV
- timing:
- 0:00:03 elapsed time, 0:00:03 cpu time, factor 1.00
- ML timing:
- 2.282s elapsed time, 2.396s cpu time, 0.042s GC time, factor 1.05
- ML stack maximum:
- 2 MiB
- ML stack average:
- 1.8 MiB
- ML heap maximum:
- 758 MiB
- ML heap average:
- 508.6 MiB
- Isabelle version:
- 4b7fdf77af07
- AFP version:
- 2f539b3aa0b8




Dyck_Language
- data:
- CSV
- timing:
- 0:00:03 elapsed time
- ML timing:
- 1.919s elapsed time, 1.943s cpu time, 0.037s GC time, factor 1.01
- ML stack maximum:
- 1.5 MiB
- ML stack average:
- 1.3 MiB
- ML heap maximum:
- 759 MiB
- ML heap average:
- 573.6 MiB
- Isabelle version:
- 4b7fdf77af07
- AFP version:
- 2f539b3aa0b8




AnselmGod
- data:
- CSV
- timing:
- 0:00:03 elapsed time, 0:00:03 cpu time, factor 1.00
- ML timing:
- 2.142s elapsed time, 1.893s cpu time, 0.023s GC time, factor 0.88
- ML stack maximum:
- 2 MiB
- ML stack average:
- 1.8 MiB
- ML heap maximum:
- 1.2 GiB
- ML heap average:
- 624.8 MiB
- Isabelle version:
- 4b7fdf77af07
- AFP version:
- 2f539b3aa0b8




Lehmer
- data:
- CSV
- timing:
- 0:00:03 elapsed time, 0:00:03 cpu time, factor 1.00
- ML timing:
- 2.217s elapsed time, 2.242s cpu time, 0.032s GC time, factor 1.01
- ML stack maximum:
- 1.5 MiB
- ML stack average:
- 1.4 MiB
- ML heap maximum:
- 794 MiB
- ML heap average:
- 514.7 MiB
- Isabelle version:
- 4b7fdf77af07
- AFP version:
- 2f539b3aa0b8




Max-Card-Matching
- data:
- CSV
- timing:
- 0:00:03 elapsed time, 0:00:03 cpu time, factor 1.00
- ML timing:
- 2.344s elapsed time, 2.379s cpu time, 0.037s GC time, factor 1.01
- ML stack maximum:
- 1.5 MiB
- ML stack average:
- 1.5 MiB
- ML heap maximum:
- 956 MiB
- ML heap average:
- 719.8 MiB
- Isabelle version:
- 4b7fdf77af07
- AFP version:
- 2f539b3aa0b8




FFT
- data:
- CSV
- timing:
- 0:00:03 elapsed time, 0:00:03 cpu time, factor 1.00
- ML timing:
- 2.041s elapsed time, 2.085s cpu time, 0.031s GC time, factor 1.02
- ML stack maximum:
- 2 MiB
- ML stack average:
- 2 MiB
- ML heap maximum:
- 770 MiB
- ML heap average:
- 642.4 MiB
- Isabelle version:
- 4b7fdf77af07
- AFP version:
- 2f539b3aa0b8




Ackermanns_not_PR
- data:
- CSV
- timing:
- 0:00:03 elapsed time, 0:00:03 cpu time, factor 1.00
- ML timing:
- 2.243s elapsed time, 2.274s cpu time, 0.034s GC time, factor 1.01
- ML stack maximum:
- 1.5 MiB
- ML stack average:
- 1.3 MiB
- ML heap maximum:
- 838 MiB
- ML heap average:
- 638.2 MiB
- Isabelle version:
- 4b7fdf77af07
- AFP version:
- 2f539b3aa0b8




Skew_Heap
- data:
- CSV
- timing:
- 0:00:03 elapsed time, 0:00:03 cpu time, factor 1.00
- ML timing:
- 2.027s elapsed time, 2.053s cpu time, 0.069s GC time, factor 1.01
- ML stack maximum:
- 1.5 MiB
- ML stack average:
- 1.2 MiB
- ML heap maximum:
- 763 MiB
- ML heap average:
- 551.5 MiB
- Isabelle version:
- 4b7fdf77af07
- AFP version:
- 2f539b3aa0b8




DCR-ExecutionEquivalence
- data:
- CSV
- timing:
- 0:00:03 elapsed time, 0:00:03 cpu time, factor 1.00
- ML timing:
- 1.996s elapsed time, 2.014s cpu time, 0.039s GC time, factor 1.01
- ML stack maximum:
- 1.5 MiB
- ML stack average:
- 1.3 MiB
- ML heap maximum:
- 757 MiB
- ML heap average:
- 629.9 MiB
- Isabelle version:
- 4b7fdf77af07
- AFP version:
- 2f539b3aa0b8




Surprise_Paradox
- data:
- CSV
- timing:
- 0:00:03 elapsed time, 0:00:03 cpu time, factor 1.00
- ML timing:
- 2.429s elapsed time, 2.451s cpu time, 0.049s GC time, factor 1.01
- ML stack maximum:
- 2 MiB
- ML stack average:
- 1.4 MiB
- ML heap maximum:
- 903 MiB
- ML heap average:
- 673.6 MiB
- Isabelle version:
- 4b7fdf77af07
- AFP version:
- 2f539b3aa0b8




Monad_Normalisation
- data:
- CSV
- timing:
- 0:00:03 elapsed time, 0:00:03 cpu time, factor 1.00
- ML timing:
- 1.621s elapsed time, 1.641s cpu time, 0.036s GC time, factor 1.01
- ML stack maximum:
- 3 MiB
- ML stack average:
- 2 MiB
- ML heap maximum:
- 756 MiB
- ML heap average:
- 652.4 MiB
- Isabelle version:
- 4b7fdf77af07
- AFP version:
- 2f539b3aa0b8




Free-Boolean-Algebra
- data:
- CSV
- timing:
- 0:00:02 elapsed time
- ML timing:
- 1.517s elapsed time, 1.582s cpu time, 0.050s GC time, factor 1.04
- ML stack maximum:
- 2 MiB
- ML stack average:
- 2 MiB
- ML heap maximum:
- 686 MiB
- ML heap average:
- 421.1 MiB
- Isabelle version:
- 4b7fdf77af07
- AFP version:
- 2f539b3aa0b8




Blue_Eyes
- data:
- CSV
- timing:
- 0:00:02 elapsed time
- ML timing:
- 1.738s elapsed time, 1.771s cpu time, 0.043s GC time, factor 1.02
- ML stack maximum:
- 2 MiB
- ML stack average:
- 2 MiB
- ML heap maximum:
- 761 MiB
- ML heap average:
- 632.2 MiB
- Isabelle version:
- 4b7fdf77af07
- AFP version:
- 2f539b3aa0b8




Weighted_Arithmetic_Geometric_Mean
- data:
- CSV
- timing:
- 0:00:02 elapsed time
- ML timing:
- 1.757s elapsed time, 1.811s cpu time, 0.032s GC time, factor 1.03
- ML stack maximum:
- 1.5 MiB
- ML stack average:
- 1.5 MiB
- ML heap maximum:
- 756 MiB
- ML heap average:
- 614.3 MiB
- Isabelle version:
- 4b7fdf77af07
- AFP version:
- 2f539b3aa0b8




Card_Equiv_Relations
- data:
- CSV
- timing:
- 0:00:02 elapsed time
- ML timing:
- 1.430s elapsed time, 1.474s cpu time, 0.033s GC time, factor 1.03
- ML stack maximum:
- 1.3 MiB
- ML stack average:
- 1.2 MiB
- ML heap maximum:
- 718 MiB
- ML heap average:
- 369.7 MiB
- Isabelle version:
- 4b7fdf77af07
- AFP version:
- 2f539b3aa0b8




FunWithFunctions
- data:
- CSV
- timing:
- 0:00:02 elapsed time
- ML timing:
- 1.762s elapsed time, 1.795s cpu time, 0.042s GC time, factor 1.02
- ML stack maximum:
- 1.3 MiB
- ML stack average:
- 1.3 MiB
- ML heap maximum:
- 758 MiB
- ML heap average:
- 605.9 MiB
- Isabelle version:
- 4b7fdf77af07
- AFP version:
- 2f539b3aa0b8




General-Triangle
- data:
- CSV
- timing:
- 0:00:02 elapsed time
- ML timing:
- 1.094s elapsed time, 1.112s cpu time, 0.000s GC time, factor 1.02
- ML stack maximum:
- 1.5 MiB
- ML stack average:
- 1.4 MiB
- ML heap maximum:
- 683 MiB
- ML heap average:
- 527 MiB
- Isabelle version:
- 4b7fdf77af07
- AFP version:
- 2f539b3aa0b8




Intro_Dest_Elim
- data:
- CSV
- timing:
- 0:00:02 elapsed time
- ML timing:
- 0.835s elapsed time, 0.844s cpu time, 0.000s GC time, factor 1.01
- ML stack maximum:
- 1.5 MiB
- ML stack average:
- 1.3 MiB
- ML heap maximum:
- 372 MiB
- ML heap average:
- 189.8 MiB
- Isabelle version:
- 4b7fdf77af07
- AFP version:
- 2f539b3aa0b8




Roy_Floyd_Warshall
- data:
- CSV
- timing:
- 0:00:02 elapsed time
- ML timing:
- 0.981s elapsed time, 1.004s cpu time, 0.000s GC time, factor 1.02
- ML stack maximum:
- 1.5 MiB
- ML stack average:
- 1.4 MiB
- ML heap maximum:
- 604 MiB
- ML heap average:
- 482.5 MiB
- Isabelle version:
- 4b7fdf77af07
- AFP version:
- 2f539b3aa0b8




RIPEMD-160-SPARK
- data:
- CSV
- timing:
- 0:00:02 elapsed time
- ML timing:
- 0.880s elapsed time, 0.882s cpu time, 0.000s GC time, factor 1.00
- ML stack maximum:
- 1 MiB
- ML stack average:
- 1 MiB
- ML heap maximum:
- 295 MiB
- ML heap average:
- 148.1 MiB
- Isabelle version:
- 4b7fdf77af07
- AFP version:
- 2f539b3aa0b8




Depth-First-Search
- data:
- CSV
- timing:
- 0:00:02 elapsed time
- ML timing:
- 1.533s elapsed time, 1.551s cpu time, 0.031s GC time, factor 1.01
- ML stack maximum:
- 1.5 MiB
- ML stack average:
- 1.3 MiB
- ML heap maximum:
- 755 MiB
- ML heap average:
- 608.1 MiB
- Isabelle version:
- 4b7fdf77af07
- AFP version:
- 2f539b3aa0b8




List_Power
- data:
- CSV
- timing:
- 0:00:02 elapsed time
- ML timing:
- 1.220s elapsed time, 1.262s cpu time, 0.000s GC time, factor 1.03
- ML stack maximum:
- 1.5 MiB
- ML stack average:
- 1.5 MiB
- ML heap maximum:
- 713 MiB
- ML heap average:
- 521.5 MiB
- Isabelle version:
- 4b7fdf77af07
- AFP version:
- 2f539b3aa0b8




Conditional_Simplification
- data:
- CSV
- timing:
- 0:00:02 elapsed time
- ML timing:
- 1.023s elapsed time, 1.029s cpu time, 0.000s GC time, factor 1.01
- ML stack maximum:
- 2 MiB
- ML stack average:
- 2 MiB
- ML heap maximum:
- 698 MiB
- ML heap average:
- 576 MiB
- Isabelle version:
- 4b7fdf77af07
- AFP version:
- 2f539b3aa0b8




Aristotles_Assertoric_Syllogistic
- data:
- CSV
- timing:
- 0:00:01 elapsed time
- ML timing:
- 0.759s elapsed time, 0.768s cpu time, 0.000s GC time, factor 1.01
- ML stack maximum:
- 1.5 MiB
- ML stack average:
- 1.5 MiB
- ML heap maximum:
- 406 MiB
- ML heap average:
- 406 MiB
- Isabelle version:
- 4b7fdf77af07
- AFP version:
- 2f539b3aa0b8




Recursion-Addition
- data:
- CSV
- timing:
- 0:00:01 elapsed time
- ML timing:
- 1.316s elapsed time, 1.463s cpu time, 0.057s GC time, factor 1.11
- ML stack maximum:
- 3 MiB
- ML stack average:
- 3 MiB
- ML heap maximum:
- 760 MiB
- ML heap average:
- 626.3 MiB
- Isabelle version:
- 4b7fdf77af07
- AFP version:
- 2f539b3aa0b8




Example-Submission
- data:
- CSV
- timing:
- 0:00:01 elapsed time
- ML timing:
- 0.250s elapsed time, 0.254s cpu time, 0.000s GC time, factor 1.02
- ML stack maximum:
- 1.1 MiB
- ML stack average:
- 1.1 MiB
- ML heap maximum:
- 104 MiB
- ML heap average:
- 104 MiB
- Isabelle version:
- 4b7fdf77af07
- AFP version:
- 2f539b3aa0b8




Boolos_Curious_Inference
- data:
- CSV
- timing:
- 0:00:01 elapsed time
- ML timing:
- 0.816s elapsed time, 0.835s cpu time, 0.000s GC time, factor 1.02
- ML stack maximum:
- 1.1 MiB
- ML stack average:
- 1.1 MiB
- ML heap maximum:
- 360 MiB
- ML heap average:
- 360 MiB
- Isabelle version:
- 4b7fdf77af07
- AFP version:
- 2f539b3aa0b8




Bondy
- data:
- CSV
- timing:
- 0:00:01 elapsed time
- ML timing:
- 0.816s elapsed time, 0.831s cpu time, 0.000s GC time, factor 1.02
- ML stack maximum:
- 1.1 MiB
- ML stack average:
- 1.1 MiB
- ML heap maximum:
- 351 MiB
- ML heap average:
- 351 MiB
- Isabelle version:
- 4b7fdf77af07
- AFP version:
- 2f539b3aa0b8




SpecCheck
- data:
- CSV
- timing:
- 0:00:01 elapsed time
- ML timing:
- 0.909s elapsed time, 0.918s cpu time, 0.000s GC time, factor 1.01
- ML stack maximum:
- 1.5 MiB
- ML stack average:
- 1.5 MiB
- ML heap maximum:
- 739 MiB
- ML heap average:
- 639 MiB
- Isabelle version:
- 4b7fdf77af07
- AFP version:
- 2f539b3aa0b8




Ordinals_and_Cardinals
- data:
- CSV
- timing:
- 0:00:01 elapsed time
- ML timing:
- 0.164s elapsed time, 0.166s cpu time, 0.000s GC time, factor 1.01
- ML stack maximum:
- 1.1 MiB
- ML stack average:
- 1.1 MiB
- ML heap maximum:
- 115 MiB
- ML heap average:
- 115 MiB
- Isabelle version:
- 4b7fdf77af07
- AFP version:
- 2f539b3aa0b8




Proof_Terms_Term_Rewriting
- data:
- CSV
- Isabelle version:
- 4b7fdf77af07
- AFP version:
- 2f539b3aa0b8
Superposition_Calculus
- data:
- CSV
- Isabelle version:
- 4b7fdf77af07
- AFP version:
- 2f539b3aa0b8


Diophantine_Universal_Pairs
- data:
- CSV
- Isabelle version:
- 4b7fdf77af07
- AFP version:
- 2f539b3aa0b8
Zip_Benchmarks
- data:
- CSV
- Isabelle version:
- 4b7fdf77af07
- AFP version:
- 2f539b3aa0b8
Munta_Base
- data:
- CSV
- Isabelle version:
- 4b7fdf77af07
- AFP version:
- 2f539b3aa0b8
Set_Reconciliation
- data:
- CSV
- Isabelle version:
- 4b7fdf77af07
- AFP version:
- 2f539b3aa0b8
PAC_Checker
- data:
- CSV
- Isabelle version:
- 4b7fdf77af07
- AFP version:
- 2f539b3aa0b8
Hidden_Number_Problem
- data:
- CSV
- Isabelle version:
- 4b7fdf77af07
- AFP version:
- 2f539b3aa0b8